#opensimroot search results

Received a complimentary physical copy of a book chapter I wrote with @MarkusOwenMMB, @j_a_postma, Christian Kuppe, @infotroph and Jonathan P. Lynch. I think it came out looking really nice! Hope it's useful to all aspiring #OpenSimRoot users!

schafer_ernst's tweet image. Received a complimentary physical copy of a book chapter I wrote with @MarkusOwenMMB, @j_a_postma, Christian Kuppe, @infotroph and Jonathan P. Lynch. I think it came out looking really nice! Hope it's useful to all aspiring #OpenSimRoot users!
schafer_ernst's tweet image. Received a complimentary physical copy of a book chapter I wrote with @MarkusOwenMMB, @j_a_postma, Christian Kuppe, @infotroph and Jonathan P. Lynch. I think it came out looking really nice! Hope it's useful to all aspiring #OpenSimRoot users!
schafer_ernst's tweet image. Received a complimentary physical copy of a book chapter I wrote with @MarkusOwenMMB, @j_a_postma, Christian Kuppe, @infotroph and Jonathan P. Lynch. I think it came out looking really nice! Hope it's useful to all aspiring #OpenSimRoot users!

Want to learn how to use #OpenSimRoot (or any of the other excellent models which will be featured) to simulate plants in 3D like in this video? Join the #CropsInSilico symposium & hackathon on Wednesday! cropsinsilico.org/2022-annual-me…


Une étude utilisant le modèle #OpenSimRoot a identifié des traits racinaires spécifiques qui améliorent la croissance du mil.Ces innovations pourraient augmenter la production de biomasse,offrant des perspectives pour améliorer les rendements. Voir plus👉🏾 bit.ly/3VzDxLW

isra_ceraas's tweet image. Une étude utilisant le modèle #OpenSimRoot a identifié des traits racinaires spécifiques qui améliorent la croissance du mil.Ces innovations pourraient augmenter la production de biomasse,offrant des perspectives pour améliorer les rendements.

Voir plus👉🏾 bit.ly/3VzDxLW
isra_ceraas's tweet image. Une étude utilisant le modèle #OpenSimRoot a identifié des traits racinaires spécifiques qui améliorent la croissance du mil.Ces innovations pourraient augmenter la production de biomasse,offrant des perspectives pour améliorer les rendements.

Voir plus👉🏾 bit.ly/3VzDxLW

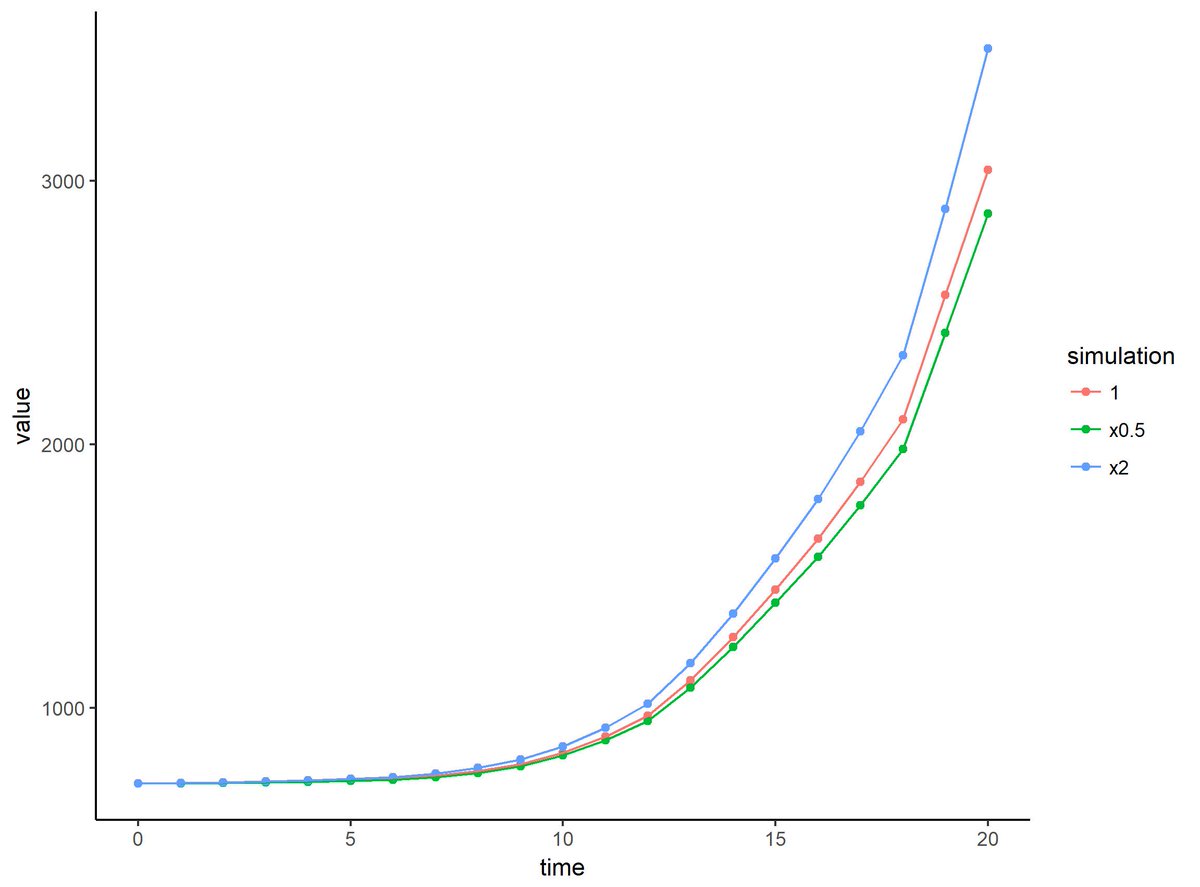
Following the previous tweet, this is the difference in nitrate uptake for the bean when you change the initial nitrate concentration in the soil ! #OpenSimRoot

