#rtpc search results

This Golf R decided to cut up an unmarked traffic car on the A406 Barking reaching speeds of over 110mph. The smoke is from the brakes five minutes after it was stopped! Driver reported for dangerous driving #TDJ #RTPC #metpolice

wickofwar83's tweet image. This Golf R decided to cut up an unmarked traffic car on the A406 Barking reaching speeds of over 110mph. The smoke is from the brakes five minutes after it was stopped! Driver reported for dangerous driving #TDJ #RTPC #metpolice

#WestArea #NorthWest #RTPC and #VRES @MPSSpecials were on a cross border proactive Op last night with the West Area PC Coordinator targeting catalytic converter and burglary offences. This targeted activity will continue for the month of November. 🚔👮🏽

MPSSpecials's tweet image. #WestArea #NorthWest #RTPC and #VRES @MPSSpecials were on a cross border proactive Op last night with the West Area PC Coordinator targeting catalytic converter and burglary offences.

This targeted activity will continue for the month of November. 🚔👮🏽

Recovered within 10 minutes of being stolen in Essex after a short pursuit - one in custody #RTPC #trackstar #metpolice #tdj #essexpolice

wickofwar83's tweet image. Recovered within 10 minutes of being stolen in Essex after a short pursuit - one in custody  #RTPC #trackstar #metpolice #tdj #essexpolice

I talked about evolution of Asia Pacific connectivity through infra regional RTAs at the ⁦@wto⁩ 2018 #RTPC in Bangkok


#TowerHamlets Task Team Officers arrested a man with this knife whilst driving a moped, Now off of London Streets and in custody #RTPC assisting to reduce violent crime.

MPSTowerHam's tweet image. #TowerHamlets Task Team Officers arrested a man with this knife whilst driving a moped, Now off of London Streets and in custody #RTPC assisting to reduce violent crime.

#TowerHamlets update from yesterday’s arrest 18yr old male charged with possession of this weapon and drugs NOT released sent direct to court #RTPC Tackling violet crime

MPSTowerHam's tweet image. #TowerHamlets update from yesterday’s arrest 18yr old male charged with possession of this weapon and drugs NOT released sent direct to court #RTPC Tackling violet crime

#TowerHamlets Safer Transport Officers are in Sutton Street E1 for Community Road Watch #RTPC

MPSTowerHam's tweet image. #TowerHamlets Safer Transport Officers are in Sutton Street E1 for Community Road Watch #RTPC

NW10 car / bike meet. This vehicle was seized for No Insurance and driver reported. #RTPC #TDJ

DetSgt_BlackRat's tweet image. NW10 car / bike meet. This vehicle was seized for No Insurance and driver reported. #RTPC #TDJ

#TowerHamlets STT Officers are at Bow Roundabout giving out free Bike lights please come along and get your freebie before they all go #RTPC

MPSTowerHam's tweet image. #TowerHamlets STT Officers are at Bow Roundabout giving out free Bike lights please come along and get your freebie before they all go #RTPC
MPSTowerHam's tweet image. #TowerHamlets STT Officers are at Bow Roundabout giving out free Bike lights please come along and get your freebie before they all go #RTPC
MPSTowerHam's tweet image. #TowerHamlets STT Officers are at Bow Roundabout giving out free Bike lights please come along and get your freebie before they all go #RTPC

#Towerhamlets STT Officers were out today in Wapping Lane E1 with community road watch slowing down drivers #RTPC

MPSTowerHam's tweet image. #Towerhamlets STT Officers were out today in Wapping Lane E1 with community road watch slowing down drivers #RTPC
MPSTowerHam's tweet image. #Towerhamlets STT Officers were out today in Wapping Lane E1 with community road watch slowing down drivers #RTPC

#SMV : This Range Rover Evoque was spotted parked up during proactive patrols in @MPSRedbridge & instantly stood out to my Eagle eyed #RTPC colleague. It had been stolen less than 24 hours ago, and is now back with its very relieved owner. #eastRPU #TDJ #AlwaysHunting

_11ZERO3_'s tweet image. #SMV : This Range Rover Evoque was spotted parked up during proactive patrols in @MPSRedbridge & instantly stood out to my Eagle eyed #RTPC colleague. It had been stolen less than 24 hours ago, and is now back with its very relieved owner.
#eastRPU #TDJ #AlwaysHunting

