#swedeheart search results

Discontinuation of secondary prevention therapy after MI: new evidence from the nationwide #SWEDEHEART registry now published in #EHJPharmacotherapy 💊🔍 ow.ly/VN1t50XpsRt @EditorEHJCVP @FeliceGragnano

ESC_Journals's tweet image. Discontinuation of secondary prevention therapy after MI: new evidence from the nationwide #SWEDEHEART registry now published in #EHJPharmacotherapy 💊🔍 ow.ly/VN1t50XpsRt 

@EditorEHJCVP @FeliceGragnano

📌 Participation in exercise-based #CardiacRehabilitation is related to ↘️ total mortality: #SWEDEHEART registry

SeguraCardio's tweet image. 📌 Participation in exercise-based #CardiacRehabilitation is related to ↘️ total mortality: #SWEDEHEART registry

"@xregnx: This may be the Swedest thing I ever made =P #MerryChrismas #Swedeheart " takk! White Spirit Cookie anyone?


Important conclusion from a large observational study in the elderly above 80..#ESCCongress #SWEDEHEART

Hragy's tweet image. Important conclusion from a large observational study in the elderly above 80..#ESCCongress #SWEDEHEART

#ESCCongress #Swedeheart post CABG follow up STATINS SAVE LIVES POST CABG in all groups and ages, very strong message for all, BB dont, ACEI do in select groups with indications , antiplatelets also very useful for most.

Hragy's tweet image. #ESCCongress #Swedeheart post CABG follow up STATINS SAVE LIVES POST CABG in all groups and ages, very strong message for all, BB dont, ACEI do in select groups with indications , antiplatelets also very useful for most.

Our new tote bags have arrived!! Who wants one? Thanks to @SwedeninUSA for the #swedeheart design! #nycmidsummer

swedennewyork's tweet image. Our new tote bags have arrived!! Who wants one? Thanks to @SwedeninUSA for the #swedeheart design! #nycmidsummer

#ESCCongress message from surgeons ! the presenter rightfully suggests using combination pills post CABG a pill with a statin, ASA, and ACEI wouldn’t be difficult #SWEDEHEART registry

Hragy's tweet image. #ESCCongress message from surgeons ! the presenter rightfully suggests using combination pills post CABG a pill with a statin, ASA, and ACEI wouldn’t be difficult #SWEDEHEART registry

Put together my first email with awesome graphics. Only 1 typo! #sorryArvi #fatpaws #swedeheart #onlyfourfingers

Gnash00's tweet image. Put together my first email with awesome graphics. Only 1 typo!  #sorryArvi #fatpaws #swedeheart #onlyfourfingers

In this #SWEDEHEART cohort study including 43 618 patients with first MI presentation ; Median follow-up - 4.5 years The risk of a composite of all-cause mortality, recurrent MI, unscheduled revascularization, or 🏥 for #HeartFailure was no different between patients who were…

HanCardiomd's tweet image. In this #SWEDEHEART cohort study including 43 618 patients with first MI presentation ;

Median follow-up - 4.5 years

The risk of a composite of all-cause mortality, recurrent MI, unscheduled revascularization, or 🏥 for #HeartFailure was no different between patients who were…
HanCardiomd's tweet image. In this #SWEDEHEART cohort study including 43 618 patients with first MI presentation ;

Median follow-up - 4.5 years

The risk of a composite of all-cause mortality, recurrent MI, unscheduled revascularization, or 🏥 for #HeartFailure was no different between patients who were…
HanCardiomd's tweet image. In this #SWEDEHEART cohort study including 43 618 patients with first MI presentation ;

Median follow-up - 4.5 years

The risk of a composite of all-cause mortality, recurrent MI, unscheduled revascularization, or 🏥 for #HeartFailure was no different between patients who were…
HanCardiomd's tweet image. In this #SWEDEHEART cohort study including 43 618 patients with first MI presentation ;