biomodelisation's tweet image. Following the previous tweet,
 this is the difference in nitrate uptake for the bean when you change the initial nitrate concentration in the soil !
#OpenSimRoot

An example of research with #OpenSimRoot buff.ly/2nMdoNu


Here are the visual results of the comparative simulation of a bean root system with 3 modules of nitrate in #OpenSimRoot: - Basic - Barber-Cushman - SWMS (3D) The graphs will follow on Thursday

biomodelisation's tweet image. Here are the visual results of the comparative simulation of a bean root system with 3 modules of nitrate in #OpenSimRoot:
- Basic
- Barber-Cushman
- SWMS (3D)
The graphs will follow on Thursday

Very happy to have our paper on the utility of different maize root phenotypes under drought out. Sometimes fewer roots is better! Includes a big update to OSR! frontiersin.org/articles/10.33… Big thanks to Ishan Ajmera, @MarkusOwenMMB, @leah_band, @etienne_farcot and Jonathan Lynch.



@j_a_postma from @IBG2Plant gives a talk to early career scientists learning about mathematical modeling plant roots using #opensimroot, @RootScientists @I_P_P_N workshop hosted by @LarryMattYork in USA

Dr. Postma further develops the root spaghetti model @fz_juelich #IPPNrootphenotyping #model

SaoirseT's tweet image. Dr. Postma further develops the root spaghetti model @fz_juelich #IPPNrootphenotyping #model


#FSPM #OpenSimRoot used to evaluate the impacts of seminal root number and other components of maize and teosinte phenotypes on nitrogen and phosphorus acquisition

This post is unavailable.

@IBG2Plant Johannes Postma and Christian Kuppe further developing #OpenSimRoot for plant scientists see publication for full aspects of root model nph.onlinelibrary.wiley.com/doi/full/10.11…


Great job @schafer_ernst !!! Nice to see this out, representing a huge amount of work from Ernst, with more to come! #OpenSimRoot Thanks to co-authors @leah_band @etienne_farcot Malcolm and Jonathan, and to @UoN_MASS @LeverhulmeTrust for funding.

Modelling root loss reveals impacts on nutrient uptake and crop development (Ernst D Schäfer, Markus R Owen, Leah R Band, Etienne Farcot, Malcolm J Bennett, Jonathan P Lynch) buff.ly/3wMQdnf @ASPB #PlantSci

PlantPhys's tweet image. Modelling root loss reveals impacts on nutrient uptake and crop development (Ernst D Schäfer, Markus R Owen, Leah R Band, Etienne Farcot, Malcolm J Bennett, Jonathan P Lynch) buff.ly/3wMQdnf @ASPB #PlantSci


Just finished video-call with @schafer_ernst @leah_band @etienne_farcot shortly before Ernst hands in his @UoN_MASS PhD thesis on modelling root systems using #OpenSimRoot It has been a pleasure to supervise Ernst, and ending this way was a real wrench.


