#schiffbase search results

Neptunyl Pyrrophen Complexes: Exploring #SchiffBase Chemistry with Multidentate Acyclic Ligands and Transuranics (Anne E. V. Gorden and co-workers) onlinelibrary.wiley.com/doi/10.1002/ch…


#OnTheCover Cu-Ln (Ln = Gd, Eu, Sm) Dinuclear Complexes Based on #SchiffBase o-van-en Ligand: Syntheses, Crystal Structures, and Magnetic Properties (Roman Boca and co-workers) onlinelibrary.wiley.com/doi/10.1002/ch…onlinelibrary.wiley.com/doi/10.1002/ch…

ChemEurJ's tweet image. #OnTheCover Cu-Ln (Ln = Gd, Eu, Sm) Dinuclear Complexes Based on #SchiffBase o-van-en Ligand: Syntheses, Crystal Structures, and Magnetic Properties (Roman Boca and co-workers) onlinelibrary.wiley.com/doi/10.1002/ch… • onlinelibrary.wiley.com/doi/10.1002/ch…

#OnTheCover Vanadium(V) Pyridine-Containing #SchiffBase Catecholate Complexes Are Lipophilic, Redox-Active and Selectively Cytotoxic in Glioblastoma (T98G) Cells onlinelibrary.wiley.com/doi/10.1002/ch… @csu_chemistry @SydneyChemistry onlinelibrary.wiley.com/doi/10.1002/ch…

ChemEurJ's tweet image. #OnTheCover Vanadium(V) Pyridine-Containing #SchiffBase Catecholate Complexes Are Lipophilic, Redox-Active and Selectively Cytotoxic in Glioblastoma (T98G) Cells onlinelibrary.wiley.com/doi/10.1002/ch… @csu_chemistry @SydneyChemistry onlinelibrary.wiley.com/doi/10.1002/ch…

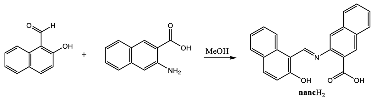
On the Electroanalytical Detection of Zn Ions by a Novel Schiff Base Ligand-SPCE Sensor mdpi.com/1424-8220/22/3… #SchiffBase #Fluorescence #ElectrochemicalSensors #HeavyMetals

Sensors_MDPI's tweet image. On the Electroanalytical Detection of Zn Ions by a Novel Schiff Base Ligand-SPCE Sensor
mdpi.com/1424-8220/22/3…
#SchiffBase #Fluorescence #ElectrochemicalSensors #HeavyMetals

📢 Call for Submissions to the Special Issue: Exploring Schiff Base Ligands and Their Metal Complexes ✏️ Guest edited by Prof. Dr. Mihaela Badea 🔗 Issue: brnw.ch/21wTyeo 📌 #schiffbase #ligands #complexes #X_ray_structure #MetalComplexes

Molecules_MDPI's tweet image. 📢 Call for Submissions to the Special Issue: Exploring Schiff Base Ligands and Their Metal Complexes
✏️ Guest edited by Prof. Dr. Mihaela Badea
🔗 Issue: brnw.ch/21wTyeo
📌 #schiffbase #ligands #complexes #X_ray_structure #MetalComplexes

Synthesis, Structural, Magnetic and Computational Studies of a One-Dimensional Ferromagnetic Cu(II) Chain Assembled from a New #SchiffBase Ligand By Anne Worrell et al. @BrockUChemistry @ClarkUniversity @UWindsor @upatras Full Text: mdpi.com/2624-8549/5/1/7 @ChemMatSci_MDPI

Chemistry_MDPI's tweet image. Synthesis, Structural, Magnetic and Computational Studies of a One-Dimensional Ferromagnetic Cu(II) Chain Assembled from a New #SchiffBase Ligand
By Anne Worrell et al. @BrockUChemistry  @ClarkUniversity  @UWindsor @upatras 
Full Text: mdpi.com/2624-8549/5/1/7
@ChemMatSci_MDPI

#ChemPhysChem #OnTheCover Absorption and Excited-State Coherences of Cryogenically Cold Retinal Protonated #SchiffBase in Vacuo (Lars H. Andersen and co-workers) onlinelibrary.wiley.com/doi/10.1002/cp… @NatSci_AUonlinelibrary.wiley.com/doi/10.1002/cp…

