#mdga2020 risultati di ricerca

That’s a wrap on #MDGA2020 session! Thank you to our troopers, staff, clerks, and DLS team for all of their hard work.

LukeClippinger's tweet image. That’s a wrap on #MDGA2020 session! Thank you to our troopers, staff, clerks, and DLS team for all of their hard work.

Your great reporting shed light on this horrendous practice that many police depts stopped. Now we need to ensure the practice is stopped statewide once and for all! #working4md #mdga2020

Questo tweet non è più disponibile.

Here is a blog from the perspective of one of our legal and policy research interns, Olivia, as she observed the Maryland General Assembly's failure to the repeal the state's spousal defense law in sexual assault cases. #MDGA2020 link.medium.com/RRhciwkyG5


.@rscottking A blanket prohibition on eligibility based on offense or sentence type would undermine the purpose of a geriatric parole provision and is inconsistent with what research has shown about recidivism rates among this population. #geriatric #parole #MDGA2020 #CJreform


Go Delegate Stephanie Smith! Great floor speech on why our youth are worth the investment of education. #MDGA2020

@Smith4Delegate⁩ brilliant, passionate, incredible defense of the Blueprint.

SaraLove4MD's tweet image. ⁦@Smith4Delegate⁩ brilliant, passionate, incredible defense of the Blueprint.


Exciting news! The House just passed HB 568, helping to ensure ALL eligible voters wh have access to voting. Thank you @Nick_Mosby for your leadership on this. #ExpandTheVote #MDGA20 #MDGA2020

CommonCauseMD's tweet image. Exciting news! The House just passed HB 568, helping to ensure ALL eligible voters wh have access to voting. Thank you @Nick_Mosby for your leadership on this. #ExpandTheVote #MDGA20 #MDGA2020

Today I joined @BrianFrosh, @SenBillFerg, @BELBaltimore and others to introduce legislation that will end debt-based driver’s license suspensions due to unpaid fines and fees. Tens of thousands in MD have their driving privileges revoked for failing to pay a small fine. #MDGA2020

Willcsmithjr's tweet image. Today I joined @BrianFrosh, @SenBillFerg, @BELBaltimore and others to introduce legislation that will end debt-based driver’s license suspensions due to unpaid fines and fees. Tens of thousands in MD have their driving privileges revoked for failing to pay a small fine. #MDGA2020
Willcsmithjr's tweet image. Today I joined @BrianFrosh, @SenBillFerg, @BELBaltimore and others to introduce legislation that will end debt-based driver’s license suspensions due to unpaid fines and fees. Tens of thousands in MD have their driving privileges revoked for failing to pay a small fine. #MDGA2020

“For decades, Maryland has been a bipartisan trailblazer in the health care arena...and we continued that during the #MDGA2020 Session.” ✔️Secured funding for the first of its kind PDAP ✔️Codifed key ACA protections ✔️Expanded affordable healthcare access marylandmatters.org/2020/03/26/vin…


Just now Del. Lierman defended #HB1220 & I did phone back up for her. Apparently, protecting working people from exhorbitant road tolls qualifies us as "Bernie Sanders Socialists". It's really weird to be called names on the House floor. #Decorum #MDGA2020

RobbynLewis46th's tweet image. Just now Del. Lierman defended #HB1220 & I did phone back up for her. Apparently, protecting working people from exhorbitant road tolls qualifies us as "Bernie Sanders Socialists". It's really weird to be called names on the House floor. #Decorum #MDGA2020

To sign, or not to sign—that is the question. #MDGA2020

riccimike's tweet image. To sign, or not to sign—that is the question. #MDGA2020

Historic session abbreviated by coronavirus: Md. lawmakers speed through 500 bills washingtonpost.com/local/md-polit…