Median follow-up - 4.5 years

The risk of a composite of all-cause mortality, recurrent MI, unscheduled revascularization, or 🏥 for #HeartFailure was no different between patients who were…

Tomas Jernberg: Viktigt att lära känna varandra registren emellan. Då kan vi dela erfarenheter #kvalreg #swedeheart

RinglaNu's tweet image. Tomas Jernberg: Viktigt att lära känna varandra registren emellan. Då kan vi dela erfarenheter #kvalreg #swedeheart

Excellent brainstorming meeting with Lars Wallentin and colleges from Upsala #SwedeHeart #datasaveslives

cpgale3's tweet image. Excellent brainstorming meeting with Lars Wallentin and colleges from Upsala #SwedeHeart #datasaveslives

Normally I don't go for the V-Day stuff, but this is just too good. #Swedeheart #ValentinesDay #Oduya #Blackhawks

linksan's tweet image. Normally I don't go for the V-Day stuff, but this is just too good. #Swedeheart #ValentinesDay #Oduya #Blackhawks

🔥 Now out in @AATSJournals, our study investigating #PPM incidence, risk factors, and outcomes in patients undergoing #tricuspid annuloplasty leveraging the nationwide #SWEDEHEART registry 🇸🇪 Open access → tinyurl.com/2px6p83d

AndreaAmabileMD's tweet image. 🔥 Now out in @AATSJournals, our study investigating #PPM incidence, risk factors, and outcomes in patients undergoing #tricuspid annuloplasty leveraging the nationwide #SWEDEHEART registry 🇸🇪 Open access → tinyurl.com/2px6p83d

#MInoca Dr Carl Pepine 41% ⬆️ risk mortality woman with #Minoca #swedeheart #Trial 20% with statins & 25% with ace inhibition -lower rate of recurrent #MI CorMicA Trial: 1st functional trial - explaining angina improves it #AHA18

iamritu's tweet image. #MInoca  Dr Carl Pepine 
41% ⬆️ risk mortality woman with #Minoca 
#swedeheart #Trial 
20% with statins &  25% with ace inhibition -lower rate of recurrent #MI 
CorMicA Trial: 1st functional trial - explaining angina improves it #AHA18
iamritu's tweet image. #MInoca  Dr Carl Pepine 
41% ⬆️ risk mortality woman with #Minoca 
#swedeheart #Trial 
20% with statins &  25% with ace inhibition -lower rate of recurrent #MI 
CorMicA Trial: 1st functional trial - explaining angina improves it #AHA18
iamritu's tweet image. #MInoca  Dr Carl Pepine 
41% ⬆️ risk mortality woman with #Minoca 
#swedeheart #Trial 
20% with statins &  25% with ace inhibition -lower rate of recurrent #MI 
CorMicA Trial: 1st functional trial - explaining angina improves it #AHA18
iamritu's tweet image. #MInoca  Dr Carl Pepine 
41% ⬆️ risk mortality woman with #Minoca 
#swedeheart #Trial 
20% with statins &  25% with ace inhibition -lower rate of recurrent #MI 
CorMicA Trial: 1st functional trial - explaining angina improves it #AHA18

Want one of these? Come by our info tent at the park entrance for your #swedeheart tote bag! From 5pm. #NYCMidsummer

swedennewyork's tweet image. Want one of these? Come by our info tent at the park entrance for your #swedeheart tote bag! From 5pm. #NYCMidsummer

Come by our info tent at the park entrance for #swedeheart tote bags & beautiful booklets on Sweden! #nycmidsummer

swedennewyork's tweet image. Come by our info tent at the park entrance for #swedeheart tote bags & beautiful booklets on Sweden! #nycmidsummer

The #SwedeHeart totes have been a huge success, thank you again @SwedeninUSA for lending us this brilliant design!

swedennewyork's tweet image. The #SwedeHeart totes have been a huge success, thank you again @SwedeninUSA for lending us this brilliant design!