NW10 car / bike meet. The driver of this vehicle provided a positive road side drug test and was subsequently arrested under S5a RTA 1988 (Driving under influence of Drugs). #RTPC #TDJ

DetSgt_BlackRat's tweet image. NW10 car / bike meet. The driver of this vehicle provided a positive road side drug test and was subsequently arrested under S5a RTA 1988 (Driving under influence of Drugs). #RTPC #TDJ

Vehicle attempts to evade police. Failed to evade Raptor units. With the help of our k9 friend we recovered cannabis. The driver arrested for failing a roadside drugs test. #Raptors #metpolice #rtpc @MPSRTPC

RatSergeant's tweet image. Vehicle attempts to evade police. Failed to evade Raptor units. With the help of our k9 friend we recovered cannabis. The driver arrested for failing a roadside drugs test. #Raptors #metpolice #rtpc @MPSRTPC

The participants in the Regional Trade Policy Course (#RTPC) that is taking place in #TrinidadandTobago have enjoyed a professional visit – See the pictures here!

wtoelearning's tweet image. The participants in the Regional Trade Policy Course (#RTPC) that is taking place in #TrinidadandTobago have enjoyed a professional visit – See the pictures here!
wtoelearning's tweet image. The participants in the Regional Trade Policy Course (#RTPC) that is taking place in #TrinidadandTobago have enjoyed a professional visit – See the pictures here!
wtoelearning's tweet image. The participants in the Regional Trade Policy Course (#RTPC) that is taking place in #TrinidadandTobago have enjoyed a professional visit – See the pictures here!
wtoelearning's tweet image. The participants in the Regional Trade Policy Course (#RTPC) that is taking place in #TrinidadandTobago have enjoyed a professional visit – See the pictures here!

#TowerHamlets Suspect arrested today at Aldgate on a route 25 bus by Central East STT Officers working in plain clothes. Suspect wanted in connection with an allegation of sexual assault on the bus network #RTPC

MPSTowerHam's tweet image. #TowerHamlets Suspect arrested today at Aldgate on a route 25 bus by Central East STT Officers working in plain clothes. Suspect wanted in connection with an allegation of sexual assault on the bus network #RTPC

#TowerHamlets A very large knife 🔪 has been found and removed from the streets of Tower Hamlets the knife was found by STT Team 4 Officers #RTPC #StopKnifeCrime

MPSTowerHam's tweet image. #TowerHamlets A very large knife 🔪 has been found and removed from the streets of Tower Hamlets the knife was found by STT Team 4 Officers #RTPC #StopKnifeCrime
MPSTowerHam's tweet image. #TowerHamlets A very large knife 🔪 has been found and removed from the streets of Tower Hamlets the knife was found by STT Team 4 Officers #RTPC #StopKnifeCrime

Recently trained advanced driver has popped his pursuit 🍒 tonight and what a way to do it, Mercedes AMG C63. Uninsured too, driver arrested #mercedestoomuchcarnotenoughdriver #TDJ #RTPC #speeding

BlueRocket77's tweet image. Recently trained advanced driver has popped his pursuit 🍒 tonight and what a way to do it, Mercedes AMG C63. Uninsured too, driver arrested #mercedestoomuchcarnotenoughdriver #TDJ #RTPC #speeding