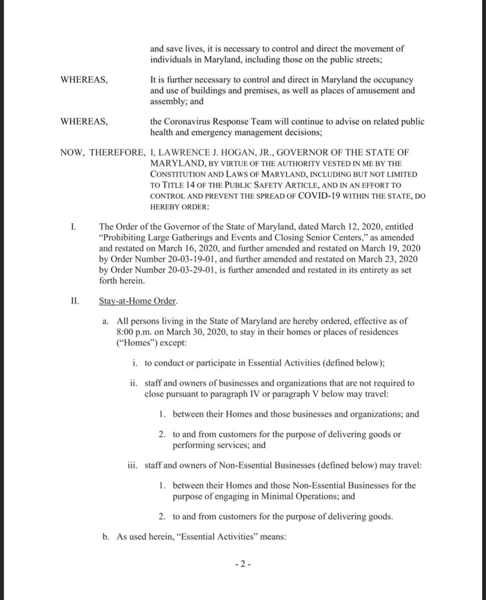
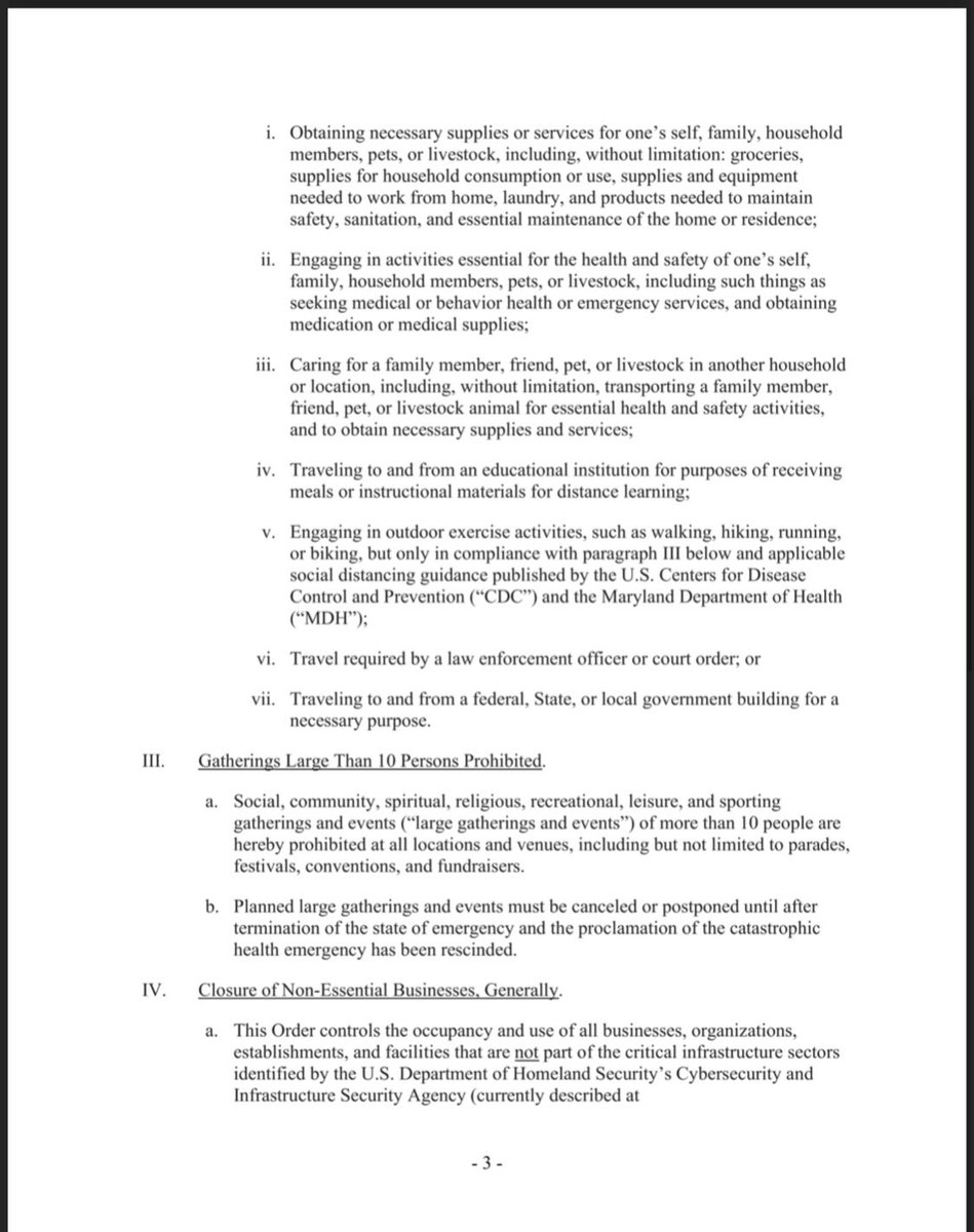
Governor Hogan has issued a Stay-At-Home order, which will go into effect at 8:00pm *TODAY* Monday, March 30, 2020. The Executive Order, outlining essential businesses and activities, is attached to this tweet and the next tweet. #StayHomeMD #MDGA2020 #COVID19 #Maryland

