#inservice resultados de búsqueda

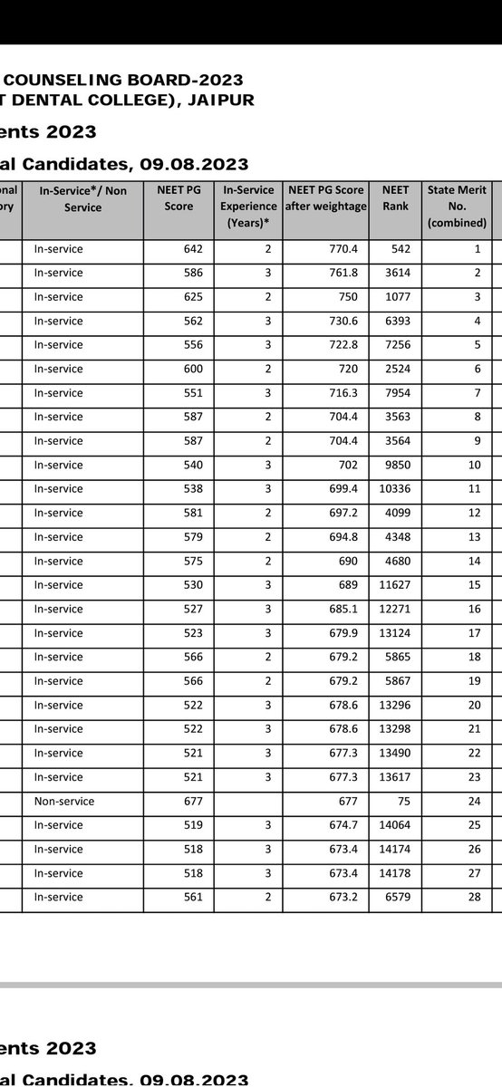
State merit list of Rajsthan If you can point out one "Non In-service" candidate then congratulations 👏 you have a great eye sight #neetpg #inservice #inservicesucks

bheekamkurmi27's tweet image. State merit list of Rajsthan

If you can point out one "Non In-service" candidate then congratulations 👏 you have a great eye sight

#neetpg #inservice #inservicesucks

Hurrah for #Inservice days for the schools. Mr 16 starting off turning 170+ acres straw. Going to be a bit of a shift once he's finished. Nice to finally get some harvest weather.


Let's solve some challenges to DEEPEN our understanding of moving objects down a ramp? #InService #ONESchool #letsroll #tinkering #playingwithramps

Soralina's tweet image. Let's solve some challenges to DEEPEN our understanding of moving objects down a ramp?
#InService #ONESchool #letsroll #tinkering #playingwithramps
Soralina's tweet image. Let's solve some challenges to DEEPEN our understanding of moving objects down a ramp?
#InService #ONESchool #letsroll #tinkering #playingwithramps
Soralina's tweet image. Let's solve some challenges to DEEPEN our understanding of moving objects down a ramp?
#InService #ONESchool #letsroll #tinkering #playingwithramps

High school tech training with our very own @holly_mac_806 !! #🖥️ #Inservice

WadeCallaway's tweet image. High school tech training with our very own @holly_mac_806 !! #🖥️ #Inservice

Serving the city we love with determination and joy. #FridayFeeling #InService&WithLove

AWilliamsIsom's tweet image. Serving the city we love with determination and joy. #FridayFeeling #InService&WithLove

#Karnataka Govt Order regarding the Deputation of Medical Officers for PG & SS( #Inservice quota), Procedural Guidelines & Eligibility Criteria Check Details; In-service quota and deputation for Ss courses (DM, MCh, recognized fellowships) not permitted.⤵️ #MedTwitter

Indian__doctor's tweet image. #Karnataka Govt Order regarding the Deputation of Medical Officers for PG & SS( #Inservice quota), Procedural Guidelines &  Eligibility Criteria
Check Details;

In-service quota and deputation for Ss courses (DM, MCh, recognized fellowships) not permitted.⤵️
#MedTwitter
Indian__doctor's tweet image. #Karnataka Govt Order regarding the Deputation of Medical Officers for PG & SS( #Inservice quota), Procedural Guidelines &  Eligibility Criteria
Check Details;

In-service quota and deputation for Ss courses (DM, MCh, recognized fellowships) not permitted.⤵️
#MedTwitter
Indian__doctor's tweet image. #Karnataka Govt Order regarding the Deputation of Medical Officers for PG & SS( #Inservice quota), Procedural Guidelines &  Eligibility Criteria
Check Details;

In-service quota and deputation for Ss courses (DM, MCh, recognized fellowships) not permitted.⤵️
#MedTwitter

Enjoyed hanging with @NYCAging and hundreds of older adults at their Intergenerational Groove Party. Wishing you a weekend filled with the kind of joy that makes your heart sing and your feet dance 😍😍 #InService&WithLove


A reminder that there will be no classes on Monday for students, due to staff inservice. We hope all students enjoy their long weekend! 🤩 #hfcsrathcoole #jct #inservice

hfcsrathcoole's tweet image. A reminder that there will be no classes on Monday for students, due to staff inservice. 

