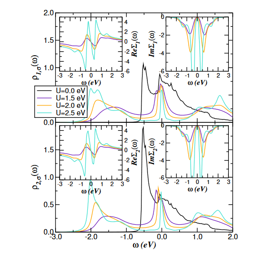
#Superconductivity #HubbardModel Using 8-site cluster DMFT, researchers reveal how the pseudogap and d-wave superconductivity compete/cooperate in the 2D Hubbard model. cpl.iphy.ac.cn/article/doi/10…

PhysicsChinese's tweet image. #Superconductivity #HubbardModel Using 8-site cluster DMFT, researchers reveal how the pseudogap and d-wave superconductivity compete/cooperate in the 2D Hubbard model. cpl.iphy.ac.cn/article/doi/10…

#ComputationMDPI, New Publication "A Versatile Unitary Transformation Framework for an Optimal Bath Construction in Density-Matrix Based Quantum Embedding Approaches" 👉 Read the full article: mdpi.com/2515880 #HubbardModel #unitary #transformation #density #matrix

ComputationMDPI's tweet image. #ComputationMDPI, New Publication

"A  Versatile Unitary Transformation Framework for an Optimal Bath  Construction in Density-Matrix Based Quantum Embedding Approaches" 

👉 Read the full article: mdpi.com/2515880

#HubbardModel #unitary #transformation #density #matrix

Evan Berkovitz @fz_juelich tells us about #machinelearning applied to the study of the #Hubbardmodel an iconic model of #condensedmatter physics relevant e.g. for #graphene. Challenge in presence of doping (chemical potential) ➡️another sign problem. @EctTrento

rothkopfAK's tweet image. Evan Berkovitz @fz_juelich tells us about #machinelearning applied to the study of the #Hubbardmodel an iconic model of #condensedmatter physics relevant e.g. for #graphene. Challenge in presence of doping (chemical potential) ➡️another sign problem. @EctTrento
rothkopfAK's tweet image. Evan Berkovitz @fz_juelich tells us about #machinelearning applied to the study of the #Hubbardmodel an iconic model of #condensedmatter physics relevant e.g. for #graphene. Challenge in presence of doping (chemical potential) ➡️another sign problem. @EctTrento
rothkopfAK's tweet image. Evan Berkovitz @fz_juelich tells us about #machinelearning applied to the study of the #Hubbardmodel an iconic model of #condensedmatter physics relevant e.g. for #graphene. Challenge in presence of doping (chemical potential) ➡️another sign problem. @EctTrento
rothkopfAK's tweet image. Evan Berkovitz @fz_juelich tells us about #machinelearning applied to the study of the #Hubbardmodel an iconic model of #condensedmatter physics relevant e.g. for #graphene. Challenge in presence of doping (chemical potential) ➡️another sign problem. @EctTrento

An atomistic approach including electron correlation effects to describe #plasmonic systems. GW approximation is used to solve the #HubbardModel. @bePhotonMeetup #bePOM20

AntoineHonet's tweet image. An atomistic approach including electron correlation effects to describe #plasmonic systems.
GW approximation is used to solve the #HubbardModel. @bePhotonMeetup #bePOM20
AntoineHonet's tweet image. An atomistic approach including electron correlation effects to describe #plasmonic systems.
GW approximation is used to solve the #HubbardModel. @bePhotonMeetup #bePOM20
AntoineHonet's tweet image. An atomistic approach including electron correlation effects to describe #plasmonic systems.
GW approximation is used to solve the #HubbardModel. @bePhotonMeetup #bePOM20
AntoineHonet's tweet image. An atomistic approach including electron correlation effects to describe #plasmonic systems.
GW approximation is used to solve the #HubbardModel. @bePhotonMeetup #bePOM20

📜 Read #NewPaper: "Two-Band Electronic Reconstruction Induced via Correlation and CDW Order Effects" by Luis Craco. 👏👏 🔗 See more details at: mdpi.com/2410-3896/9/4/… #Hubbardmodel #twoband #CDW #densityofstates