DylanGoldberg's tweet image. Governor Hogan has issued a Stay-At-Home order, which will go into effect at 8:00pm *TODAY* Monday, March 30, 2020. 

The Executive Order, outlining essential businesses and activities, is attached to this tweet and the next tweet. 

#StayHomeMD #MDGA2020 #COVID19 #Maryland
DylanGoldberg's tweet image. Governor Hogan has issued a Stay-At-Home order, which will go into effect at 8:00pm *TODAY* Monday, March 30, 2020. 

The Executive Order, outlining essential businesses and activities, is attached to this tweet and the next tweet. 

#StayHomeMD #MDGA2020 #COVID19 #Maryland
DylanGoldberg's tweet image. Governor Hogan has issued a Stay-At-Home order, which will go into effect at 8:00pm *TODAY* Monday, March 30, 2020. 

The Executive Order, outlining essential businesses and activities, is attached to this tweet and the next tweet. 

#StayHomeMD #MDGA2020 #COVID19 #Maryland
DylanGoldberg's tweet image. Governor Hogan has issued a Stay-At-Home order, which will go into effect at 8:00pm *TODAY* Monday, March 30, 2020. 

The Executive Order, outlining essential businesses and activities, is attached to this tweet and the next tweet. 

#StayHomeMD #MDGA2020 #COVID19 #Maryland

We’re supporting legislation that would improve Maryland’s upside down tax code by making our income tax more equitable. Thanks to @Smith4Delegate for you leadership on this! #FairFundingMD #MDGA2020


But for #COVID19Pandemic the #mdga2020 legislative session would have adjourned Sine Die this morning at 12am! Seems long ago & far away now, but this is my summary: myemail.constantcontact.com/End-of-Session… #StayHomeMaryland #StaySafeStayHealthy


Disappointing to hear that @AFSCMEMaryland is feverishly opposing HB 1221/ SB 1029 which would create basic transparency over police brutality. Luckily, the bill is supported by Black & Latinx officers, who stand with communities that experience police abuse. #MDGA2020


Celebrating the 175th anniversary of the US Naval Academy! @USNaval_Academy #MDGA2020

BC4MD's tweet image. Celebrating the 175th anniversary of the US Naval Academy!  @USNaval_Academy #MDGA2020
BC4MD's tweet image. Celebrating the 175th anniversary of the US Naval Academy!  @USNaval_Academy #MDGA2020

Thank you, Delegate Kirill Reznik, for your floor leadership tonight in guiding the defeat of not one but four different anti-abortion amendments to the 2121 state budget that would have limited access to abortion care for low income individuals and their families. #MDGA2020

ProChoiceMD's tweet image. Thank you, Delegate Kirill Reznik, for your floor leadership tonight in guiding the defeat of not one but four different anti-abortion amendments to the 2121 state budget that would have limited access to abortion care for low income individuals and their families. #MDGA2020

POWERFUL!! MD State Delegate @Smith4Delegate on House Floor schooling colleagues on Gov't responsibility to educate poor children. Can we blow this up? #mdga2020 #BlackTwitter m.facebook.com/story.php?stor…


Quite a powerful moment of tribute in the House of Delegates this morning honoring three members of the only all Black Female Battalion to serve in WWII. #WomensHistoryMonth #MDGA2020