🗞Incidence and Predictors of Out-of-Hospital Cardiac Arrest < 90 Days After Myocardial Infarction #SWEDEHEART. 🎯incidence <0.3% 🎯independent predictors⤵️ 👨‍🦳 diabetes eGFR<30 ml/min/1.73 m2 Killip > II new-onset AF impaired LVEF

ValleAlfonso's tweet image. 🗞Incidence and Predictors of Out-of-Hospital Cardiac Arrest &amp;lt; 90 Days After Myocardial Infarction
#SWEDEHEART. 
🎯incidence &amp;lt;0.3%

🎯independent predictors⤵️
👨‍🦳
diabetes
eGFR&amp;lt;30 ml/min/1.73 m2
Killip &amp;gt; II
new-onset AF
impaired LVEF
ValleAlfonso's tweet image. 🗞Incidence and Predictors of Out-of-Hospital Cardiac Arrest &amp;lt; 90 Days After Myocardial Infarction
#SWEDEHEART. 
🎯incidence &amp;lt;0.3%

🎯independent predictors⤵️
👨‍🦳
diabetes
eGFR&amp;lt;30 ml/min/1.73 m2
Killip &amp;gt; II
new-onset AF
impaired LVEF

Discontinuation of secondary prevention therapy after MI: new evidence from the nationwide #SWEDEHEART registry now published in #EHJPharmacotherapy 💊🔍 ow.ly/VN1t50XpsRt @EditorEHJCVP @FeliceGragnano

ESC_Journals's tweet image. Discontinuation of secondary prevention therapy after MI: new evidence from the nationwide #SWEDEHEART registry now published in #EHJPharmacotherapy 💊🔍 ow.ly/VN1t50XpsRt 

@EditorEHJCVP @FeliceGragnano

🪸 ¿Para quién CABG post-PCI en SCA? 1⃣Riesgo qx bajo/intermedio (EuroSCORE II <5), LM, MVD con #SYNTAX>22 (>33 sin DM/LM), DM, oclusiones crónicas, FEY≤35%. 2⃣Evitar en alto riesgo/edad >70a (#SWEDEHEART). 3⃣Evaluación con #FFR, datos mixtos⚠️ (#FRAME-AMI vs #GRAFFITI)

DrCCaroli's tweet image. 🪸 ¿Para quién CABG post-PCI en SCA? 
1⃣Riesgo qx bajo/intermedio (EuroSCORE II &amp;lt;5), LM, MVD con #SYNTAX&amp;gt;22 (&amp;gt;33 sin DM/LM), DM, oclusiones crónicas, FEY≤35%. 
2⃣Evitar en alto riesgo/edad &amp;gt;70a (#SWEDEHEART). 
3⃣Evaluación con #FFR, datos mixtos⚠️ (#FRAME-AMI vs #GRAFFITI)

🤔¿Por qué CABG tras PCI en SCA-MVD? Evidencias📚: ✅Mejores outcomes en tto LM (#SWEDEHEART: ⬇️mortalidad/MACE), MVD (#SYNTAX 10a: beneficio supervivencia en 3VD), DM (#FREEDOM: ⬆️6% supervivencia a 8a), y FEY severa (STICHES HR 0.72). ✅⬆️Revas completa y colateralización qx

DrCCaroli's tweet image. 🤔¿Por qué CABG tras PCI en SCA-MVD? 
Evidencias📚:
✅Mejores outcomes en tto LM (#SWEDEHEART: ⬇️mortalidad/MACE), MVD (#SYNTAX 10a: beneficio supervivencia en 3VD), DM (#FREEDOM: ⬆️6% supervivencia a 8a), y FEY severa (STICHES HR 0.72). 