We hope all students enjoy their long weekend! 🤩 

#hfcsrathcoole #jct #inservice

My mission this incarnation is threefold: 1. To provide people with gorgeous high-frequency gifts from Gaia to aid in their personal Spiritual evolution & Ascension 2. To activate people with my words & music 3. To make people feel fucking amazing about themselves. #InService


Serving my people is my only mantra – committed to helping in every way possible. #CommunityFirst #InService#bjp


Reminder! School will close Friday 8th November at 3pm and will re-open Tuesday 12th November at 8.50am for a teacher inset day. #inset #inservice

clydebankhigh's tweet image. Reminder!
School will close Friday 8th November at 3pm and will re-open Tuesday 12th November at 8.50am for a teacher inset day.
#inset
#inservice

👉🏻Take a look at some pictures of the Caregiver In-Service that went through this Tuesday ‼️ 😍 👉🏻Our amazing team member Liza, welcomed all our caregivers and they had a blast! We love seeing our caregiver's faces and sharing training with them! ❤️ #caregiver #inservice

rahsouthernmd's tweet image. 👉🏻Take a look at some pictures of the Caregiver In-Service that went through this Tuesday ‼️ 😍

👉🏻Our amazing team member Liza, welcomed all our caregivers and they had a blast! We love seeing our caregiver's faces and sharing training with them! ❤️

#caregiver #inservice
rahsouthernmd's tweet image. 👉🏻Take a look at some pictures of the Caregiver In-Service that went through this Tuesday ‼️ 😍

👉🏻Our amazing team member Liza, welcomed all our caregivers and they had a blast! We love seeing our caregiver's faces and sharing training with them! ❤️

#caregiver #inservice

📢 Exciting Announcement! TMPA's In-Service Magazine is now available! This edition, 'P-O-L-I-C-E and Politics,' sheds light on how politics impact our profession and offers insights on what WE can do about it! #TMPA #InService Link listed in profile.

TMPALegislative's tweet image. 📢 Exciting Announcement! TMPA's In-Service Magazine is now available! This edition, 'P-O-L-I-C-E and Politics,' sheds light on how politics impact our profession and offers insights on what WE can do about it! #TMPA #InService 

Link listed in profile.

Always so proud to serve the great City of New York with my sisters. Today at the #SOTC one of the people who gave a blessing said “May they manage their assignment with love” #Sisters #InService&WithLove

AWilliamsIsom's tweet image. Always so proud to serve the great City of New York with my sisters. Today at the #SOTC one of the people who gave a blessing said “May they manage their assignment with love” #Sisters #InService&WithLove

It is not possible to express my complete and total amazement at receiving this endorsement. I'll just say, it was my voting record. AZ Rep. Janeen Connolly VOTES FOR AZ JOBS! #inservice

JaneenRohovit's tweet image. It is not possible to express my complete and total amazement at receiving this endorsement. I'll just say, it was my voting record. AZ Rep. Janeen Connolly VOTES FOR AZ JOBS!  #inservice

In case you were wondering, this is why I'm running for re-election! Creating jobs and fighting for economic security are incredibly fulfilling -- come with me! #inservice

JaneenRohovit's tweet image. In case you were wondering, this is why I'm running for re-election! Creating jobs and fighting for economic security are incredibly fulfilling -- come with me! #inservice

We kicked off our 2025 In-Service on Friday with our over 200 team members in attendance! There, team members learned about relevant topics from guest speakers and connected with one another through team building. #InService #TransformingLives #GenuineCare #Connected


Great #inservice session at Oakmont of Concord! Our owner, Nikhil Chauhan, shared key #insights on improving #patientcommunication. Big #Thanks to San Sor & Steven Meyers! 🎉 Looking forward to more collaborations! 💬 📍 Visit Oakmont: oakmontseniorliving.com/concord/ #caregiving #Tips

