#preboardpapers search results

Together with CBSE Class 12 Physics Pariksha Pre-Board Papers for Exam 2025 - buff.ly/3ZKZx91 #exam #cbse #preboardpapers #physics #papers #exam

IdealbookIndia's tweet image. Together with CBSE Class 12 Physics Pariksha Pre-Board Papers for Exam 2025 - buff.ly/3ZKZx91

#exam #cbse #preboardpapers #physics #papers #exam

Exam Tips puchoge; Exam Experience denge. Practice ‘Together with’ CBSE Pariksha #PreBoardPapers for #2023BoardExams to Always be on Top in All Ways. Grab your copies NOW. #RSPL #RachnaSagar #billboard #Billboardtrend #Trending #Trendingmeme #trend #memes #newtrend #books

rachnasagargrp's tweet image. Exam Tips puchoge; Exam Experience denge. 

Practice ‘Together with’ CBSE Pariksha #PreBoardPapers for #2023BoardExams to Always be on Top in All Ways.

Grab your copies NOW.

#RSPL #RachnaSagar  #billboard #Billboardtrend #Trending #Trendingmeme #trend #memes #newtrend #books

Check your Exam-Readiness!!! Board Exams are hovering overhead & it’s High Time to practice best study resource- ‘Together with CBSE PARIKSHA Pre Board Papers 2025. Grab the copies on rachnasagar.in . . #StudySmart #Referencebooks #PreBoardPapers #RachnaSagar


📝 KBC- Kaise Badhega Confidence for EXAMS?🤔🏆 It’s the Time to lock your answer & opt for the best to ace Board exams. ‘Together with’ #CBSEPariksha to experience the real exam before the big day. Order Now on rachnasagar.in . . #BoardReady #PreBoardPapers #Topper


‘Together with’ CBSE Pariksha for Grades 10 & 12! Attempt “PRE-Board Papers” for “POST-Board Success” Celebrations. Grab the copies on bit.ly/3TZ0aKv . . #CBSE #Pariksha #PreBoardPapers #PostBoardSuccess #Grades10and12 #RSPL #RachnaSagar

rachnasagargrp's tweet image. ‘Together with’ CBSE Pariksha for Grades 10 & 12!

Attempt “PRE-Board Papers” for “POST-Board Success” Celebrations. 

Grab the copies on bit.ly/3TZ0aKv
.
.
#CBSE #Pariksha #PreBoardPapers #PostBoardSuccess #Grades10and12 #RSPL #RachnaSagar

Taking the preboards is not a requirement for you to pass the board exams. However, it will definitely help you prepare mentally and emotionally. It is just an assessment tool, kaya the most important thing is to learn from it. Bigay niyo lang best niyo! God bless! ♥️😊✊🏻


Anuman ang resulta ng preboard/mockboard mo during review, wag sana itong maging dahilan para maging over confident ka o magworry ka sa board exam. Sinasabi ko sa’yo, ibang-iba ang actual board exam. Maaaring mas madali o mas mahirap. Kaya wag mapanghinaan ng loob ha? Papasa ka!


#MAS CASELET from previous preboard ANSWERS #3. D #4. B #5. B kayo nalang po magpalabas ng sagot 👌🏻😊 Happy study 3days before FINAL PRE-BOARD

yuricpa2025's tweet image. #MAS CASELET from previous preboard

ANSWERS
#3. D  #4. B  #5. B

kayo nalang po magpalabas ng sagot 👌🏻😊 Happy study
3days before FINAL PRE-BOARD

Here are my suggested preweek materials na dapat mapasadahan before boards. MS - RESA/REO AUD- Pinnacle/CPAR TAX- RESA/Pinnacle RFBT- RESA/ICARE!!! FAR- CPAR!!! AFAR- CPAR!!!

***This is from a POV of a repeater and material hoarder*** Make sure you utilize your RC materials most especially preweek materials. Choose your materials wisely. 👌

jrpgcpa's tweet image. ***This is from a POV of a repeater and material hoarder***
Make sure you utilize your RC materials most especially preweek materials. Choose your materials wisely. 👌


📝 KBC- Kaise Badhega Confidence for EXAMS?🤔🏆 It’s the Time to lock your answer & opt for the best to ace Board exams. ‘Together with’ #CBSEPariksha to experience the real exam before the big day. Order Now on rachnasagar.in . . #BoardReady #PreBoardPapers #Topper


how to cover preboards coverage in 2 weeks-


Check your Exam-Readiness!!! Board Exams are hovering overhead & it’s High Time to practice best study resource- ‘Together with CBSE PARIKSHA Pre Board Papers 2025. Grab the copies on rachnasagar.in . . #StudySmart #Referencebooks #PreBoardPapers #RachnaSagar


CPA Review Tips: Preboards are assessment tools. Do not be discouraged by its results. Instead, use them to identify the topics that you still need to reinforce. Hindi ka naman makakaabot sa pagtake ng final preboard kung hindi kaloob ng Panginoon na maging CPA ka. God bless.