✅⬆️Revas completa y colateralización qx

Check out this interview with @Felix_Lindberg_ discussing revascularization strategies in patients with #STEMI; an analysis from the #SWEDEHEART registry @JACCJournals #JACCINT #CardioX #ACCFIT


In this #SWEDEHEART registry analysis of #STEMI w/ multivessel disease, complete #revasc, whether angio or physiology-guided, was independently associated with better outcomes, including mortality. jacc.org/doi/10.1016/j.… #JACCINT #Revascularization #CardioX @ColinBerryMD

JACCJournals's tweet image. In this #SWEDEHEART registry analysis of #STEMI w/ multivessel disease, complete #revasc, whether angio or physiology-guided, was independently associated with better outcomes, including mortality. jacc.org/doi/10.1016/j.…

#JACCINT #Revascularization #CardioX @ColinBerryMD

Comparative outcomes of transcatheter aortic valve replacement in bicuspid vs. tricuspid aortic valve stenosis patients: insights from the #SWEDEHEART registry sciencedirect.com/science/articl…


Glad to be cited with my french friends for our expert position advocating an early #HIS and #Ezetimibe before discharge. Great work from #SwedeHeart Early Ezetimibe Initiation After Myocardial Infarction Protects Agains... sciencedirect.com/science/articl…


This #JACCINT analysis of 42,887 patients from the #SWEDEHEART registry shows comparable rates of #MACE (31.3% vs. 32.2%) between IFR vs FFR-guided #PCI and no difference in all-cause mortality over 5 years. jacc.org/doi/10.1016/j.… @MGtberg

JACCJournals's tweet image. This #JACCINT analysis of 42,887 patients from the #SWEDEHEART registry shows comparable rates of #MACE (31.3% vs. 32.2%) between IFR vs FFR-guided #PCI and no difference in all-cause mortality over 5 years. jacc.org/doi/10.1016/j.… @MGtberg

We have to impose the treatment to our patient This a treatment since the patient is no longer sick. CABG is doing better than PCI #swedeheart showed important data BUT we can do better if we perform CABG on diabetic remission patient. #cardiacsurgery #surgery #lowcarb

Kidney function is REALLY important for people with T2 Diabetes! Improving your blood sugar can also improve your kidneys in a way that lasts. This lady went low carb in 2012 and look!! We published on this here pubmed.ncbi.nlm.nih.gov/34468402/

lowcarbGP's tweet image. Kidney function is REALLY important for people with T2 Diabetes! Improving your blood sugar can also improve your kidneys in a way that lasts. This lady went low carb in 2012 and look!! We published on this here pubmed.ncbi.nlm.nih.gov/34468402/


Yaklaşık 50 bin kişi üzerinde yapılan çalışma. #SWEDEHEART registry. #kalp #krizi sonrası kolesterol düzeyini 2.2 mmol/l yani yaklaşık 75 mg/dl altında olması olası riskleri azaltıyor. #kalpsağlığı #kalpyarası #kolesterol #şeker instagram.com/reel/DA6VSAJNV…


Insight from #SWEDEHEART: In HBR patients with ACS undergoing #PCI, abbreviated #DAPT shows similar rate of NACE compared to 12-month of DAPT. #AHAJournals @elmir1omerovic @AgewallStefan @DavidErlinge @moman_am ahajrnls.org/4bMm1dw

JAHA_AHA's tweet image. Insight from #SWEDEHEART: In HBR patients with ACS undergoing #PCI, abbreviated #DAPT shows similar rate of NACE compared to 12-month of DAPT. #AHAJournals @elmir1omerovic @AgewallStefan @DavidErlinge @moman_am ahajrnls.org/4bMm1dw

Ruotsalaiset todella osaavat brändäämisen taidon - sydänkuntoutusta myöden. Ottakaamme oppia 🤔💯. Kiitos kiinnostavasta vaikuttavuutta tarkastelevasta puheenvuorosta, professori Antti Malmivaara. #kuntoutuspäivät #swedeheart .@anttimal .@Kuntoutussaatio

TimoKorpela's tweet image. Ruotsalaiset todella osaavat brändäämisen taidon - sydänkuntoutusta myöden. Ottakaamme oppia 🤔💯.