ChemEurope's tweet image. #ChemPhysChem #OnTheCover Absorption and Excited-State Coherences of Cryogenically Cold Retinal Protonated #SchiffBase in Vacuo (Lars H. Andersen and co-workers) onlinelibrary.wiley.com/doi/10.1002/cp… @NatSci_AU • onlinelibrary.wiley.com/doi/10.1002/cp…

Chiral Heterometallic Cu8Ln4 Complexes with Enantiopure #SchiffBase Ligands: Synthesis, Structural, Spectroscopic and Magnetic Studies (Vassilis Psycharis, Catherine P. Raptopoulou and co-workers) #OpenAccess onlinelibrary.wiley.com/doi/10.1002/cp…


#SchiffBase Reaction in a Living Cell: In Situ Synthesis of a Hollow Covalent Organic Polymer To Regulate Biological Functions (Da-Wei Li and co-workers) onlinelibrary.wiley.com/doi/10.1002/an…


Delighted to share our work on N-(Aryl)pyrrole-2-aldimine complexes of ruthenium: synthesis, structure, and spectral and electrochemical properties - now published in New Journal of Chemistry @RoySocChem pubs.rsc.org/en/content/art… #ruthenium #schiffbase #coordinationchemistry


Xantini et al.: 2,4-Di­chloro-6-{N-[2-(tri­fluoro­meth­yl)phen­yl]carboximido­yl}phenol #CrystalStructure #SchiffBase #Trifluoromethylaniline ... #IUCr journals.iucr.org/paper?S2414314…


#highlycitedpaper Design and Characterization of Electrochemical Sensor for the Determination of Mercury(II) Ion in Real Samples Based upon a New Schiff Base Derivative as an Ionophore mdpi.com/1424-8220/21/9… @TaifUniversity @uqu_edu #Schiffbase #selectiveelectrode #sensors

Sensors_MDPI's tweet image. #highlycitedpaper
Design and Characterization of Electrochemical Sensor for the Determination of Mercury(II) Ion in Real Samples Based upon a New Schiff Base Derivative as an Ionophore
mdpi.com/1424-8220/21/9…
@TaifUniversity @uqu_edu 
#Schiffbase #selectiveelectrode #sensors

Synthesis, DNA Binding Properties, Molecular Docking and ADME Studies of #SchiffBase Compound Containing Pyridine-Propargyl Group (Seyit Ali Guengoer) onlinelibrary.wiley.com/doi/10.1002/cb…


#NewPaperAlert 📕Phenylthiadiazole-Based Schiff Base Fluorescent Chemosensor for the Detection of Al3+ and Zn2+ Ions (by Dr. Jorge Heredia-Moya et al.) mdpi.com/2624-8549/7/4/… #SchiffBase #Thiadiazole #Chemosensor

Chemistry_MDPI's tweet image. #NewPaperAlert 
📕Phenylthiadiazole-Based Schiff Base Fluorescent Chemosensor for the Detection of Al3+ and Zn2+ Ions (by Dr. Jorge Heredia-Moya et al.)
mdpi.com/2624-8549/7/4/…

#SchiffBase #Thiadiazole #Chemosensor

Antimicrobial and Anti-arthritic Studies of Metal (II) Complexes of Schiff Base Derived from 2 – Hydroxy - 1- Naphthaldehyde Read the Article here: bit.ly/43fD7iW #Antiarthriticactivity #Antimicrobial #Schiffbase #Transitionmetal #chemistry #biochemistry #nanomaterial

Orienjchem's tweet image. Antimicrobial  and Anti-arthritic Studies of Metal (II) Complexes of Schiff Base Derived from 2 – Hydroxy - 1- Naphthaldehyde
Read the Article here: bit.ly/43fD7iW

#Antiarthriticactivity #Antimicrobial #Schiffbase #Transitionmetal #chemistry #biochemistry #nanomaterial

#OnTheCover Cu-Ln (Ln = Gd, Eu, Sm) Dinuclear Complexes Based on #SchiffBase o-van-en Ligand: Syntheses, Crystal Structures, and Magnetic Properties (Roman Boca and co-workers) onlinelibrary.wiley.com/doi/10.1002/ch…onlinelibrary.wiley.com/doi/10.1002/ch…