Help me celebrate three A.A. women who served in the Six Triple Eight Battalion in WWII in Europe . . . The oldest of the three is 102 yrs old!!👩🏾‍✈️👩🏾‍✈️✊🏾✊🏿❤🖤 #Working4MD #WomensHistoryMonth #BlackHistory

reginatboyce's tweet image. Help me celebrate three A.A. women who served in the Six Triple Eight Battalion in WWII in Europe . . .  The oldest of the three is 102 yrs old!!👩🏾‍✈️👩🏾‍✈️✊🏾✊🏿❤🖤

#Working4MD #WomensHistoryMonth #BlackHistory
reginatboyce's tweet image. Help me celebrate three A.A. women who served in the Six Triple Eight Battalion in WWII in Europe . . .  The oldest of the three is 102 yrs old!!👩🏾‍✈️👩🏾‍✈️✊🏾✊🏿❤🖤

#Working4MD #WomensHistoryMonth #BlackHistory


Get involved! WATCH as we debate Blueprint For MD, the Kirwan Commission bill to transform MD's public schools for this generation & beyond, live in the House of Delegates all day (& into the night) today. For the livestream: mgaleg.maryland.gov/mgawebsite/Flo… #MDGA2020 #watchthedebate


Happening Now: It's my honor to present the Budget of Maryland to the Maryland House of Delegates this morning mgaleg.maryland.gov/mgawebsite/Flo… #MDGA2020 #working4MD

DelMaggie43's tweet image. Happening Now:
It's my honor to present the Budget of Maryland to the Maryland House of Delegates this morning
mgaleg.maryland.gov/mgawebsite/Flo…
#MDGA2020  #working4MD

Thank you Md Senate Finance Committee for passing #PaidFamilyLeave! Now its time for the House Econ. Matters Committee to follow suite. Take action at: tinyurl.com/y7v8rc4t #TimetoCare #MDGA2020 #AARPAdvocates @SenatorDKelley @BrianJFeldman

AARPMD's tweet image. Thank you Md Senate Finance Committee for passing #PaidFamilyLeave! Now its time for the House Econ. Matters Committee to follow suite. Take action at: tinyurl.com/y7v8rc4t #TimetoCare #MDGA2020 #AARPAdvocates @SenatorDKelley @BrianJFeldman

Travel back in time to #MDGA2020 before social distancing and all the rest as the #pandemic intervened.

Good morning. It's MONDAY, March 15. One year ago today, @SpeakerAJones & @SenBillFerg announced the Maryland General Assembly would adjourn its session early -- for the first time since the Civil War! -- due to the coronavirus pandemic. A look back: baltimoresun.com/politics/bs-md…



Video dropping soon about the big issue we are debating on Senate floor, SB 414 Climate Action bill - it’s funded partly by taking money from the Bay Restorarion Fund - our “flush fee” dollars. Why take funds from something that is actually working? #mdpolitics #MDGA2020 #Dist5

JustinReady's tweet image. Video dropping soon about the big issue we are debating on Senate floor, SB 414 Climate Action bill - it’s funded partly by taking money from the Bay Restorarion Fund - our “flush fee” dollars. Why take funds from something that is actually working? #mdpolitics #MDGA2020 #Dist5

🚨🚨 The House Ways & Means Committee just came back together to amend the MD's COVID relief bill, the #RELIEFact to include immigrant taxpayers. It will be debated on the House floor tomorrow at 10AM. Check this thread for more info to ensure this bill moves forward. #MDGA21

CASAforall's tweet image. 🚨🚨 The House Ways & Means Committee just came back together to amend the MD's COVID relief bill, the #RELIEFact to include immigrant taxpayers. It will be debated on the House floor tomorrow at 10AM. Check this thread for more info to ensure this bill moves forward. #MDGA21


First, a bill that was introduced in #MDGA2020 that would have required legal counsel to be present and parents be notified when a minor is being interrogated by police (the bill is called the Child Interrogation Bill). /15


Y'all can relax now. #Maryland's 10 electors are locked to Joe/Top Cop. And Mag-lev's got TWO MORE YEARS to mess with your minds. Thanks #MDGA2020 for all you didn't do and won't do for TWO MORE YEARS.