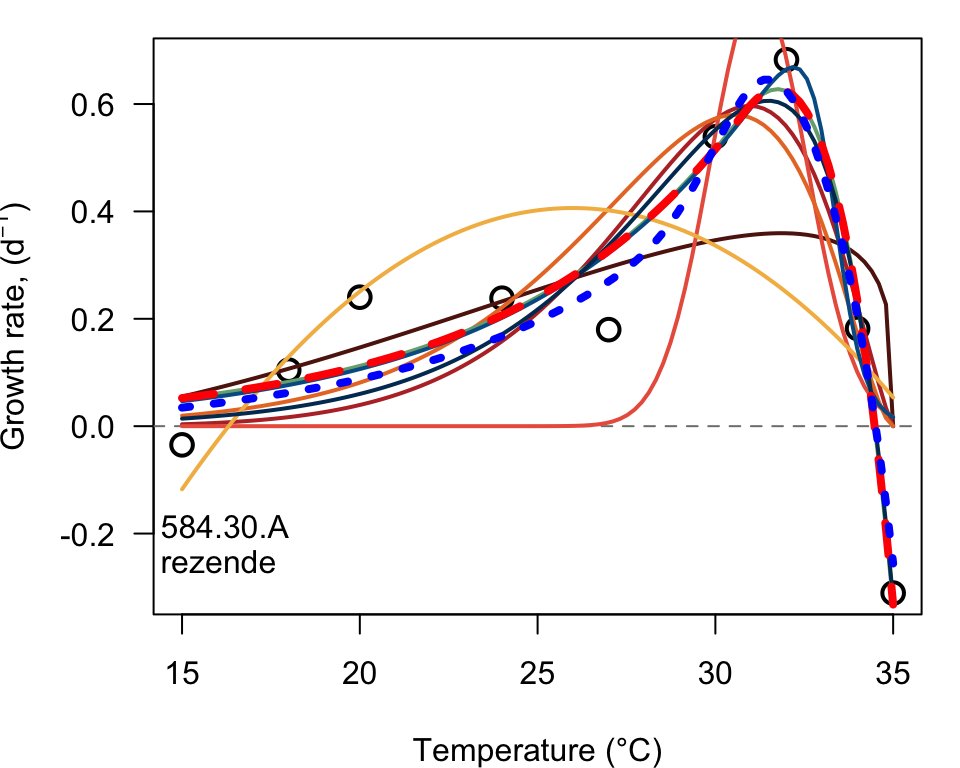
Thanks to the #rTPC package and especially Nyssa Silbiger, have got a more robust fitting algorithm! #figaday 3.333/n #year3

mixotrophe's tweet image. Thanks to the #rTPC package and especially Nyssa Silbiger, have got a more robust fitting algorithm! #figaday 3.333/n #year3

Avoid A406 n/b around the Ilford Hill area - long tail backs due to broken down HGV in lanes 1 & 2 #rtpc #metpolice #redbridge

wickofwar83's tweet image. Avoid A406 n/b around the Ilford Hill area - long tail backs due to broken down HGV in lanes 1 & 2 #rtpc #metpolice #redbridge

RTPC utilizing their spikes to bring a pursuit to an end! #RTPC #PoliceMP #GTA5 #FiveM #GTARP

PoliceMP6's tweet image. RTPC utilizing their spikes to bring a pursuit to an end! #RTPC #PoliceMP #GTA5 #FiveM #GTARP

Roads Policing MATRIX (MVET) Officers spotted dealing with a high performance vehicle in London! #MATRIX #MVET #RTPC #MET #PoliceMP #FiveM #FivemRP #FiveMRolePlay #GTA5 #GTAOnline #GTA #GTAV #RolePlay #FiveMHighlights #FiveMGTA #GTARP #Online #GrandTheftAuto

PoliceMP6's tweet image. Roads Policing MATRIX (MVET) Officers spotted dealing with a high performance vehicle in London! #MATRIX #MVET #RTPC #MET #PoliceMP #FiveM #FivemRP #FiveMRolePlay #GTA5 #GTAOnline #GTA #GTAV #RolePlay #FiveMHighlights #FiveMGTA #GTARP #Online #GrandTheftAuto

Our ERT Speed Enforcement Team & RTPC Officers keeping London's Road Networks safe from speeding drivers! (📸Lewis) #SlowDown #ERT #RTPC #PoliceMP #FiveM #FivemRP #FiveMRolePlay #GTA5 #GTAOnline #GTA #GTAV #RolePlay #FiveMHighlights #FiveMGTA #GTARP #Online #GrandTheftAuto

PoliceMP6's tweet image. Our ERT Speed Enforcement Team & RTPC Officers keeping London's Road Networks safe from speeding drivers! (📸Lewis) #SlowDown #ERT #RTPC #PoliceMP #FiveM #FivemRP #FiveMRolePlay #GTA5 #GTAOnline #GTA #GTAV #RolePlay #FiveMHighlights #FiveMGTA #GTARP #Online #GrandTheftAuto

Apply for a ride along with our roads and traffic police command. follow the link below for the application and more information met.police.uk/advice/advice-… #ridealong #metpolice #rtpc

MPSRTPC's tweet image. Apply for a ride along with our roads and traffic police command.