CondensMatter's tweet image. 📜 Read #NewPaper: "Two-Band Electronic Reconstruction Induced via Correlation and CDW Order Effects" by Luis Craco. 👏👏

🔗 See more details at: mdpi.com/2410-3896/9/4/…

#Hubbardmodel
#twoband
#CDW
#densityofstates

📜 Read #NewPaper: "Effect of t2g-Correlations and Doping in CrSBr Ferromagnetic #Semiconductor" by Luis Craco and Sabrina Silva Carara. 👏👏 🔗 See more details at: mdpi.com/2410-3896/10/2… #Hubbardmodel #ferromagnetism #DFT + #DMFT #memristor

CondensMatter's tweet image. 📜 Read #NewPaper: "Effect of t2g-Correlations and Doping in CrSBr Ferromagnetic #Semiconductor" by Luis Craco and Sabrina Silva Carara. 👏👏

🔗 See more details at: mdpi.com/2410-3896/10/2…

#Hubbardmodel
#ferromagnetism
#DFT + #DMFT
#memristor

PRB Editors' Suggestion: 𝑠±-wave #superconductivity in the bilayer two-orbital #HubbardModel Yao-Yuan Zheng and Wéi Wú Phys. Rev. B 111, 035108 ➡️ go.aps.org/3PnDfoK #EdSugg @APSPhysics #condmat #physics

PhysRevB's tweet image. PRB Editors' Suggestion: 𝑠±-wave #superconductivity in the bilayer two-orbital #HubbardModel

Yao-Yuan Zheng and Wéi Wú
Phys. Rev. B 111, 035108

➡️ go.aps.org/3PnDfoK
#EdSugg @APSPhysics #condmat #physics

📜 Read #NewPaper: "Atomristor Mott Theory of Sn Adatom Adlayer on a Si Surface" by Luis Craco, Edson F. Chagas, Sabrina S. Carara and Byron Freelon. 💐 💐 🔗 See more details at: mdpi.com/2410-3896/9/3/… #Hubbardmodel #DFT + #DMFT #metalinsulatortransition #atomristor

CondensMatter's tweet image. 📜 Read #NewPaper: "Atomristor Mott Theory of Sn Adatom Adlayer on a Si Surface" by Luis Craco, Edson F. Chagas, Sabrina S. Carara and Byron Freelon. 💐 💐

🔗 See more details at: mdpi.com/2410-3896/9/3/…

#Hubbardmodel
#DFT + #DMFT
#metalinsulatortransition
#atomristor

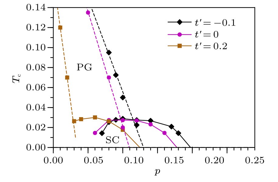
PRB Editors' Suggestion: Ground-state phase diagram and #superconductivity of the doped #HubbardModel on six-leg square cylinders Yi-Fan Jiang, Thomas P. Devereaux, and Hong-Chen Jiang Phys. Rev. B 109, 085121 ➡️ go.aps.org/48ldWuH #EdSugg #condmat #physics @APSPhysics

PhysRevB's tweet image. PRB Editors' Suggestion: Ground-state phase diagram and #superconductivity of the doped #HubbardModel on six-leg square cylinders

Yi-Fan Jiang, Thomas P. Devereaux, and Hong-Chen Jiang
Phys. Rev. B 109, 085121

➡️ go.aps.org/48ldWuH
#EdSugg #condmat #physics @APSPhysics

Are you also fighting with the #HubbardModel, interested in #stronglycorrelated #materials, #QuantumMaterials or #superconductivity ? Check out out free lattice model solver: scce.quantumsimulations.de

I wish the #HubbardModel had at least one more symmetry ... too large, I tell you, too large is the Hilbert space.