MissMaryPrep's tweet image. Y'all can relax now. #Maryland's 10 electors are locked to Joe/Top Cop. And Mag-lev's got TWO MORE YEARS to mess with your minds. Thanks #MDGA2020 for all you didn't do and won't do for TWO MORE YEARS.

#MDGA2020 special session any. day. now.


I’m honored to be one of @MDLCV‘s 2020 Environmental Leaders for their #MDLCVScore release! Check out their new Environmental Scorecard at scorecard.mdlcv.org #MDGA2020 #Baltimore

Just released! Our 2020 Environmental Scorecard, announcing our 2020 Environmental Champions and Leaders and our NEW conservation voter report! Check it all out at scorecard.mdlcv.org #MDLCVScore #EnvironmentalLeaders #EnvironmentalChampions #ConservationVoterReport

MDLCV's tweet image. Just released! Our 2020 Environmental Scorecard, announcing our 2020 Environmental Champions and Leaders and our NEW conservation voter report! Check it all out at scorecard.mdlcv.org #MDLCVScore #EnvironmentalLeaders #EnvironmentalChampions #ConservationVoterReport


Mag-lev #MDGA2020 running down the clock to the NEXT regular session to do nothing, beginning January 13, 2021 msa.maryland.gov/msa/mdmanual/0…


11 yrs ago, I attended a mtg at @HPRPMaryland re: reviving the advocacy effort for the #HomeAct. @AKFasanelli never lost her passion or focus. As of today, it is illegal for a landlord to discriminate based on a tenant’s legal source of income. #marathonnotasprint #mdga2020


#bmore v Mag-lev #MDGA2020

MissMaryPrep's tweet image. #bmore v Mag-lev #MDGA2020

HAPPENING TODAY: Caravan and Speak Out Tuesday Calls for Official End to Johns Hopkins' Practice of Suing Patients Over #MedicalDebt Caravan starts Tuesday, Sept. 15, 2020 @ 1 p.m.; Speak out starts at 1:30 p.m. Press release and more details ➡️ nationalnursesunited.org/press/caravan-…

NationalNurses's tweet image. HAPPENING TODAY: Caravan and Speak Out Tuesday Calls for Official End to Johns Hopkins' Practice of Suing Patients Over #MedicalDebt

Caravan starts Tuesday, Sept. 15, 2020 @ 1 p.m.; Speak out starts at 1:30 p.m.

Press release and more details ➡️ nationalnursesunited.org/press/caravan-…


A picture of me from January 2020 when the big thing I thought was coming was #MDGA2020. Oh hey, @damian_odoherty! Remember when we talked in person?!

MileahKromer's tweet image. A picture of me from January 2020 when the big thing I thought was coming was #MDGA2020. 

Oh hey, @damian_odoherty! Remember when we talked in person?!

More than 5 hours of public testimony at today's #MDGA2020 Workgroup to address police reform and accountability meeting. Key talking points: repeal LEOBR, repeal the MPIA when it comes to police records and the removal of SRO's from schools. Here is link: youtube.com/watch?v=2Zw76n…

HowardCoSAO's tweet image. More than 5 hours of public testimony at today's #MDGA2020 Workgroup to address police reform and accountability meeting. Key talking points: repeal LEOBR, repeal the MPIA when it comes to police records and the removal of SRO's from schools. Here is link: youtube.com/watch?v=2Zw76n…

I'd like to believe, the relevant illustration of #MDGA2020 super-majority is not CA headlines. It is this, annotated with the relevant article of MD Constitution.

MissMaryPrep's tweet image. I'd like to believe, the relevant illustration of #MDGA2020 super-majority is not CA headlines. It is this, annotated with the relevant article of MD Constitution.