follow the link below for the application and more information

met.police.uk/advice/advice-…

#ridealong #metpolice #rtpc

Following a tracker activation this morning, OS31E along with S1E were able to locate this motorhome which was stolen on 12.07.2023. Now safely back with its rightful owner. #vehicletracker #SouthEastRPTB2 #RTPC

MPSRTPC's tweet image. Following a tracker activation this morning, OS31E along with S1E were able to locate this motorhome which was stolen on 12.07.2023.  Now safely back with its rightful owner.
#vehicletracker #SouthEastRPTB2 #RTPC

The rider of this e-scooter crashed after hitting an innocent motorist. These e-scooters are illegal and uninsured and the rider was also drunk and disqualified. A court appearance awaits and their e-scooter destroyed. Fortunately no serious injuries. #metpolice #tdj #rtpc

wickofwar83's tweet image. The rider of this e-scooter crashed after hitting an innocent motorist. These e-scooters are illegal and uninsured and the rider was also drunk and disqualified. A court appearance awaits and their e-scooter destroyed. Fortunately no serious injuries.  #metpolice #tdj #rtpc

The Commercial Enforcement Officers are out in force on the streets of London, carrying out checks on commercial vehicles to ensure they meet the required safety standards. #CommercialEnforcement #MET #RTPC #Commercial #RoadSafety #PoliceMP #FiveM #FivemRP #FiveMRolePlay #GTA5

PoliceMP6's tweet image. The Commercial Enforcement Officers are out in force on the streets of London, carrying out checks on commercial vehicles to ensure they meet the required safety standards.

#CommercialEnforcement #MET #RTPC #Commercial #RoadSafety #PoliceMP #FiveM #FivemRP #FiveMRolePlay #GTA5
PoliceMP6's tweet image. The Commercial Enforcement Officers are out in force on the streets of London, carrying out checks on commercial vehicles to ensure they meet the required safety standards.

#CommercialEnforcement #MET #RTPC #Commercial #RoadSafety #PoliceMP #FiveM #FivemRP #FiveMRolePlay #GTA5
PoliceMP6's tweet image. The Commercial Enforcement Officers are out in force on the streets of London, carrying out checks on commercial vehicles to ensure they meet the required safety standards.

#CommercialEnforcement #MET #RTPC #Commercial #RoadSafety #PoliceMP #FiveM #FivemRP #FiveMRolePlay #GTA5

I made this video showing real-time sound design techniques for creating immersive audio in video games. youtu.be/L-69EOba76k #Rtpc #sounddesign #wwise #videogames


વિદેશથી આવતા તમામનો RT- PCR ફરજિયાત: મનસુખ માંડવિયા #mansukhmandaviya #corona #rtpc

sandeshnews's tweet image. વિદેશથી આવતા તમામનો RT- PCR ફરજિયાત: મનસુખ માંડવિયા

#mansukhmandaviya #corona #rtpc

20 years ago the #WTO launched its first Regional Trade Policy Course in Nairobi. Since then we have held 85 #RTPC for more than 2,300 government officials from developing countries. A virtual event will be held on 16 December to mark the anniversary. 🧵


This Golf R decided to cut up an unmarked traffic car on the A406 Barking reaching speeds of over 110mph. The smoke is from the brakes five minutes after it was stopped! Driver reported for dangerous driving #TDJ #RTPC #metpolice

wickofwar83's tweet image. This Golf R decided to cut up an unmarked traffic car on the A406 Barking reaching speeds of over 110mph. The smoke is from the brakes five minutes after it was stopped! Driver reported for dangerous driving #TDJ #RTPC #metpolice

#WestArea #NorthWest #RTPC and #VRES @MPSSpecials were on a cross border proactive Op last night with the West Area PC Coordinator targeting catalytic converter and burglary offences. This targeted activity will continue for the month of November. 🚔👮🏽

MPSSpecials's tweet image. #WestArea #NorthWest #RTPC and #VRES @MPSSpecials were on a cross border proactive Op last night with the West Area PC Coordinator targeting catalytic converter and burglary offences.