Scientists use the Hubbard model to investigate the intricate interplay of electron-electron interactions and lattice effects, shedding light on the mechanisms that drive superconductivity in various materials. #HubbardModel #Superconductivity #Physics


Researchers have proved that an old scientific model for understanding material behaviour could, through simulation, enable superconductivity to be turned on and off again. All the details can be found here - bit.ly/2JwtbYW #hubbardmodel #superconductivity #simulations


📘 New OA paper alert! Explore the results of the one-dimensional repulsive #HubbardModel. Delve into fundamental properties, including gapless spin, charge excitations & read insights into quantum criticality. Learn more: ow.ly/zH9F50TNkJ2 #OpenAccess #QuantumPhysics

IOPProgressin's tweet image. 📘 New OA paper alert! Explore the results of the one-dimensional repulsive #HubbardModel. Delve into fundamental properties, including gapless spin, charge excitations & read insights into quantum criticality. 

Learn more: ow.ly/zH9F50TNkJ2 

#OpenAccess #QuantumPhysics

Out now in @PhysRevLett : Dynamical Order and Superconductivity in a Frustrated Many-Body System. By J. Tindall et al from @OxfordPhysics, the MPSD, @UniBremen and @quantumlah @sentefmi #superconductivity #quantumsimulation #hubbardmodel journals.aps.org/prl/abstract/1…


I wish the #HubbardModel had at least one more symmetry ... too large, I tell you, too large is the Hilbert space.


#Superconductivity #HubbardModel Using 8-site cluster DMFT, researchers reveal how the pseudogap and d-wave superconductivity compete/cooperate in the 2D Hubbard model. cpl.iphy.ac.cn/article/doi/10…

PhysicsChinese's tweet image. #Superconductivity #HubbardModel Using 8-site cluster DMFT, researchers reveal how the pseudogap and d-wave superconductivity compete/cooperate in the 2D Hubbard model. cpl.iphy.ac.cn/article/doi/10…

📜 Read #NewPaper: "Effect of t2g-Correlations and Doping in CrSBr Ferromagnetic #Semiconductor" by Luis Craco and Sabrina Silva Carara. 👏👏 🔗 See more details at: mdpi.com/2410-3896/10/2… #Hubbardmodel #ferromagnetism #DFT + #DMFT #memristor

CondensMatter's tweet image. 📜 Read #NewPaper: "Effect of t2g-Correlations and Doping in CrSBr Ferromagnetic #Semiconductor" by Luis Craco and Sabrina Silva Carara. 👏👏

🔗 See more details at: mdpi.com/2410-3896/10/2…

#Hubbardmodel
#ferromagnetism
#DFT + #DMFT
#memristor

My latest single-author paper is out in SciPost Physics! 🎉 There I extend the TPSC method to study magnetism in the Hubbard model 📜 Paper: scipost.org/SciPostPhys.18… #QuantumPhysics #CondensedMatter #HubbardModel #SciPost #TPSC #Antiferromagnetism #HiggsMode


PRB Editors' Suggestion: 𝑠±-wave #superconductivity in the bilayer two-orbital #HubbardModel Yao-Yuan Zheng and Wéi Wú Phys. Rev. B 111, 035108 ➡️ go.aps.org/3PnDfoK #EdSugg @APSPhysics #condmat #physics

PhysRevB's tweet image. PRB Editors' Suggestion: 𝑠±-wave #superconductivity in the bilayer two-orbital #HubbardModel

Yao-Yuan Zheng and Wéi Wú
Phys. Rev. B 111, 035108

➡️ go.aps.org/3PnDfoK
#EdSugg @APSPhysics #condmat #physics

📜 Read #NewPaper: "Two-Band Electronic Reconstruction Induced via Correlation and CDW Order Effects" by Luis Craco. 👏👏 🔗 See more details at: mdpi.com/2410-3896/9/4/… #Hubbardmodel #twoband #CDW #densityofstates

CondensMatter's tweet image. 📜 Read #NewPaper: "Two-Band Electronic Reconstruction Induced via Correlation and CDW Order Effects" by Luis Craco. 👏👏

🔗 See more details at: mdpi.com/2410-3896/9/4/…

#Hubbardmodel
#twoband
#CDW
#densityofstates

📘 New OA paper alert! Explore the results of the one-dimensional repulsive #HubbardModel. Delve into fundamental properties, including gapless spin, charge excitations & read insights into quantum criticality. Learn more: ow.ly/zH9F50TNkJ2 #OpenAccess #QuantumPhysics

IOPProgressin's tweet image. 📘 New OA paper alert! Explore the results of the one-dimensional repulsive #HubbardModel. Delve into fundamental properties, including gapless spin, charge excitations & read insights into quantum criticality. 