ChemEurJ's tweet image. #OnTheCover Cu-Ln (Ln = Gd, Eu, Sm) Dinuclear Complexes Based on #SchiffBase o-van-en Ligand: Syntheses, Crystal Structures, and Magnetic Properties (Roman Boca and co-workers) onlinelibrary.wiley.com/doi/10.1002/ch… • onlinelibrary.wiley.com/doi/10.1002/ch…

📢 Call for Submissions to the Special Issue: Exploring Schiff Base Ligands and Their Metal Complexes ✏️ Guest edited by Prof. Dr. Mihaela Badea 🔗 Issue: brnw.ch/21wTyeo 📌 #schiffbase #ligands #complexes #X_ray_structure #MetalComplexes

Molecules_MDPI's tweet image. 📢 Call for Submissions to the Special Issue: Exploring Schiff Base Ligands and Their Metal Complexes
✏️ Guest edited by Prof. Dr. Mihaela Badea
🔗 Issue: brnw.ch/21wTyeo
📌 #schiffbase #ligands #complexes #X_ray_structure #MetalComplexes

#ChemAsianJ #OnTheCover Copillar[5]arene Appended Pyrene #SchiffBase: Photophysics, Aggregation Induced Emission and Picric Acid Recognition (Kumaresh Ghosh and co-workers) onlinelibrary.wiley.com/doi/10.1002/as…onlinelibrary.wiley.com/doi/10.1002/as…

ACES_Journals's tweet image. #ChemAsianJ #OnTheCover Copillar[5]arene Appended Pyrene #SchiffBase: Photophysics, Aggregation Induced Emission and Picric Acid Recognition (Kumaresh Ghosh and co-workers) onlinelibrary.wiley.com/doi/10.1002/as… • onlinelibrary.wiley.com/doi/10.1002/as…

Coordination dimer via external binding. Our new paper in @ChemEurJ Congratulations, Zhao-san, Nadiia-san, Hokimoto-kun!! doi.org//10.1002/chem.… #Macrocycles #SelfAssembly #SchiffBase #Zinc @nakamura_group

TNakamura2021's tweet image. Coordination dimer via external binding. Our new paper in @ChemEurJ
Congratulations, Zhao-san, Nadiia-san, Hokimoto-kun!!
doi.org//10.1002/chem.…
#Macrocycles #SelfAssembly #SchiffBase #Zinc
@nakamura_group

#ChemPhysChem #OnTheCover Absorption and Excited-State Coherences of Cryogenically Cold Retinal Protonated #SchiffBase in Vacuo (Lars H. Andersen and co-workers) onlinelibrary.wiley.com/doi/10.1002/cp… @NatSci_AUonlinelibrary.wiley.com/doi/10.1002/cp…

ChemEurope's tweet image. #ChemPhysChem #OnTheCover Absorption and Excited-State Coherences of Cryogenically Cold Retinal Protonated #SchiffBase in Vacuo (Lars H. Andersen and co-workers) onlinelibrary.wiley.com/doi/10.1002/cp… @NatSci_AU • onlinelibrary.wiley.com/doi/10.1002/cp…

#mdpisymmetry #EditorsChoice Editor's Choice Paper Recommendation: "Making and Breaking—Insight into the Symmetry of Salen Analogues", authored by Khondakar Mohammad Salah Uddin et al. Link of the paper: brnw.ch/21wPcyu #Schiffbase #intramolecular #hydrogenbond @uniwroc

Symmetry_MDPI's tweet image. #mdpisymmetry #EditorsChoice Editor's Choice Paper Recommendation: "Making and Breaking—Insight into the Symmetry of Salen Analogues", authored by Khondakar Mohammad Salah Uddin et al.