raheastbay's tweet image. Great #inservice session at Oakmont of Concord! Our owner, Nikhil Chauhan, shared key #insights on improving #patientcommunication. Big #Thanks  to San Sor & Steven Meyers! 🎉 Looking forward to more collaborations! 💬
📍 Visit Oakmont: oakmontseniorliving.com/concord/
#caregiving #Tips
raheastbay's tweet image. Great #inservice session at Oakmont of Concord! Our owner, Nikhil Chauhan, shared key #insights on improving #patientcommunication. Big #Thanks  to San Sor & Steven Meyers! 🎉 Looking forward to more collaborations! 💬
📍 Visit Oakmont: oakmontseniorliving.com/concord/
#caregiving #Tips
raheastbay's tweet image. Great #inservice session at Oakmont of Concord! Our owner, Nikhil Chauhan, shared key #insights on improving #patientcommunication. Big #Thanks  to San Sor & Steven Meyers! 🎉 Looking forward to more collaborations! 💬
📍 Visit Oakmont: oakmontseniorliving.com/concord/
#caregiving #Tips
raheastbay's tweet image. Great #inservice session at Oakmont of Concord! Our owner, Nikhil Chauhan, shared key #insights on improving #patientcommunication. Big #Thanks  to San Sor & Steven Meyers! 🎉 Looking forward to more collaborations! 💬
📍 Visit Oakmont: oakmontseniorliving.com/concord/
#caregiving #Tips

Over 1,200 Great Hearts Arizona teachers gathered across the Valley for our annual Fall Faculty In-Service, a day dedicated to refining the art of teaching. #greathearts #inservice greatheartsamerica.org/great-hearts-t…


State merit list of Rajsthan If you can point out one "Non In-service" candidate then congratulations 👏 you have a great eye sight #neetpg #inservice #inservicesucks

bheekamkurmi27's tweet image. State merit list of Rajsthan

If you can point out one "Non In-service" candidate then congratulations 👏 you have a great eye sight

#neetpg #inservice #inservicesucks

Let's solve some challenges to DEEPEN our understanding of moving objects down a ramp? #InService #ONESchool #letsroll #tinkering #playingwithramps

Soralina's tweet image. Let's solve some challenges to DEEPEN our understanding of moving objects down a ramp?
#InService #ONESchool #letsroll #tinkering #playingwithramps
Soralina's tweet image. Let's solve some challenges to DEEPEN our understanding of moving objects down a ramp?
#InService #ONESchool #letsroll #tinkering #playingwithramps
Soralina's tweet image. Let's solve some challenges to DEEPEN our understanding of moving objects down a ramp?
#InService #ONESchool #letsroll #tinkering #playingwithramps

👉🏻Take a look at some pictures of the Caregiver In-Service that went through this Tuesday ‼️ 😍 👉🏻Our amazing team member Liza, welcomed all our caregivers and they had a blast! We love seeing our caregiver's faces and sharing training with them! ❤️ #caregiver #inservice

rahsouthernmd's tweet image. 👉🏻Take a look at some pictures of the Caregiver In-Service that went through this Tuesday ‼️ 😍

👉🏻Our amazing team member Liza, welcomed all our caregivers and they had a blast! We love seeing our caregiver's faces and sharing training with them! ❤️

#caregiver #inservice
rahsouthernmd's tweet image. 👉🏻Take a look at some pictures of the Caregiver In-Service that went through this Tuesday ‼️ 😍

👉🏻Our amazing team member Liza, welcomed all our caregivers and they had a blast! We love seeing our caregiver's faces and sharing training with them! ❤️

#caregiver #inservice

High school tech training with our very own @holly_mac_806 !! #🖥️ #Inservice

WadeCallaway's tweet image. High school tech training with our very own @holly_mac_806 !! #🖥️ #Inservice

Sworn in today, all of my daughters with me on the AZ House floor. It was over the top! #inservice 🫡

JaneenRohovit's tweet image. Sworn in today, all of my daughters with me on the AZ House floor. It was over the top! #inservice 🫡

Attended an amazing in-service at Restore Health Rehabilitation today! 💪🏥 It was a fantastic session! #InService #RestoreHealth #Rehabilitation

rahsouthernmd's tweet image. Attended an amazing in-service at Restore Health Rehabilitation today! 💪🏥 It was a fantastic session! #InService #RestoreHealth #Rehabilitation

#Karnataka Govt Order regarding the Deputation of Medical Officers for PG & SS( #Inservice quota), Procedural Guidelines & Eligibility Criteria Check Details; In-service quota and deputation for Ss courses (DM, MCh, recognized fellowships) not permitted.⤵️ #MedTwitter

Indian__doctor's tweet image. #Karnataka Govt Order regarding the Deputation of Medical Officers for PG & SS( #Inservice quota), Procedural Guidelines &  Eligibility Criteria
Check Details;

In-service quota and deputation for Ss courses (DM, MCh, recognized fellowships) not permitted.⤵️
#MedTwitter
Indian__doctor's tweet image. #Karnataka Govt Order regarding the Deputation of Medical Officers for PG & SS( #Inservice quota), Procedural Guidelines &  Eligibility Criteria
Check Details;

In-service quota and deputation for Ss courses (DM, MCh, recognized fellowships) not permitted.⤵️
#MedTwitter
Indian__doctor's tweet image. #Karnataka Govt Order regarding the Deputation of Medical Officers for PG & SS( #Inservice quota), Procedural Guidelines &  Eligibility Criteria
Check Details;

In-service quota and deputation for Ss courses (DM, MCh, recognized fellowships) not permitted.⤵️
#MedTwitter

Today is the last day to register for the upcoming HARDCORE ISB BOOTCAMP XXV happening this January in Malaysia. Be sure to register fast before the doors close! >> bit.ly/HISBXXV #InService #ISB

thev_official's tweet image. Today is the last day to register for the upcoming HARDCORE ISB BOOTCAMP XXV happening this January in Malaysia.