Learn more: ow.ly/zH9F50TNkJ2 

#OpenAccess #QuantumPhysics

📜 Read #NewPaper: "Atomristor Mott Theory of Sn Adatom Adlayer on a Si Surface" by Luis Craco, Edson F. Chagas, Sabrina S. Carara and Byron Freelon. 💐 💐 🔗 See more details at: mdpi.com/2410-3896/9/3/… #Hubbardmodel #DFT + #DMFT #metalinsulatortransition #atomristor

CondensMatter's tweet image. 📜 Read #NewPaper: "Atomristor Mott Theory of Sn Adatom Adlayer on a Si Surface" by Luis Craco, Edson F. Chagas, Sabrina S. Carara and Byron Freelon. 💐 💐

🔗 See more details at: mdpi.com/2410-3896/9/3/…

#Hubbardmodel
#DFT + #DMFT
#metalinsulatortransition
#atomristor

PRB Editors' Suggestion: Ground-state phase diagram and #superconductivity of the doped #HubbardModel on six-leg square cylinders Yi-Fan Jiang, Thomas P. Devereaux, and Hong-Chen Jiang Phys. Rev. B 109, 085121 ➡️ go.aps.org/48ldWuH #EdSugg #condmat #physics @APSPhysics

PhysRevB's tweet image. PRB Editors' Suggestion: Ground-state phase diagram and #superconductivity of the doped #HubbardModel on six-leg square cylinders

Yi-Fan Jiang, Thomas P. Devereaux, and Hong-Chen Jiang
Phys. Rev. B 109, 085121

➡️ go.aps.org/48ldWuH
#EdSugg #condmat #physics @APSPhysics

Scientists use the Hubbard model to investigate the intricate interplay of electron-electron interactions and lattice effects, shedding light on the mechanisms that drive superconductivity in various materials. #HubbardModel #Superconductivity #Physics


#ComputationMDPI, New Publication "A Versatile Unitary Transformation Framework for an Optimal Bath Construction in Density-Matrix Based Quantum Embedding Approaches" 👉 Read the full article: mdpi.com/2515880 #HubbardModel #unitary #transformation #density #matrix

ComputationMDPI's tweet image. #ComputationMDPI, New Publication

"A  Versatile Unitary Transformation Framework for an Optimal Bath  Construction in Density-Matrix Based Quantum Embedding Approaches" 

👉 Read the full article: mdpi.com/2515880

#HubbardModel #unitary #transformation #density #matrix

Evan Berkovitz @fz_juelich tells us about #machinelearning applied to the study of the #Hubbardmodel an iconic model of #condensedmatter physics relevant e.g. for #graphene. Challenge in presence of doping (chemical potential) ➡️another sign problem. @EctTrento

rothkopfAK's tweet image. Evan Berkovitz @fz_juelich tells us about #machinelearning applied to the study of the #Hubbardmodel an iconic model of #condensedmatter physics relevant e.g. for #graphene. Challenge in presence of doping (chemical potential) ➡️another sign problem. @EctTrento
rothkopfAK's tweet image. Evan Berkovitz @fz_juelich tells us about #machinelearning applied to the study of the #Hubbardmodel an iconic model of #condensedmatter physics relevant e.g. for #graphene. Challenge in presence of doping (chemical potential) ➡️another sign problem. @EctTrento
rothkopfAK's tweet image. Evan Berkovitz @fz_juelich tells us about #machinelearning applied to the study of the #Hubbardmodel an iconic model of #condensedmatter physics relevant e.g. for #graphene. Challenge in presence of doping (chemical potential) ➡️another sign problem. @EctTrento
rothkopfAK's tweet image. Evan Berkovitz @fz_juelich tells us about #machinelearning applied to the study of the #Hubbardmodel an iconic model of #condensedmatter physics relevant e.g. for #graphene. Challenge in presence of doping (chemical potential) ➡️another sign problem. @EctTrento