Link of the paper: brnw.ch/21wPcyu
#Schiffbase #intramolecular #hydrogenbond
@uniwroc

Xantini et al.: 2,4-Di­chloro-6-{N-[2-(tri­fluoro­meth­yl)phen­yl]carboximido­yl}phenol #CrystalStructure #SchiffBase #Trifluoromethylaniline ... #IUCr journals.iucr.org/paper?S2414314…


Zhang et al.: Synthesis, crystal structures and anti­proliferative activities of a new indole-containing dipyridyl­methanone hydrazone Schiff base and its cadmium(II) com­plex #CadmiumIIComplex #SchiffBase ... #IUCr journals.iucr.org/paper?S2053229…


Neptunyl Pyrrophen Complexes: Exploring #SchiffBase Chemistry with Multidentate Acyclic Ligands and Transuranics (Anne E. V. Gorden and co-workers) onlinelibrary.wiley.com/doi/10.1002/ch…


I’ll tell you what stressful … finding out #HUGO — and knowing about #SchiffBase … and why Trump calls you #PencilNeck !! How much are you going to benefit because of a patent… for these batteries, they put these electric cars? And then I just have a couple more questions

USMC_Reina's tweet image. I’ll tell you what stressful … 
finding out #HUGO — and knowing about #SchiffBase … and why Trump calls you #PencilNeck !! 

How much are you going to benefit because of a patent… for these batteries, they put these electric cars? 

And then I just have a couple more questions
USMC_Reina's tweet image. I’ll tell you what stressful … 
finding out #HUGO — and knowing about #SchiffBase … and why Trump calls you #PencilNeck !! 

How much are you going to benefit because of a patent… for these batteries, they put these electric cars? 

And then I just have a couple more questions
USMC_Reina's tweet image. I’ll tell you what stressful … 
finding out #HUGO — and knowing about #SchiffBase … and why Trump calls you #PencilNeck !! 

How much are you going to benefit because of a patent… for these batteries, they put these electric cars? 

And then I just have a couple more questions
USMC_Reina's tweet image. I’ll tell you what stressful … 
finding out #HUGO — and knowing about #SchiffBase … and why Trump calls you #PencilNeck !! 

How much are you going to benefit because of a patent… for these batteries, they put these electric cars? 

And then I just have a couple more questions

Recent Trends on Zinc Complexes Bearing Bi-, Tri- and Tetra-Dentate #SchiffBase Ligands for Catalytic Ring-Opening Polymerization of Lactides (Tejpal Singh Chundawat and co-workers) onlinelibrary.wiley.com/doi/10.1002/sl…


Synthesis, In Vitro Enzymatic Inhibition, and Molecular Modeling of Novel Piperazine-Based Bis-#SchiffBase Derivatives as Promising Anti-urease Agents (Seami M. Magam and co-workers) onlinelibrary.wiley.com/doi/10.1002/sl…


Interoperability in action. 🇺🇸⚓🇪🇨 Nimitz-class aircraft carrier USS Nimitz (CVN 68) and Arleigh Burke-class guided missile destroyer USS Gridley (DDG 101) conduct formation maneuvering alongside Ecuadorian Navy Esmeralda-class missile corvettes BAE Manabi (CM 12) and BAE Loja

USNavy's tweet image. Interoperability in action. 🇺🇸⚓🇪🇨

Nimitz-class aircraft carrier USS Nimitz (CVN 68) and Arleigh Burke-class guided missile destroyer USS Gridley (DDG 101) conduct formation maneuvering alongside Ecuadorian Navy Esmeralda-class missile corvettes BAE Manabi (CM 12) and BAE Loja
USNavy's tweet image. Interoperability in action. 🇺🇸⚓🇪🇨

Nimitz-class aircraft carrier USS Nimitz (CVN 68) and Arleigh Burke-class guided missile destroyer USS Gridley (DDG 101) conduct formation maneuvering alongside Ecuadorian Navy Esmeralda-class missile corvettes BAE Manabi (CM 12) and BAE Loja
USNavy's tweet image. Interoperability in action. 🇺🇸⚓🇪🇨

Nimitz-class aircraft carrier USS Nimitz (CVN 68) and Arleigh Burke-class guided missile destroyer USS Gridley (DDG 101) conduct formation maneuvering alongside Ecuadorian Navy Esmeralda-class missile corvettes BAE Manabi (CM 12) and BAE Loja
USNavy's tweet image. Interoperability in action. 🇺🇸⚓🇪🇨

Nimitz-class aircraft carrier USS Nimitz (CVN 68) and Arleigh Burke-class guided missile destroyer USS Gridley (DDG 101) conduct formation maneuvering alongside Ecuadorian Navy Esmeralda-class missile corvettes BAE Manabi (CM 12) and BAE Loja