This targeted activity will continue for the month of November. 🚔👮🏽

Recovered within 10 minutes of being stolen in Essex after a short pursuit - one in custody #RTPC #trackstar #metpolice #tdj #essexpolice

wickofwar83's tweet image. Recovered within 10 minutes of being stolen in Essex after a short pursuit - one in custody  #RTPC #trackstar #metpolice #tdj #essexpolice

#TowerHamlets Task Team Officers arrested a man with this knife whilst driving a moped, Now off of London Streets and in custody #RTPC assisting to reduce violent crime.

MPSTowerHam's tweet image. #TowerHamlets Task Team Officers arrested a man with this knife whilst driving a moped, Now off of London Streets and in custody #RTPC assisting to reduce violent crime.

NW10 car / bike meet. This vehicle was seized for No Insurance and driver reported. #RTPC #TDJ

DetSgt_BlackRat's tweet image. NW10 car / bike meet. This vehicle was seized for No Insurance and driver reported. #RTPC #TDJ

#TowerHamlets STT Officers 👮‍♀️👮‍♂️have removed another uninsured vehicle 🚗 from the roads of Tower Hamlets #RTPC

MPSTowerHam's tweet image. #TowerHamlets STT Officers 👮‍♀️👮‍♂️have removed another uninsured vehicle 🚗 from the roads of Tower Hamlets #RTPC

#SMV : This Range Rover Evoque was spotted parked up during proactive patrols in @MPSRedbridge & instantly stood out to my Eagle eyed #RTPC colleague. It had been stolen less than 24 hours ago, and is now back with its very relieved owner. #eastRPU #TDJ #AlwaysHunting

_11ZERO3_'s tweet image. #SMV : This Range Rover Evoque was spotted parked up during proactive patrols in @MPSRedbridge & instantly stood out to my Eagle eyed #RTPC colleague. It had been stolen less than 24 hours ago, and is now back with its very relieved owner.
#eastRPU #TDJ #AlwaysHunting

Vehicle stolen from a burglary in Slough yesterday morning and sighted quickly by colleagues from #TVP. Pursued into the Met where tactical contact used to bring pursuit to safe conclusion and prevent serious harm to members of the public - 2 arrested #RTPC #TDJ #Metpolice

wickofwar83's tweet image. Vehicle stolen from a burglary
in Slough yesterday morning and 
sighted quickly by colleagues
from #TVP. Pursued into the
Met where tactical contact used
to bring pursuit to safe
conclusion and prevent
serious harm to members of
the public - 2 arrested
#RTPC #TDJ #Metpolice
wickofwar83's tweet image. Vehicle stolen from a burglary
in Slough yesterday morning and 
sighted quickly by colleagues
from #TVP. Pursued into the
Met where tactical contact used
to bring pursuit to safe
conclusion and prevent
serious harm to members of
the public - 2 arrested
#RTPC #TDJ #Metpolice

#TowerHamlets Safer Transport Officers are in Sutton Street E1 for Community Road Watch #RTPC

MPSTowerHam's tweet image. #TowerHamlets Safer Transport Officers are in Sutton Street E1 for Community Road Watch #RTPC

#RTPC units involved in a pursuit with this vehicle after the driver was reported to be drunk. Tactical contact was made due to the risk. Taser deployed after the driver attempted to run over officers. One arrested and no injuries. #DontDrinkAndDrive @RTPC_LC @LondCallingRPC

SJones732's tweet image. #RTPC units involved in a pursuit with this vehicle after the driver was reported to be drunk. Tactical contact was made due to the risk. Taser deployed after the driver attempted to run over officers. One arrested and no injuries. #DontDrinkAndDrive @RTPC_LC @LondCallingRPC

#TowerHamlets update from yesterday’s arrest 18yr old male charged with possession of this weapon and drugs NOT released sent direct to court #RTPC Tackling violet crime

MPSTowerHam's tweet image. #TowerHamlets update from yesterday’s arrest 18yr old male charged with possession of this weapon and drugs NOT released sent direct to court #RTPC Tackling violet crime

TPAC tactics used again to stop this Astra in @MPSBarkDag, this time the driver provided a positive @DrugWipeUK test for cannabis and was arrested. No grounds to seize the vehicle on this occasion but it's one that will no doubt come again. #RTPC #TPAC #VisionZero

_11ZERO3_'s tweet image. TPAC tactics used again to stop this Astra in @MPSBarkDag, this time the driver provided a positive @DrugWipeUK test for cannabis and was arrested.

