#monte_carlo_simulation search results

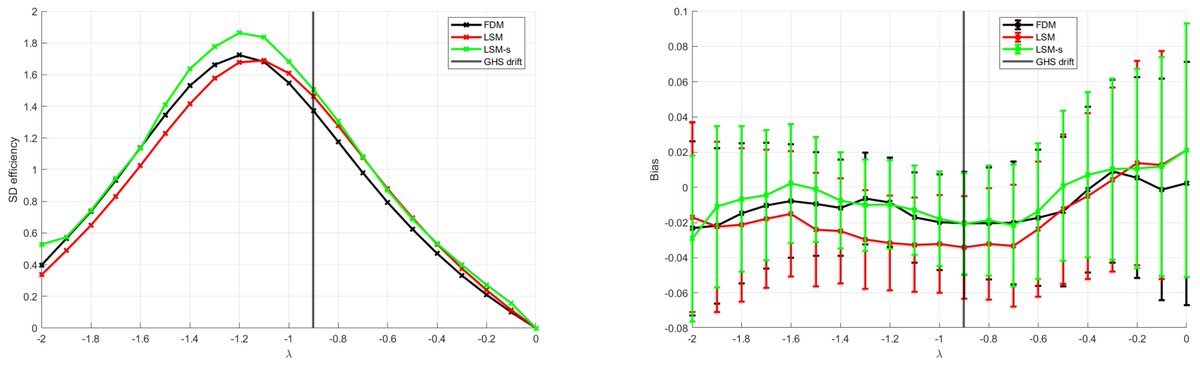
American Option Pricing with Importance Sampling and Shifted Regressions by Francois-Michel Boire, R. Mark Reesor and Lars Stentoft Available at doi.org/10.3390/jrfm14… #American_options #importance_sampling #Monte_Carlo_simulation #shifted_regressions

JRFM_MDPI's tweet image. American Option Pricing with Importance Sampling and Shifted Regressions

by Francois-Michel Boire, R. Mark Reesor and Lars Stentoft

Available at doi.org/10.3390/jrfm14…

#American_options #importance_sampling #Monte_Carlo_simulation #shifted_regressions

Calibrating the Discrete Boundary Conditions of a Dynamic Simulation: A Combinatorial Approximate Bayesian Computation Sequential Monte Carlo (ABC-SMC) Approach mdpi.com/1424-8220/24/1… #Bayesian_inference #Monte_Carlo_simulation

Sensors_MDPI's tweet image. Calibrating the  Discrete Boundary Conditions of a Dynamic Simulation: A Combinatorial  Approximate Bayesian Computation Sequential Monte Carlo (ABC-SMC)  Approach
mdpi.com/1424-8220/24/1…
#Bayesian_inference #Monte_Carlo_simulation

This paper seeks to address some misconceptions in #spatial_statistics, demonstrating that the effective geographic sample size is a valid and useful concept regardless of the inferential basis invoked. 👉📖 brnw.ch/21wPuLX #Monte_Carlo_simulation #random_sampling


[Free Article] Advances in the simulation of light–tissue interactions in biomedical engineering Free access until 21 Jan 2020. #Monte_Carlo_simulation #Biotissue #Light_matter_interaction #Scattering_and_absorbing_media #Springer bit.ly/35UfnjS


Calibrating the Discrete Boundary Conditions of a Dynamic Simulation: A Combinatorial Approximate Bayesian Computation Sequential Monte Carlo (ABC-SMC) Approach mdpi.com/1424-8220/24/1… #Bayesian_inference #Monte_Carlo_simulation

Sensors_MDPI's tweet image. Calibrating the  Discrete Boundary Conditions of a Dynamic Simulation: A Combinatorial  Approximate Bayesian Computation Sequential Monte Carlo (ABC-SMC)  Approach
mdpi.com/1424-8220/24/1…
#Bayesian_inference #Monte_Carlo_simulation

This paper seeks to address some misconceptions in #spatial_statistics, demonstrating that the effective geographic sample size is a valid and useful concept regardless of the inferential basis invoked. 👉📖 brnw.ch/21wPuLX #Monte_Carlo_simulation #random_sampling


American Option Pricing with Importance Sampling and Shifted Regressions by Francois-Michel Boire, R. Mark Reesor and Lars Stentoft Available at doi.org/10.3390/jrfm14… #American_options #importance_sampling #Monte_Carlo_simulation #shifted_regressions

JRFM_MDPI's tweet image. American Option Pricing with Importance Sampling and Shifted Regressions

by Francois-Michel Boire, R. Mark Reesor and Lars Stentoft

Available at doi.org/10.3390/jrfm14…

#American_options #importance_sampling #Monte_Carlo_simulation #shifted_regressions

[Free Article] Advances in the simulation of light–tissue interactions in biomedical engineering Free access until 21 Jan 2020. #Monte_Carlo_simulation #Biotissue #Light_matter_interaction #Scattering_and_absorbing_media #Springer bit.ly/35UfnjS


No results for "#monte_carlo_simulation"

American Option Pricing with Importance Sampling and Shifted Regressions by Francois-Michel Boire, R. Mark Reesor and Lars Stentoft Available at doi.org/10.3390/jrfm14… #American_options #importance_sampling #Monte_Carlo_simulation #shifted_regressions

JRFM_MDPI's tweet image. American Option Pricing with Importance Sampling and Shifted Regressions

by Francois-Michel Boire, R. Mark Reesor and Lars Stentoft

Available at doi.org/10.3390/jrfm14…

#American_options #importance_sampling #Monte_Carlo_simulation #shifted_regressions

Calibrating the Discrete Boundary Conditions of a Dynamic Simulation: A Combinatorial Approximate Bayesian Computation Sequential Monte Carlo (ABC-SMC) Approach mdpi.com/1424-8220/24/1… #Bayesian_inference #Monte_Carlo_simulation

Sensors_MDPI's tweet image. Calibrating the  Discrete Boundary Conditions of a Dynamic Simulation: A Combinatorial  Approximate Bayesian Computation Sequential Monte Carlo (ABC-SMC)  Approach
mdpi.com/1424-8220/24/1…
#Bayesian_inference #Monte_Carlo_simulation

Loading...

Something went wrong.


Something went wrong.


United States Trends