Be sure to register fast before the doors close! 

>> bit.ly/HISBXXV
#InService #ISB

Had an amazing time at the Calvert Health Center In-Service! Grateful for the opportunity to learn, grow, and connect with such dedicated professionals. 🌟 #CalvertHealth #InService #Teamwork #InHomeCare

rahsouthernmd's tweet image. Had an amazing time at the Calvert Health Center In-Service! Grateful for the opportunity to learn, grow, and connect with such dedicated professionals. 🌟

#CalvertHealth #InService #Teamwork #InHomeCare
rahsouthernmd's tweet image. Had an amazing time at the Calvert Health Center In-Service! Grateful for the opportunity to learn, grow, and connect with such dedicated professionals. 🌟

#CalvertHealth #InService #Teamwork #InHomeCare
rahsouthernmd's tweet image. Had an amazing time at the Calvert Health Center In-Service! Grateful for the opportunity to learn, grow, and connect with such dedicated professionals. 🌟

#CalvertHealth #InService #Teamwork #InHomeCare
rahsouthernmd's tweet image. Had an amazing time at the Calvert Health Center In-Service! Grateful for the opportunity to learn, grow, and connect with such dedicated professionals. 🌟

#CalvertHealth #InService #Teamwork #InHomeCare

Serving the city we love with determination and joy. #FridayFeeling #InService&WithLove

AWilliamsIsom's tweet image. Serving the city we love with determination and joy. #FridayFeeling #InService&WithLove

🚨 No classes Friday, Dec. 6, for in-service! 🎓✨ Limited services: Deliveries & admissions inquiries accepted. Graduates, pick up your caps, gowns, and sashes Friday! Classes resume Monday, Dec. 9. Rest up and get ready! 💪 #westerntechep #InService

wtcep's tweet image. 🚨 No classes Friday, Dec. 6, for in-service! 🎓✨
Limited services: Deliveries & admissions inquiries accepted. Graduates, pick up your caps, gowns, and sashes Friday! Classes resume Monday, Dec. 9. Rest up and get ready! 💪
#westerntechep #InService

Agricast is looking for 100 students who are studying for a diploma in agriculture, agric management, animal or plant production for a WORK INTEGRATED LEARNING opportunity.Submit the documents listed on the poster below to [email protected]. #wil #inservice #agriculture

Agric_young's tweet image. Agricast is looking for 100 students who are studying for a diploma in agriculture, agric management, animal or plant production for a WORK INTEGRATED LEARNING opportunity.Submit the documents listed on the poster below to wil@agricastadvisory.co.za. 
#wil #inservice #agriculture

A reminder that there will be no classes on Monday for students, due to staff inservice. We hope all students enjoy their long weekend! 🤩 #hfcsrathcoole #jct #inservice

hfcsrathcoole's tweet image. A reminder that there will be no classes on Monday for students, due to staff inservice. 

We hope all students enjoy their long weekend! 🤩 

#hfcsrathcoole #jct #inservice

#Inservice at @marian_wi is where faculty and staff get all charged up for the school year. There was a warm-up exercise - the Amazing Marian Race - where teams run around campus to complete tasks. It required teamwork, cunning, and nerves of steel! #Community, #WeAreMarian

marian_wi's tweet image. #Inservice at @marian_wi is where faculty and staff get all charged up for the school year. There was a warm-up exercise - the Amazing Marian Race - where teams run around campus to complete tasks. It required teamwork, cunning, and nerves of steel! #Community, #WeAreMarian
marian_wi's tweet image. #Inservice at @marian_wi is where faculty and staff get all charged up for the school year. There was a warm-up exercise - the Amazing Marian Race - where teams run around campus to complete tasks. It required teamwork, cunning, and nerves of steel! #Community, #WeAreMarian
marian_wi's tweet image. #Inservice at @marian_wi is where faculty and staff get all charged up for the school year. There was a warm-up exercise - the Amazing Marian Race - where teams run around campus to complete tasks. It required teamwork, cunning, and nerves of steel! #Community, #WeAreMarian
marian_wi's tweet image. #Inservice at @marian_wi is where faculty and staff get all charged up for the school year. There was a warm-up exercise - the Amazing Marian Race - where teams run around campus to complete tasks. It required teamwork, cunning, and nerves of steel! #Community, #WeAreMarian

Loading...

Something went wrong.


Something went wrong.


United States Trends