Une étude utilisant le modèle #OpenSimRoot a identifié des traits racinaires spécifiques qui améliorent la croissance du mil.Ces innovations pourraient augmenter la production de biomasse,offrant des perspectives pour améliorer les rendements. Voir plus👉🏾 bit.ly/3VzDxLW

isra_ceraas's tweet image. Une étude utilisant le modèle #OpenSimRoot a identifié des traits racinaires spécifiques qui améliorent la croissance du mil.Ces innovations pourraient augmenter la production de biomasse,offrant des perspectives pour améliorer les rendements.

Voir plus👉🏾 bit.ly/3VzDxLW
isra_ceraas's tweet image. Une étude utilisant le modèle #OpenSimRoot a identifié des traits racinaires spécifiques qui améliorent la croissance du mil.Ces innovations pourraient augmenter la production de biomasse,offrant des perspectives pour améliorer les rendements.

Voir plus👉🏾 bit.ly/3VzDxLW

Very happy to have our paper on the utility of different maize root phenotypes under drought out. Sometimes fewer roots is better! Includes a big update to OSR! frontiersin.org/articles/10.33… Big thanks to Ishan Ajmera, @MarkusOwenMMB, @leah_band, @etienne_farcot and Jonathan Lynch.



Great job @schafer_ernst !!! Nice to see this out, representing a huge amount of work from Ernst, with more to come! #OpenSimRoot Thanks to co-authors @leah_band @etienne_farcot Malcolm and Jonathan, and to @UoN_MASS @LeverhulmeTrust for funding.

Modelling root loss reveals impacts on nutrient uptake and crop development (Ernst D Schäfer, Markus R Owen, Leah R Band, Etienne Farcot, Malcolm J Bennett, Jonathan P Lynch) buff.ly/3wMQdnf @ASPB #PlantSci

PlantPhys's tweet image. Modelling root loss reveals impacts on nutrient uptake and crop development (Ernst D Schäfer, Markus R Owen, Leah R Band, Etienne Farcot, Malcolm J Bennett, Jonathan P Lynch) buff.ly/3wMQdnf @ASPB #PlantSci


Want to learn how to use #OpenSimRoot (or any of the other excellent models which will be featured) to simulate plants in 3D like in this video? Join the #CropsInSilico symposium & hackathon on Wednesday! cropsinsilico.org/2022-annual-me…


Received a complimentary physical copy of a book chapter I wrote with @MarkusOwenMMB, @j_a_postma, Christian Kuppe, @infotroph and Jonathan P. Lynch. I think it came out looking really nice! Hope it's useful to all aspiring #OpenSimRoot users!

schafer_ernst's tweet image. Received a complimentary physical copy of a book chapter I wrote with @MarkusOwenMMB, @j_a_postma, Christian Kuppe, @infotroph and Jonathan P. Lynch. I think it came out looking really nice! Hope it's useful to all aspiring #OpenSimRoot users!
schafer_ernst's tweet image. Received a complimentary physical copy of a book chapter I wrote with @MarkusOwenMMB, @j_a_postma, Christian Kuppe, @infotroph and Jonathan P. Lynch. I think it came out looking really nice! Hope it's useful to all aspiring #OpenSimRoot users!
schafer_ernst's tweet image. Received a complimentary physical copy of a book chapter I wrote with @MarkusOwenMMB, @j_a_postma, Christian Kuppe, @infotroph and Jonathan P. Lynch. I think it came out looking really nice! Hope it's useful to all aspiring #OpenSimRoot users!

#FSPM #OpenSimRoot used to evaluate the impacts of seminal root number and other components of maize and teosinte phenotypes on nitrogen and phosphorus acquisition

This post is unavailable.

Just finished video-call with @schafer_ernst @leah_band @etienne_farcot shortly before Ernst hands in his @UoN_MASS PhD thesis on modelling root systems using #OpenSimRoot It has been a pleasure to supervise Ernst, and ending this way was a real wrench.