No grounds to seize the vehicle on this occasion but it's one that will no doubt come again.
#RTPC #TPAC #VisionZero
_11ZERO3_'s tweet image. TPAC tactics used again to stop this Astra in @MPSBarkDag, this time the driver provided a positive @DrugWipeUK test for cannabis and was arrested.

No grounds to seize the vehicle on this occasion but it's one that will no doubt come again.
#RTPC #TPAC #VisionZero

Tower Hamlets Safer Transport Team 4 Arrest a male for supply of Class 'A' drug. His E-scooter was his illegal method of transport which was also seized. #Ophornet #Escooter #RTPC #CESTT #saferstreet #drugawareness

MPSRTPC's tweet image. Tower Hamlets Safer Transport Team 4 Arrest a male for supply of Class 'A' drug. His E-scooter was his illegal method of transport which was also seized. #Ophornet #Escooter #RTPC #CESTT #saferstreet #drugawareness
MPSRTPC's tweet image. Tower Hamlets Safer Transport Team 4 Arrest a male for supply of Class 'A' drug. His E-scooter was his illegal method of transport which was also seized. #Ophornet #Escooter #RTPC #CESTT #saferstreet #drugawareness
MPSRTPC's tweet image. Tower Hamlets Safer Transport Team 4 Arrest a male for supply of Class 'A' drug. His E-scooter was his illegal method of transport which was also seized. #Ophornet #Escooter #RTPC #CESTT #saferstreet #drugawareness

NW10 car / bike meet. The driver of this vehicle provided a positive road side drug test and was subsequently arrested under S5a RTA 1988 (Driving under influence of Drugs). #RTPC #TDJ

DetSgt_BlackRat's tweet image. NW10 car / bike meet. The driver of this vehicle provided a positive road side drug test and was subsequently arrested under S5a RTA 1988 (Driving under influence of Drugs). #RTPC #TDJ

Vehicle attempts to evade police. Failed to evade Raptor units. With the help of our k9 friend we recovered cannabis. The driver arrested for failing a roadside drugs test. #Raptors #metpolice #rtpc @MPSRTPC

RatSergeant's tweet image. Vehicle attempts to evade police. Failed to evade Raptor units. With the help of our k9 friend we recovered cannabis. The driver arrested for failing a roadside drugs test. #Raptors #metpolice #rtpc @MPSRTPC

This Fiesta was stopped in @MPSBarkDag earlier, driver found to be driving on a revoked license and also provided a positive @DrugWipeUK test for cocaine. Driver arrested for the offences and the car has been seized. #RTPC #TPAC #VisionZero

_11ZERO3_'s tweet image. This Fiesta was stopped in @MPSBarkDag earlier, driver found to be driving on a revoked license and also provided a positive @DrugWipeUK test for cocaine.

Driver arrested for the offences and the car has been seized.
#RTPC #TPAC #VisionZero
_11ZERO3_'s tweet image. This Fiesta was stopped in @MPSBarkDag earlier, driver found to be driving on a revoked license and also provided a positive @DrugWipeUK test for cocaine.

Driver arrested for the offences and the car has been seized.
#RTPC #TPAC #VisionZero

#Towerhamlets STT Officers were out today in Wapping Lane E1 with community road watch slowing down drivers #RTPC

MPSTowerHam's tweet image. #Towerhamlets STT Officers were out today in Wapping Lane E1 with community road watch slowing down drivers #RTPC
MPSTowerHam's tweet image. #Towerhamlets STT Officers were out today in Wapping Lane E1 with community road watch slowing down drivers #RTPC

#TowerHamlets STT Officers are at Bow Roundabout giving out free Bike lights please come along and get your freebie before they all go #RTPC

MPSTowerHam's tweet image. #TowerHamlets STT Officers are at Bow Roundabout giving out free Bike lights please come along and get your freebie before they all go #RTPC
MPSTowerHam's tweet image. #TowerHamlets STT Officers are at Bow Roundabout giving out free Bike lights please come along and get your freebie before they all go #RTPC
MPSTowerHam's tweet image. #TowerHamlets STT Officers are at Bow Roundabout giving out free Bike lights please come along and get your freebie before they all go #RTPC

Loading...

Something went wrong.


Something went wrong.


United States Trends