CPA Review Tips: To those who are discouraged to take the preboards, please take the preboards. Those preboards are intended to simulate the actual CPALE. By taking preboards, you will have idea of what it feels to take actual CPALE. So please take the preboards. God bless.


The value of the preboards does not come from your score, but rather from what you learned from the results. Kahit ano pa ang score mo, as long as you are learning, you are not failing. Whatever happens, you have proved that you are deserving of the title. 😊♥️


Sir Brad, mababa ako sa preboards. Any advice? Reanswer your mistakes; put more effort on your weak subjects moving forward. Preboards are intended to be harder than actual boards. Nothing to worry. Maraming bagsak sa preboards ang pasado sa actual boards. Tuloy ang laban.


Even if you haven't finished studying for the coverage, it is still okay to take the Pre-Board Exam. Just manage your expectations. The exercise is still helpful in assessing how prepared you are and what else you need to do to catch up. Rooting for you! 💙💛


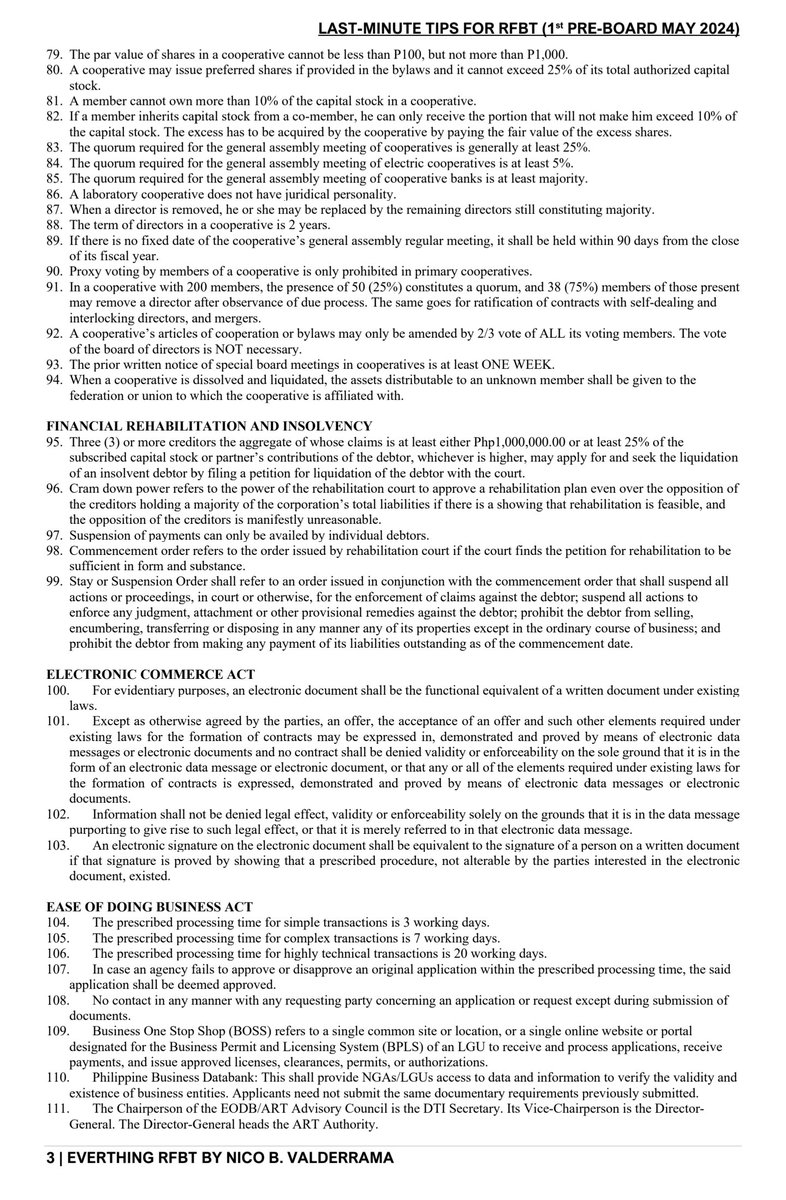
Last-minute tips for 1st Pre-Board 💙💛 Partnerships, Corporations, Cooperatives, FRIA, Electronic Commerce, Ease of Doing Business, Intellectual Property, and Data Privacy

nbvneverquits's tweet image. Last-minute tips for 1st Pre-Board 💙💛

Partnerships, Corporations, Cooperatives, FRIA, Electronic Commerce, Ease of Doing Business, Intellectual Property, and Data Privacy
nbvneverquits's tweet image. Last-minute tips for 1st Pre-Board 💙💛