Shifting the cost! How convenient for #MDGA2020

MissMaryPrep's tweet image. Shifting the cost! How convenient for #MDGA2020

What do you think? Please comment on Ellicott City master plan by August 22. Proud to have have worked with @courtneywatson1 to secure $8.25M from the state this year. #teamwork #MDGA2020 #ResilientMD

New post: Plan for Flood-Ravaged Ellicott City Seeks to Balance Environment, Business, History marylandmatters.org/2020/07/24/pla…



ICYMI: You can watch the 2nd meeting of the Maryland House of Delegates Police Reform and Accountability Workgroup from earlier today here: youtu.be/UhgdmW7q6Og. #MDGA2020


Del Anderson Qs answered on holding BPD accountable: 1Legislation can usurp the next collective bargaining agreement. 2Use of force policy is restrictive but no one enforces it oe words on paper #disbandBPD #MDGA2020


Nessun risultato per "#mdga2020"

Today the American Kennel Club held it's annual Canines in the Capital Day! Running from floor to Committee I made a point to stop by and meet all the good bois & girls. ♥️🐕🐾 @akcdoglovers #Cuddles4MD #MDGA2020

RobbynLewis46th's tweet image. Today the American Kennel Club held it's annual Canines in the Capital Day! Running from floor to Committee I made a point to stop by and meet all the good bois & girls. ♥️🐕🐾 @akcdoglovers #Cuddles4MD #MDGA2020
RobbynLewis46th's tweet image. Today the American Kennel Club held it's annual Canines in the Capital Day! Running from floor to Committee I made a point to stop by and meet all the good bois & girls. ♥️🐕🐾 @akcdoglovers #Cuddles4MD #MDGA2020
RobbynLewis46th's tweet image. Today the American Kennel Club held it's annual Canines in the Capital Day! Running from floor to Committee I made a point to stop by and meet all the good bois & girls. ♥️🐕🐾 @akcdoglovers #Cuddles4MD #MDGA2020
RobbynLewis46th's tweet image. Today the American Kennel Club held it's annual Canines in the Capital Day! Running from floor to Committee I made a point to stop by and meet all the good bois & girls. ♥️🐕🐾 @akcdoglovers #Cuddles4MD #MDGA2020

To sign, or not to sign—that is the question. #MDGA2020

riccimike's tweet image. To sign, or not to sign—that is the question. #MDGA2020

Historic session abbreviated by coronavirus: Md. lawmakers speed through 500 bills washingtonpost.com/local/md-polit…



That’s a wrap on #MDGA2020 session! Thank you to our troopers, staff, clerks, and DLS team for all of their hard work.

LukeClippinger's tweet image. That’s a wrap on #MDGA2020 session! Thank you to our troopers, staff, clerks, and DLS team for all of their hard work.

Wonderful moment on the Floor this morning for all of MD's students as #HB1 : Built to Learn Act passes by a vote of 128-6 in the House of Delegates. #MDGA2020 #Working4MD

DelMaggie43's tweet image. Wonderful moment on the Floor this morning for all of MD's students as #HB1 : Built to Learn Act passes by a vote of 128-6 in the House of Delegates. 
#MDGA2020 #Working4MD

In the Judiciary Committee hearing to support HB4. This common sense legislation would close a loophole in MD’s background check process for long guns & would result in tens of thousands of additional background checks. #MDGA2020

SpeakerAJones's tweet image. In the Judiciary Committee hearing to support HB4. This common sense legislation would close a loophole in MD’s background check process for long guns & would result in tens of thousands of additional background checks. #MDGA2020

The Appropriations Committee is holding a DPSCS budget overview and hearing details of the critical understaffing and overtime hours of correctional officers in the State of Maryland. The problem is at crisis proportions, and we need to act now. #MDGA2020 #Working4MD @mddems

DelMaggie43's tweet image. The Appropriations Committee is holding a DPSCS budget overview and hearing details of the critical understaffing and overtime hours of correctional officers in the State of Maryland. The problem is at crisis proportions, and we need to act now. #MDGA2020  #Working4MD @mddems

#Blueprint4MD is a once-in-a-generation plan to revolutionize education in MD. Built on the principle that EVERY child deserves a great school & the best education regardless of their zip code, so they have a chance to compete for the jobs of the future. #MDGA2020 #Working4MD

DelMaggie43's tweet image. #Blueprint4MD is a once-in-a-generation plan to revolutionize education in MD. Built on the principle that EVERY child deserves a great school & the best education regardless of their zip code, so they have a chance to compete for the jobs of the future.
#MDGA2020  #Working4MD

Once a teacher always a teacher. We're making education priority number one in Baltimore County. Great as always to be back on the Larry Young Morning Show on @wolbbaltimore to talk about our 2020 legislative agenda. #mdga2020 #BuiltToLearn

BaltCoExec's tweet image. Once a teacher always a teacher. We're making education priority number one in Baltimore County.