On the Electroanalytical Detection of Zn Ions by a Novel Schiff Base Ligand-SPCE Sensor mdpi.com/1424-8220/22/3… #SchiffBase #Fluorescence #ElectrochemicalSensors #HeavyMetals

Sensors_MDPI's tweet image. On the Electroanalytical Detection of Zn Ions by a Novel Schiff Base Ligand-SPCE Sensor
mdpi.com/1424-8220/22/3…
#SchiffBase #Fluorescence #ElectrochemicalSensors #HeavyMetals

The Voltage Dependent Sidedness of the Reprotonation of the Retinal #SchiffBase Determines the Unique Inward Pumping of Xenorhodopsin (Wachtveitl) @JosefWachtveitl #openaccess thanks to #projektDEAL onlinelibrary.wiley.com/doi/10.1002/an…

angew_chem's tweet image. The Voltage Dependent Sidedness of the Reprotonation of the Retinal #SchiffBase Determines the Unique Inward Pumping of Xenorhodopsin (Wachtveitl) @JosefWachtveitl #openaccess thanks to #projektDEAL onlinelibrary.wiley.com/doi/10.1002/an…

知名翻墙软件 Surge 开发者、北京随行科技创始人刘亚晨先生锁推,此前因「装修日记」嫌弃工人事还没干完就要尾款 而老刘自己也是支持的新协议还没加就要求用户续订才能支持一项无关紧要的新特性 可能真印证了他说的那句,没有回头客,抓带一单就要尽量多榨一点油水。显然 Surge

realNyarime's tweet image. 知名翻墙软件 Surge 开发者、北京随行科技创始人刘亚晨先生锁推,此前因「装修日记」嫌弃工人事还没干完就要尾款
而老刘自己也是支持的新协议还没加就要求用户续订才能支持一项无关紧要的新特性

可能真印证了他说的那句,没有回头客,抓带一单就要尽量多榨一点油水。显然 Surge
realNyarime's tweet image. 知名翻墙软件 Surge 开发者、北京随行科技创始人刘亚晨先生锁推,此前因「装修日记」嫌弃工人事还没干完就要尾款
而老刘自己也是支持的新协议还没加就要求用户续订才能支持一项无关紧要的新特性

可能真印证了他说的那句,没有回头客,抓带一单就要尽量多榨一点油水。显然 Surge
realNyarime's tweet image. 知名翻墙软件 Surge 开发者、北京随行科技创始人刘亚晨先生锁推,此前因「装修日记」嫌弃工人事还没干完就要尾款
而老刘自己也是支持的新协议还没加就要求用户续订才能支持一项无关紧要的新特性

可能真印证了他说的那句,没有回头客,抓带一单就要尽量多榨一点油水。显然 Surge

#highlycitedpaper Design and Characterization of Electrochemical Sensor for the Determination of Mercury(II) Ion in Real Samples Based upon a New Schiff Base Derivative as an Ionophore mdpi.com/1424-8220/21/9… @TaifUniversity @uqu_edu #Schiffbase #selectiveelectrode #sensors

Sensors_MDPI's tweet image. #highlycitedpaper
Design and Characterization of Electrochemical Sensor for the Determination of Mercury(II) Ion in Real Samples Based upon a New Schiff Base Derivative as an Ionophore
mdpi.com/1424-8220/21/9…
@TaifUniversity @uqu_edu 
#Schiffbase #selectiveelectrode #sensors

#OnTheCover Vanadium(V) Pyridine-Containing #SchiffBase Catecholate Complexes Are Lipophilic, Redox-Active and Selectively Cytotoxic in Glioblastoma (T98G) Cells onlinelibrary.wiley.com/doi/10.1002/ch… @csu_chemistry @SydneyChemistry onlinelibrary.wiley.com/doi/10.1002/ch…

ChemEurJ's tweet image. #OnTheCover Vanadium(V) Pyridine-Containing #SchiffBase Catecholate Complexes Are Lipophilic, Redox-Active and Selectively Cytotoxic in Glioblastoma (T98G) Cells onlinelibrary.wiley.com/doi/10.1002/ch… @csu_chemistry @SydneyChemistry onlinelibrary.wiley.com/doi/10.1002/ch…