Partnerships, Corporations, Cooperatives, FRIA, Electronic Commerce, Ease of Doing Business, Intellectual Property, and Data Privacy
nbvneverquits's tweet image. Last-minute tips for 1st Pre-Board 💙💛

Partnerships, Corporations, Cooperatives, FRIA, Electronic Commerce, Ease of Doing Business, Intellectual Property, and Data Privacy
nbvneverquits's tweet image. Last-minute tips for 1st Pre-Board 💙💛

Partnerships, Corporations, Cooperatives, FRIA, Electronic Commerce, Ease of Doing Business, Intellectual Property, and Data Privacy

‘Together with’ CBSE Pariksha for Grades 10 & 12! Attempt “PRE-Board Papers” for “POST-Board Success” Celebrations. Grab the copies on bit.ly/3TZ0aKv . . #CBSE #Pariksha #PreBoardPapers #PostBoardSuccess #Grades10and12 #RSPL #RachnaSagar

rachnasagargrp's tweet image. ‘Together with’ CBSE Pariksha for Grades 10 & 12!

Attempt “PRE-Board Papers” for “POST-Board Success” Celebrations. 

Grab the copies on bit.ly/3TZ0aKv
.
.
#CBSE #Pariksha #PreBoardPapers #PostBoardSuccess #Grades10and12 #RSPL #RachnaSagar

Sir Brad, bagsak ako sa Preboards. Any advice? Preboards are intended to be harder than the actual boards. Reanswer your mistakes, revisit the related topics, move on, then proceed to the second half of review. Maraming pumapasa sa CPALE na bagsak sa Preboards.


✨ How I prepared for 1st Preboards (3 weeks before 1st PB) ✨


Things to bring during boards: 🔸NOA 🔸No. 2 pencil 🔸Black ballpen 🔸Sharpener 🔸Brown envelope 🔸Clear envelope 🔸Meds (e.g. Paracetamol, PPIs, antacids) 🔸Baon good for 2 breaks 🔸Tissue 🔸Scrunchie or any tali for the hair 🔸Extra mask Prepare this night before🌻


No results for "#preboardpapers"

Exam Tips puchoge; Exam Experience denge. Practice ‘Together with’ CBSE Pariksha #PreBoardPapers for #2023BoardExams to Always be on Top in All Ways. Grab your copies NOW. #RSPL #RachnaSagar #billboard #Billboardtrend #Trending #Trendingmeme #trend #memes #newtrend #books

rachnasagargrp's tweet image. Exam Tips puchoge; Exam Experience denge. 

Practice ‘Together with’ CBSE Pariksha #PreBoardPapers for #2023BoardExams to Always be on Top in All Ways.

Grab your copies NOW.

#RSPL #RachnaSagar  #billboard #Billboardtrend #Trending #Trendingmeme #trend #memes #newtrend #books

Together with CBSE Class 12 Physics Pariksha Pre-Board Papers for Exam 2025 - buff.ly/3ZKZx91 #exam #cbse #preboardpapers #physics #papers #exam

IdealbookIndia's tweet image. Together with CBSE Class 12 Physics Pariksha Pre-Board Papers for Exam 2025 - buff.ly/3ZKZx91

#exam #cbse #preboardpapers #physics #papers #exam

‘Together with’ CBSE Pariksha for Grades 10 & 12! Attempt “PRE-Board Papers” for “POST-Board Success” Celebrations. Grab the copies on bit.ly/3TZ0aKv . . #CBSE #Pariksha #PreBoardPapers #PostBoardSuccess #Grades10and12 #RSPL #RachnaSagar

rachnasagargrp's tweet image. ‘Together with’ CBSE Pariksha for Grades 10 & 12!

Attempt “PRE-Board Papers” for “POST-Board Success” Celebrations. 

Grab the copies on bit.ly/3TZ0aKv
.
.
#CBSE #Pariksha #PreBoardPapers #PostBoardSuccess #Grades10and12 #RSPL #RachnaSagar

Loading...

Something went wrong.


Something went wrong.


United States Trends