New article "A MultiMethod, MultiMessenger Study of the Two-Dimensional Hubbard Model" - coauthors from the Institute of Theoretical Physics of the University of Tübingen & led by @tschaefer87 #quantumphysics #openaccess #HubbardModel uni-tuebingen.de/universitaet/a…


ไม่พบผลลัพธ์สำหรับ "#hubbardmodel"

#ComputationMDPI, New Publication "A Versatile Unitary Transformation Framework for an Optimal Bath Construction in Density-Matrix Based Quantum Embedding Approaches" 👉 Read the full article: mdpi.com/2515880 #HubbardModel #unitary #transformation #density #matrix

ComputationMDPI's tweet image. #ComputationMDPI, New Publication

"A  Versatile Unitary Transformation Framework for an Optimal Bath  Construction in Density-Matrix Based Quantum Embedding Approaches" 

👉 Read the full article: mdpi.com/2515880

#HubbardModel #unitary #transformation #density #matrix

Evan Berkovitz @fz_juelich tells us about #machinelearning applied to the study of the #Hubbardmodel an iconic model of #condensedmatter physics relevant e.g. for #graphene. Challenge in presence of doping (chemical potential) ➡️another sign problem. @EctTrento

rothkopfAK's tweet image. Evan Berkovitz @fz_juelich tells us about #machinelearning applied to the study of the #Hubbardmodel an iconic model of #condensedmatter physics relevant e.g. for #graphene. Challenge in presence of doping (chemical potential) ➡️another sign problem. @EctTrento
rothkopfAK's tweet image. Evan Berkovitz @fz_juelich tells us about #machinelearning applied to the study of the #Hubbardmodel an iconic model of #condensedmatter physics relevant e.g. for #graphene. Challenge in presence of doping (chemical potential) ➡️another sign problem. @EctTrento
rothkopfAK's tweet image. Evan Berkovitz @fz_juelich tells us about #machinelearning applied to the study of the #Hubbardmodel an iconic model of #condensedmatter physics relevant e.g. for #graphene. Challenge in presence of doping (chemical potential) ➡️another sign problem. @EctTrento
rothkopfAK's tweet image. Evan Berkovitz @fz_juelich tells us about #machinelearning applied to the study of the #Hubbardmodel an iconic model of #condensedmatter physics relevant e.g. for #graphene. Challenge in presence of doping (chemical potential) ➡️another sign problem. @EctTrento

PRB Editors' Suggestion: Ground-state phase diagram and #superconductivity of the doped #HubbardModel on six-leg square cylinders Yi-Fan Jiang, Thomas P. Devereaux, and Hong-Chen Jiang Phys. Rev. B 109, 085121 ➡️ go.aps.org/48ldWuH #EdSugg #condmat #physics @APSPhysics

PhysRevB's tweet image. PRB Editors' Suggestion: Ground-state phase diagram and #superconductivity of the doped #HubbardModel on six-leg square cylinders

Yi-Fan Jiang, Thomas P. Devereaux, and Hong-Chen Jiang
Phys. Rev. B 109, 085121

➡️ go.aps.org/48ldWuH
#EdSugg #condmat #physics @APSPhysics

#Superconductivity #HubbardModel Using 8-site cluster DMFT, researchers reveal how the pseudogap and d-wave superconductivity compete/cooperate in the 2D Hubbard model. cpl.iphy.ac.cn/article/doi/10…

PhysicsChinese's tweet image. #Superconductivity #HubbardModel Using 8-site cluster DMFT, researchers reveal how the pseudogap and d-wave superconductivity compete/cooperate in the 2D Hubbard model. cpl.iphy.ac.cn/article/doi/10…

PRB Editors' Suggestion: 𝑠±-wave #superconductivity in the bilayer two-orbital #HubbardModel Yao-Yuan Zheng and Wéi Wú Phys. Rev. B 111, 035108 ➡️ go.aps.org/3PnDfoK #EdSugg @APSPhysics #condmat #physics