Great as always to be back on the Larry Young Morning Show on @wolbbaltimore to talk about our 2020 legislative agenda. #mdga2020 #BuiltToLearn

As a teacher in Baltimore, a policy advisor on Capitol Hill, & now in Annapolis - fighting for educational opportunity is my passion. I’m honored that @SpeakerAJones has appointed me to this new role! Our kids can't wait. #Working4MD #mdga20 #MDGA2020

jaredssolomon's tweet image. As a teacher in Baltimore, a policy advisor on Capitol Hill, & now in Annapolis - fighting for educational opportunity is my passion. I’m honored that @SpeakerAJones has appointed me to this new role! Our kids can't wait. #Working4MD
#mdga20 #MDGA2020

Governor Hogan has issued a Stay-At-Home order, which will go into effect at 8:00pm *TODAY* Monday, March 30, 2020. The Executive Order, outlining essential businesses and activities, is attached to this tweet and the next tweet. #StayHomeMD #MDGA2020 #COVID19 #Maryland

DylanGoldberg's tweet image. Governor Hogan has issued a Stay-At-Home order, which will go into effect at 8:00pm *TODAY* Monday, March 30, 2020. 

The Executive Order, outlining essential businesses and activities, is attached to this tweet and the next tweet. 

#StayHomeMD #MDGA2020 #COVID19 #Maryland
DylanGoldberg's tweet image. Governor Hogan has issued a Stay-At-Home order, which will go into effect at 8:00pm *TODAY* Monday, March 30, 2020. 

The Executive Order, outlining essential businesses and activities, is attached to this tweet and the next tweet. 

#StayHomeMD #MDGA2020 #COVID19 #Maryland
DylanGoldberg's tweet image. Governor Hogan has issued a Stay-At-Home order, which will go into effect at 8:00pm *TODAY* Monday, March 30, 2020. 

The Executive Order, outlining essential businesses and activities, is attached to this tweet and the next tweet. 

#StayHomeMD #MDGA2020 #COVID19 #Maryland
DylanGoldberg's tweet image. Governor Hogan has issued a Stay-At-Home order, which will go into effect at 8:00pm *TODAY* Monday, March 30, 2020. 

The Executive Order, outlining essential businesses and activities, is attached to this tweet and the next tweet. 

#StayHomeMD #MDGA2020 #COVID19 #Maryland

Just a few of the Governor’s vetoes the House voted to override today: ✅ Qualifying Dreamers for in-state tuition ✅ Restoring our declining oyster population ✅ Banning the Box to expand employment opportunities for returning citizens #MDGA2020 #Working4MD

SpeakerAJones's tweet image. Just a few of the Governor’s vetoes the House voted to override today: 

✅ Qualifying Dreamers for in-state tuition

✅ Restoring our declining oyster population 

✅ Banning the Box to expand employment opportunities for returning citizens

#MDGA2020 #Working4MD

Major Gibson in Annapolis in support of HB252, transferring responsibility for patrolling the City section of I-83 to the Maryland State Police, freeing up Baltimore City Police to focus their efforts in the City. #MDGA2020 #Working4MD

DelMaggie43's tweet image. Major Gibson in Annapolis in support of HB252, transferring responsibility for patrolling the City section of I-83 to the Maryland State Police, freeing up Baltimore City Police to focus their efforts in the City.  #MDGA2020  #Working4MD

House Bill 1 Built to Learn Act is our historic school construction bill to help counties across the state build schools and address maintenance projects, overcrowding and lost classroom time due to inefficient building lacking heat or air conditioning. #MDGA2020 #working4MD

DelMaggie43's tweet image. House Bill 1 Built to Learn Act is our historic school construction bill to help counties across the state build schools and address maintenance projects, overcrowding and lost classroom time due to inefficient building lacking heat or air conditioning. #MDGA2020  #working4MD

The #MDGA2020 crime package will create safer communities in Maryland. Real Accountability 🔔Targeting prosecutions of the most violent offenders Smarter Resources 💡Improving law enforcement coordination Fewer Illegal Guns ⚠️Increasing penalties for lost and stolen guns

LukeClippinger's tweet image. The #MDGA2020 crime package will create safer communities in Maryland.