Kiitos kiinnostavasta vaikuttavuutta tarkastelevasta puheenvuorosta, professori Antti Malmivaara. 
#kuntoutuspäivät #swedeheart
.@anttimal
.@Kuntoutussaatio

FULL REVASCularization (FFR-based) not better than culprit-only PCI in RCT in 1542 pts. #SWEDEHEART 🇸🇪 study. Will this change how we treat STEMI and high-risk NSTEMI? Is FFR helpful at all in these patients?

Presented at #ACC24: FULL REVASC: In a registry-based trial, FFR-guided PCI of nonculprit lesions did not result in a lower risk of a composite of death from any cause, myocardial infarction, or unplanned revascularization than culprit-lesion-only PCI. nej.md/3xj5b7u

NEJM's tweet image. Presented at #ACC24: 

FULL REVASC: In a registry-based trial, FFR-guided PCI of nonculprit lesions did not result in a lower risk of a composite of death from any cause, myocardial infarction, or unplanned revascularization than culprit-lesion-only PCI. nej.md/3xj5b7u


@MGtberg thank you for adding to the evidence…reassuring data from #SWEDEHEART #TCT2023 @TCTMD @TCTMD_Caitlin tctmd.com/news/no-mortal…

Follow the evidence🏃‍♀️🏃‍♀️🏃‍♀️ Altho @escardio #ESCCongress meta-analyses noted a signal to higher mortalities w non-hyperemic indices @ESC_Journals 🔗academic.oup.com/eurheartj/adva… Latest #SWEDEHEART Registry w >42,000 patients noted no difference in MACE or mortality @TCTConference



Follow the evidence🏃‍♀️🏃‍♀️🏃‍♀️ Altho @escardio #ESCCongress meta-analyses noted a signal to higher mortalities w non-hyperemic indices @ESC_Journals 🔗academic.oup.com/eurheartj/adva… Latest #SWEDEHEART Registry w >42,000 patients noted no difference in MACE or mortality @TCTConference


"@xregnx: This may be the Swedest thing I ever made =P #MerryChrismas #Swedeheart " takk! White Spirit Cookie anyone?


Discontinuation of secondary prevention therapy after MI: new evidence from the nationwide #SWEDEHEART registry now published in #EHJPharmacotherapy 💊🔍 ow.ly/VN1t50XpsRt @EditorEHJCVP @FeliceGragnano

ESC_Journals's tweet image. Discontinuation of secondary prevention therapy after MI: new evidence from the nationwide #SWEDEHEART registry now published in #EHJPharmacotherapy 💊🔍 ow.ly/VN1t50XpsRt 

@EditorEHJCVP @FeliceGragnano

📌 Participation in exercise-based #CardiacRehabilitation is related to ↘️ total mortality: #SWEDEHEART registry

SeguraCardio's tweet image. 📌 Participation in exercise-based #CardiacRehabilitation is related to ↘️ total mortality: #SWEDEHEART registry

Jag saknar min älskling 💛💙 #swedeheart #8weeks

berry_short's tweet image. Jag saknar min älskling 💛💙 #swedeheart #8weeks

Put together my first email with awesome graphics. Only 1 typo! #sorryArvi #fatpaws #swedeheart #onlyfourfingers

Gnash00's tweet image. Put together my first email with awesome graphics. Only 1 typo!  #sorryArvi #fatpaws #swedeheart #onlyfourfingers

Our new tote bags have arrived!! Who wants one? Thanks to @SwedeninUSA for the #swedeheart design! #nycmidsummer

swedennewyork's tweet image. Our new tote bags have arrived!! Who wants one? Thanks to @SwedeninUSA for the #swedeheart design! #nycmidsummer

#STEMI treatment changes and impact on #outcomes over the last 20 years: data from the #SWEDEHEART registry bit.ly/2xbe3Z4