@j_a_postma from @IBG2Plant gives a talk to early career scientists learning about mathematical modeling plant roots using #opensimroot, @RootScientists @I_P_P_N workshop hosted by @LarryMattYork in USA

Dr. Postma further develops the root spaghetti model @fz_juelich #IPPNrootphenotyping #model

SaoirseT's tweet image. Dr. Postma further develops the root spaghetti model @fz_juelich #IPPNrootphenotyping #model


@IBG2Plant Johannes Postma and Christian Kuppe further developing #OpenSimRoot for plant scientists see publication for full aspects of root model nph.onlinelibrary.wiley.com/doi/full/10.11…


Following the previous tweet, this is the difference in nitrate uptake for the bean when you change the initial nitrate concentration in the soil ! #OpenSimRoot

biomodelisation's tweet image. Following the previous tweet,
 this is the difference in nitrate uptake for the bean when you change the initial nitrate concentration in the soil !
#OpenSimRoot

Here are the visual results of the comparative simulation of a bean root system with 3 modules of nitrate in #OpenSimRoot: - Basic - Barber-Cushman - SWMS (3D) The graphs will follow on Thursday

biomodelisation's tweet image. Here are the visual results of the comparative simulation of a bean root system with 3 modules of nitrate in #OpenSimRoot:
- Basic
- Barber-Cushman
- SWMS (3D)
The graphs will follow on Thursday

An example of research with #OpenSimRoot buff.ly/2nMdoNu


No results for "#opensimroot"

Received a complimentary physical copy of a book chapter I wrote with @MarkusOwenMMB, @j_a_postma, Christian Kuppe, @infotroph and Jonathan P. Lynch. I think it came out looking really nice! Hope it's useful to all aspiring #OpenSimRoot users!

schafer_ernst's tweet image. Received a complimentary physical copy of a book chapter I wrote with @MarkusOwenMMB, @j_a_postma, Christian Kuppe, @infotroph and Jonathan P. Lynch. I think it came out looking really nice! Hope it's useful to all aspiring #OpenSimRoot users!
schafer_ernst's tweet image. Received a complimentary physical copy of a book chapter I wrote with @MarkusOwenMMB, @j_a_postma, Christian Kuppe, @infotroph and Jonathan P. Lynch. I think it came out looking really nice! Hope it's useful to all aspiring #OpenSimRoot users!
schafer_ernst's tweet image. Received a complimentary physical copy of a book chapter I wrote with @MarkusOwenMMB, @j_a_postma, Christian Kuppe, @infotroph and Jonathan P. Lynch. I think it came out looking really nice! Hope it's useful to all aspiring #OpenSimRoot users!

Following the previous tweet, this is the difference in nitrate uptake for the bean when you change the initial nitrate concentration in the soil ! #OpenSimRoot

biomodelisation's tweet image. Following the previous tweet,
 this is the difference in nitrate uptake for the bean when you change the initial nitrate concentration in the soil !
#OpenSimRoot

Une étude utilisant le modèle #OpenSimRoot a identifié des traits racinaires spécifiques qui améliorent la croissance du mil.Ces innovations pourraient augmenter la production de biomasse,offrant des perspectives pour améliorer les rendements. Voir plus👉🏾 bit.ly/3VzDxLW

isra_ceraas's tweet image. Une étude utilisant le modèle #OpenSimRoot a identifié des traits racinaires spécifiques qui améliorent la croissance du mil.Ces innovations pourraient augmenter la production de biomasse,offrant des perspectives pour améliorer les rendements.

Voir plus👉🏾 bit.ly/3VzDxLW
isra_ceraas's tweet image. Une étude utilisant le modèle #OpenSimRoot a identifié des traits racinaires spécifiques qui améliorent la croissance du mil.Ces innovations pourraient augmenter la production de biomasse,offrant des perspectives pour améliorer les rendements.

Voir plus👉🏾 bit.ly/3VzDxLW

Here are the visual results of the comparative simulation of a bean root system with 3 modules of nitrate in #OpenSimRoot: - Basic - Barber-Cushman - SWMS (3D) The graphs will follow on Thursday

biomodelisation's tweet image. Here are the visual results of the comparative simulation of a bean root system with 3 modules of nitrate in #OpenSimRoot:
- Basic
- Barber-Cushman
- SWMS (3D)
The graphs will follow on Thursday

An example of research with #OpenSimRoot buff.ly/2nMdoNu


Loading...

Something went wrong.


Something went wrong.