PhysRevB's tweet image. PRB Editors' Suggestion: 𝑠±-wave #superconductivity in the bilayer two-orbital #HubbardModel

Yao-Yuan Zheng and Wéi Wú
Phys. Rev. B 111, 035108

➡️ go.aps.org/3PnDfoK
#EdSugg @APSPhysics #condmat #physics

An atomistic approach including electron correlation effects to describe #plasmonic systems. GW approximation is used to solve the #HubbardModel. @bePhotonMeetup #bePOM20

AntoineHonet's tweet image. An atomistic approach including electron correlation effects to describe #plasmonic systems.
GW approximation is used to solve the #HubbardModel. @bePhotonMeetup #bePOM20
AntoineHonet's tweet image. An atomistic approach including electron correlation effects to describe #plasmonic systems.
GW approximation is used to solve the #HubbardModel. @bePhotonMeetup #bePOM20
AntoineHonet's tweet image. An atomistic approach including electron correlation effects to describe #plasmonic systems.
GW approximation is used to solve the #HubbardModel. @bePhotonMeetup #bePOM20
AntoineHonet's tweet image. An atomistic approach including electron correlation effects to describe #plasmonic systems.
GW approximation is used to solve the #HubbardModel. @bePhotonMeetup #bePOM20

📜 Read #NewPaper: "Two-Band Electronic Reconstruction Induced via Correlation and CDW Order Effects" by Luis Craco. 👏👏 🔗 See more details at: mdpi.com/2410-3896/9/4/… #Hubbardmodel #twoband #CDW #densityofstates

CondensMatter's tweet image. 📜 Read #NewPaper: "Two-Band Electronic Reconstruction Induced via Correlation and CDW Order Effects" by Luis Craco. 👏👏

🔗 See more details at: mdpi.com/2410-3896/9/4/…

#Hubbardmodel
#twoband
#CDW
#densityofstates

📜 Read #NewPaper: "Effect of t2g-Correlations and Doping in CrSBr Ferromagnetic #Semiconductor" by Luis Craco and Sabrina Silva Carara. 👏👏 🔗 See more details at: mdpi.com/2410-3896/10/2… #Hubbardmodel #ferromagnetism #DFT + #DMFT #memristor

CondensMatter's tweet image. 📜 Read #NewPaper: "Effect of t2g-Correlations and Doping in CrSBr Ferromagnetic #Semiconductor" by Luis Craco and Sabrina Silva Carara. 👏👏

🔗 See more details at: mdpi.com/2410-3896/10/2…

#Hubbardmodel
#ferromagnetism
#DFT + #DMFT
#memristor

📜 Read #NewPaper: "Atomristor Mott Theory of Sn Adatom Adlayer on a Si Surface" by Luis Craco, Edson F. Chagas, Sabrina S. Carara and Byron Freelon. 💐 💐 🔗 See more details at: mdpi.com/2410-3896/9/3/… #Hubbardmodel #DFT + #DMFT #metalinsulatortransition #atomristor

CondensMatter's tweet image. 📜 Read #NewPaper: "Atomristor Mott Theory of Sn Adatom Adlayer on a Si Surface" by Luis Craco, Edson F. Chagas, Sabrina S. Carara and Byron Freelon. 💐 💐

🔗 See more details at: mdpi.com/2410-3896/9/3/…

#Hubbardmodel
#DFT + #DMFT
#metalinsulatortransition
#atomristor

📘 New OA paper alert! Explore the results of the one-dimensional repulsive #HubbardModel. Delve into fundamental properties, including gapless spin, charge excitations & read insights into quantum criticality. Learn more: ow.ly/zH9F50TNkJ2 #OpenAccess #QuantumPhysics

IOPProgressin's tweet image. 📘 New OA paper alert! Explore the results of the one-dimensional repulsive #HubbardModel. Delve into fundamental properties, including gapless spin, charge excitations & read insights into quantum criticality. 

Learn more: ow.ly/zH9F50TNkJ2 

#OpenAccess #QuantumPhysics

Loading...

Something went wrong.


Something went wrong.


United States Trends