ESC_Journals's tweet image. #STEMI treatment changes and impact on #outcomes over the last 20 years: data from the #SWEDEHEART registry bit.ly/2xbe3Z4
ESC_Journals's tweet image. #STEMI treatment changes and impact on #outcomes over the last 20 years: data from the #SWEDEHEART registry bit.ly/2xbe3Z4
ESC_Journals's tweet image. #STEMI treatment changes and impact on #outcomes over the last 20 years: data from the #SWEDEHEART registry bit.ly/2xbe3Z4

Tomas Jernberg: Viktigt att lära känna varandra registren emellan. Då kan vi dela erfarenheter #kvalreg #swedeheart

RinglaNu's tweet image. Tomas Jernberg: Viktigt att lära känna varandra registren emellan. Då kan vi dela erfarenheter #kvalreg #swedeheart

Want one of these? Come by our info tent at the park entrance for your #swedeheart tote bag! From 5pm. #NYCMidsummer

swedennewyork's tweet image. Want one of these? Come by our info tent at the park entrance for your #swedeheart tote bag! From 5pm. #NYCMidsummer

Come by our info tent at the park entrance for #swedeheart tote bags & beautiful booklets on Sweden! #nycmidsummer

swedennewyork's tweet image. Come by our info tent at the park entrance for #swedeheart tote bags &amp;amp; beautiful booklets on Sweden! #nycmidsummer

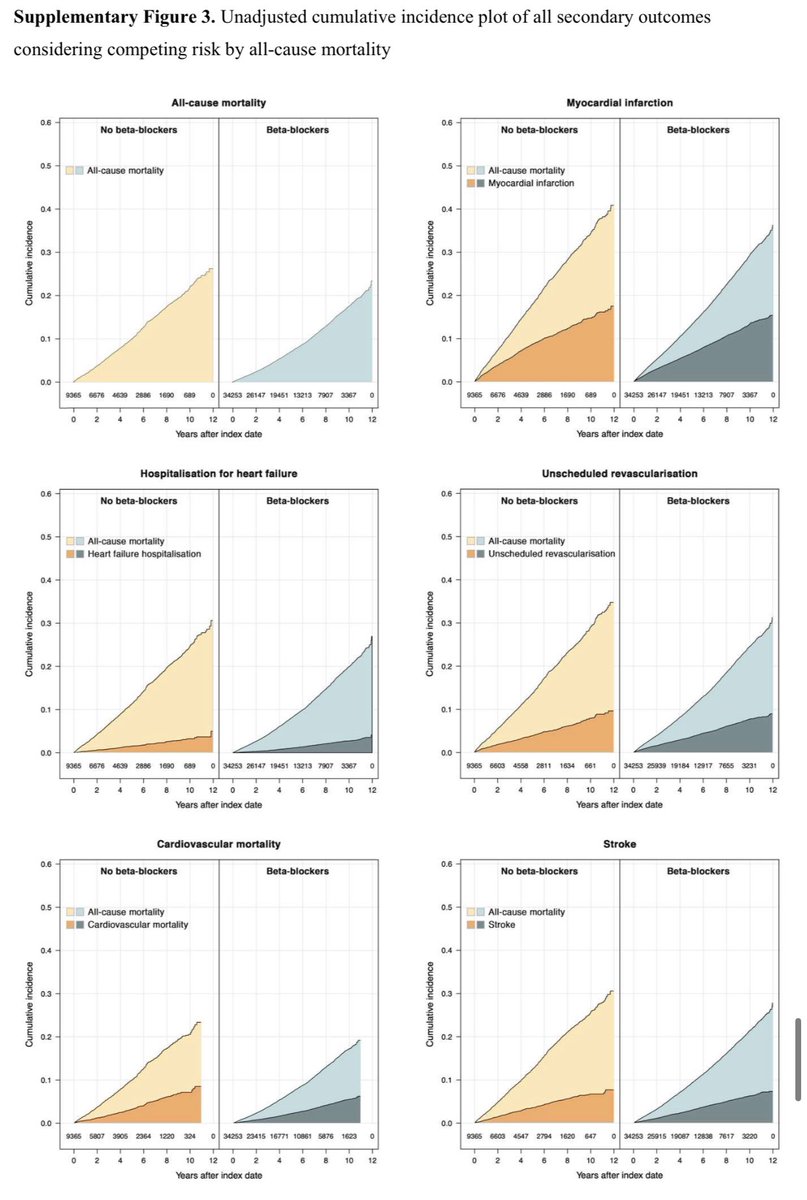
Association of BBs beyond 1 year after myocardial infarction and cardiovascular outcomes: population‐based cohort study using nationwide 🇸🇪 registries Should long-term treatment with BB be reassessed? heart.bmj.com/cgi/content/fu… #SWEDEHEART @YndigegnY @SulemanAktaa @cpgale3

