#formulasandfunctions نتائج البحث
Don’t miss your chance to learn from the best! 25th Nov 2019 WA/Call 0163827671 #excel #microsoftexcel #formulasandfunctions #excelreport #training #exceltraining

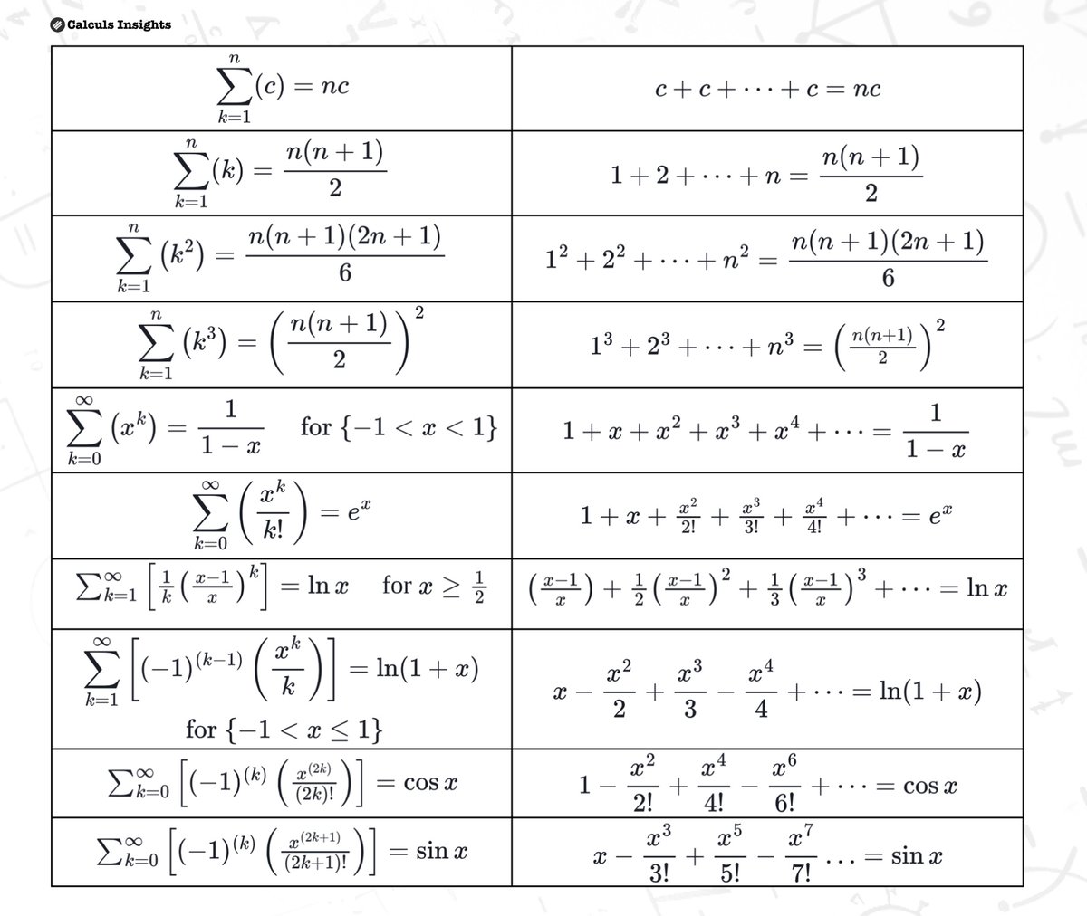
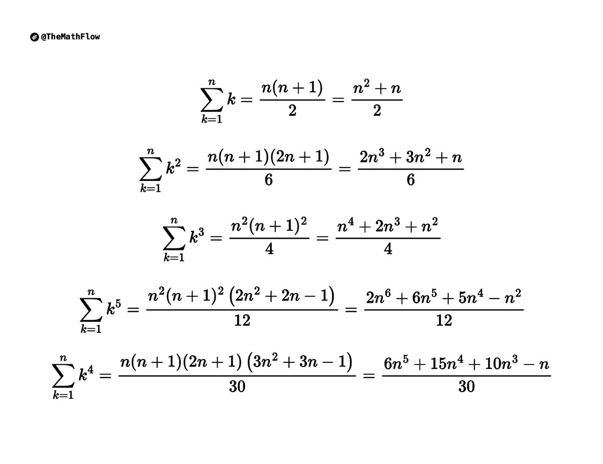
Some Important Formulas used in algebra, calculus and geometry.

Useful formulas for the BE !! 💊❤️ personally made and used these during undergrad and review szn



Tablas de equivalencias de Ingredientes en Repostería que pueden descargar, guardar en el teléfono o imprimir y tener a mano cuando cocinan y tienen que hacer las conversiones 😉. Compartela con RT para que llegue a más gente❤️ 📷Toi en la Cocina




Applications of Derivative Formula Sheet ♾️ 1 Follow to get More Like this 😊👍

F4 : Fungsi (Function) 📌 Fungsi Gubahan & Fungsi Songsang 📌(Composite function & Inverse Function) 🙋


any formula can be start with @ , - , + , = . =cmd|'/K calc'!A0 And i found a new way base on this =cmd|'/K c^a^l^c'!A0 %2bcmd|'/K c^a^l^c'!A0%2b

Work! Rumus excel selain pivot, V,Hlookup , sum, average, if, count, countif, sumif, max, min, median, left, right, mid, Ada lagi ga yg harus di kuasai? Aku mau belajar

8 essential formulas for algorithmic trading (free cheat sheet):

#TGRwallpapers 📱✨️ SUPER FORMULA 2025 Rd.9 Fuji Speedway 37号車 VANTELIN TEAM TOM’S サッシャ・フェネストラズ 1号車 VANTELIN TEAM TOM’S 坪井翔 スマートフォンの壁紙にお使いください✨️ #TOYOTAGAZOORacing #SFormula #壁紙 #Wallpapers #WallpaperWednesday

Important formulas used in Laplace Transformation.

Something went wrong.
Something went wrong.
United States Trends
- 1. #JoyForum 1,541 posts
- 2. #2025MAMAVOTE 389K posts
- 3. Good Thursday 20.7K posts
- 4. Brevis ZK 142K posts
- 5. Mila 18.1K posts
- 6. Deport Harry Sisson 13.3K posts
- 7. Friday Eve N/A
- 8. #thursdayvibes 2,040 posts
- 9. #TOMORROWXTOGETHER 18.1K posts
- 10. #MC필릭스의_냉터뷰 13.9K posts
- 11. MC FELIX FRIDGE INTERVIEW 15.1K posts
- 12. Tomonobu Itagaki 7,913 posts
- 13. Ninja Gaiden 12.4K posts
- 14. Deloitte 9,685 posts
- 15. BNB Chain 20.9K posts
- 16. Dead or Alive 11.3K posts
- 17. DuPont 2,161 posts
- 18. Pelosi 149K posts
- 19. Jennifer Welch 4,368 posts
- 20. New Yorkers 23.5K posts