Real Accountability
🔔Targeting prosecutions of the most violent offenders

Smarter Resources
💡Improving law enforcement coordination

Fewer Illegal Guns
⚠️Increasing penalties for lost and stolen guns

Crime isn’t just a Baltimore City issue -it’s a statewide issue. Our plan will address several strategies including: tougher penalties for witness intimidation, making sure parole and probation agencies have the resources they need, and audits on gun crimes #Working4MD #MDGA2020

DelMaggie43's tweet image. Crime isn’t just a Baltimore City issue -it’s a statewide issue. Our plan will address several strategies including: tougher penalties for witness intimidation, making sure parole and probation agencies have the resources they need, and audits on gun crimes #Working4MD #MDGA2020

A quiet warrior walks among us, often silent about his accomplishments. I am so proud of my district mate Delegate Ben Barnes! Great work on the Blueprint for Maryland's Future. "Education is the platform that makes it possible to defeat all barriers." #education #MDGA2020

JPenaMelnyk's tweet image. A quiet warrior walks among us, often silent about his accomplishments.  I am so proud of my district mate Delegate Ben Barnes!  Great work on the  Blueprint for Maryland's Future.  "Education is the platform that makes it possible to defeat all barriers."  #education #MDGA2020

Working with Senator Guzzone, as the House Appropriations Committee and Senate Budget & Taxation Committee get together for a joint hearing on the Operating Budget this morning. We'll get it done. #MDGA2020 #working4MD

DelMaggie43's tweet image. Working with Senator Guzzone, as the House Appropriations Committee and Senate Budget & Taxation Committee get together for a joint hearing on the Operating Budget this morning. 
We'll get it done.
#MDGA2020  #working4MD

All of us #exonerated in MD have lived a version of this story. While the circumstances of our cases may differ, we all share the experience of #wrongfulconviction. We also share a sense of duty to change the system that unjustly took our freedom bit.ly/2V41U6W #MDGA2020

JusticePolicy's tweet image. All of us #exonerated in MD have lived a version of this story. While the circumstances of our cases may differ, we all share the experience of #wrongfulconviction. We also share a sense of duty to change the system that unjustly took our freedom bit.ly/2V41U6W #MDGA2020

Deborah is today's #BlueprintChampion. She's a parent in Dist. 21, and she's featured on today's Strong Schools All Star Card. “I support the #blueprint4MD because it funds a host of impactful Early Childhood Education programs for my daughter.” #MDGA2020 Thanks Deborah!

StrongSchoolsMD's tweet image. Deborah is today's #BlueprintChampion. She's a parent in Dist. 21, and she's featured on today's Strong Schools All Star Card.

“I support the #blueprint4MD because it funds a host of impactful Early Childhood Education programs for my daughter.” #MDGA2020

Thanks Deborah!

Proud to stand with Dem leaders to announce #MDGA2020 Public Safety Legislative Package, a COMPREHENSIVE approach to reducing crime statewide w/focus on Accountability, Smarter Resources and targeted prosecution, & Juvenile services & Antirecidivism programs. #Working4MD

DelMaggie43's tweet image. Proud to stand with Dem leaders to announce #MDGA2020 Public Safety Legislative Package, a COMPREHENSIVE approach to reducing crime statewide w/focus on Accountability, Smarter Resources and targeted prosecution, & Juvenile services & Antirecidivism programs.
#Working4MD
DelMaggie43's tweet image. Proud to stand with Dem leaders to announce #MDGA2020 Public Safety Legislative Package, a COMPREHENSIVE approach to reducing crime statewide w/focus on Accountability, Smarter Resources and targeted prosecution, & Juvenile services & Antirecidivism programs.
#Working4MD

Loading...

Something went wrong.


Something went wrong.