goravbatra's tweet image. Association of BBs beyond 1 year after myocardial infarction and cardiovascular outcomes: population‐based cohort study using nationwide 🇸🇪 registries

Should long-term treatment with BB be reassessed?

heart.bmj.com/cgi/content/fu…

#SWEDEHEART @YndigegnY  @SulemanAktaa @cpgale3

In this #SWEDEHEART cohort study including 43 618 patients with first MI presentation ; Median follow-up - 4.5 years The risk of a composite of all-cause mortality, recurrent MI, unscheduled revascularization, or 🏥 for #HeartFailure was no different between patients who were…

HanCardiomd's tweet image. In this #SWEDEHEART cohort study including 43 618 patients with first MI presentation ;

Median follow-up - 4.5 years

The risk of a composite of all-cause mortality, recurrent MI, unscheduled revascularization, or 🏥 for #HeartFailure was no different between patients who were…
HanCardiomd's tweet image. In this #SWEDEHEART cohort study including 43 618 patients with first MI presentation ;

Median follow-up - 4.5 years

The risk of a composite of all-cause mortality, recurrent MI, unscheduled revascularization, or 🏥 for #HeartFailure was no different between patients who were…
HanCardiomd's tweet image. In this #SWEDEHEART cohort study including 43 618 patients with first MI presentation ;

Median follow-up - 4.5 years

The risk of a composite of all-cause mortality, recurrent MI, unscheduled revascularization, or 🏥 for #HeartFailure was no different between patients who were…
HanCardiomd's tweet image. In this #SWEDEHEART cohort study including 43 618 patients with first MI presentation ;

Median follow-up - 4.5 years

The risk of a composite of all-cause mortality, recurrent MI, unscheduled revascularization, or 🏥 for #HeartFailure was no different between patients who were…

🔥 Now out in @AATSJournals, our study investigating #PPM incidence, risk factors, and outcomes in patients undergoing #tricuspid annuloplasty leveraging the nationwide #SWEDEHEART registry 🇸🇪 Open access → tinyurl.com/2px6p83d

AndreaAmabileMD's tweet image. 🔥 Now out in @AATSJournals, our study investigating #PPM incidence, risk factors, and outcomes in patients undergoing #tricuspid annuloplasty leveraging the nationwide #SWEDEHEART registry 🇸🇪 Open access → tinyurl.com/2px6p83d

Who's a #SwedeHeart? Visit us on Facebook for a chance to win this t-shirt from @SwedeninUSA owl.li/wSOGj

swedennewyork's tweet image. Who&apos;s a #SwedeHeart? Visit us on Facebook for a chance to win this t-shirt from @SwedeninUSA owl.li/wSOGj

The #SwedeHeart totes have been a huge success, thank you again @SwedeninUSA for lending us this brilliant design!

swedennewyork's tweet image. The #SwedeHeart totes have been a huge success, thank you again @SwedeninUSA for lending us this brilliant design!

Loading...

Something went wrong.


Something went wrong.


United States Trends