Silva et al. @UnivAveiro on color tunable aggregation-induced emission in azines and #Schiffbase doi.wiley.com/10.1002/chem.2…

ChemEurJ's tweet image. Silva et al. @UnivAveiro on color tunable aggregation-induced emission in azines and #Schiffbase doi.wiley.com/10.1002/chem.2…

#OnTheCover Cu-Ln (Ln = Gd, Eu, Sm) Dinuclear Complexes Based on #SchiffBase o-van-en Ligand: Syntheses, Crystal Structures, and Magnetic Properties (Roman Boca and co-workers) onlinelibrary.wiley.com/doi/10.1002/ch…onlinelibrary.wiley.com/doi/10.1002/ch…

ChemEurJ's tweet image. #OnTheCover Cu-Ln (Ln = Gd, Eu, Sm) Dinuclear Complexes Based on #SchiffBase o-van-en Ligand: Syntheses, Crystal Structures, and Magnetic Properties (Roman Boca and co-workers) onlinelibrary.wiley.com/doi/10.1002/ch… • onlinelibrary.wiley.com/doi/10.1002/ch…

伊朗总统佩泽希齐扬:若美国政府放弃其霸权主义、尊重伊朗人民的权利,双方必将找到达成协议的途径。

BreakingAlert_'s tweet image. 伊朗总统佩泽希齐扬:若美国政府放弃其霸权主义、尊重伊朗人民的权利,双方必将找到达成协议的途径。

#ChemPhysChem #OnTheCover Absorption and Excited-State Coherences of Cryogenically Cold Retinal Protonated #SchiffBase in Vacuo (Lars H. Andersen and co-workers) onlinelibrary.wiley.com/doi/10.1002/cp… @NatSci_AUonlinelibrary.wiley.com/doi/10.1002/cp…

ChemEurope's tweet image. #ChemPhysChem #OnTheCover Absorption and Excited-State Coherences of Cryogenically Cold Retinal Protonated #SchiffBase in Vacuo (Lars H. Andersen and co-workers) onlinelibrary.wiley.com/doi/10.1002/cp… @NatSci_AU • onlinelibrary.wiley.com/doi/10.1002/cp…

Design, Synthesis and Biological Evaluation of Some Triazole Schiff’s Base Derivatives as Potential Antitubercular Agents Read: bit.ly/2Bgh00R #AntitubercularActivity #Imines #SchiffBase #TheOpenMedicinalChemistryJournal

bentham_open's tweet image. Design, Synthesis and Biological Evaluation of Some Triazole Schiff’s Base Derivatives as Potential Antitubercular Agents
Read: bit.ly/2Bgh00R
#AntitubercularActivity #Imines #SchiffBase #TheOpenMedicinalChemistryJournal

这个检测Claude风控的网站太全面了,真牛逼 检测当前Claude AI出口 IP 的纯净度 风险、IP 属性(住宅/机房/原生) DNS、UDP、指纹、历史和安全性 Claude的分流规则设计及理由 快快测测你的吧!

gxjdian's tweet image. 这个检测Claude风控的网站太全面了,真牛逼

检测当前Claude AI出口 IP 的纯净度

风险、IP 属性(住宅/机房/原生)

DNS、UDP、指纹、历史和安全性

Claude的分流规则设计及理由

快快测测你的吧!

我的第四次Claude开通了,我直接上Max了。 我看看这次多久会把我封杀了,反正越封越勇,下次还敢😂

legacyvps's tweet image. 我的第四次Claude开通了,我直接上Max了。

我看看这次多久会把我封杀了,反正越封越勇,下次还敢😂

Synthesis and Characterization of 2,3-Diaminomaleonitrile Derivatives by One-Pot Schiff Base Reaction and Their Application in Dye Synthesized Solar Cells Saifaldeen Muwafag Abdalhadi et al. doi.org/10.22146/ijc.5… #onepotreaction #2,3-diaminomaleonitrile #Schiffbase #DSSCs

IndonesJChem's tweet image. Synthesis and Characterization of 2,3-Diaminomaleonitrile Derivatives by One-Pot Schiff Base Reaction and Their Application in Dye Synthesized Solar Cells

Saifaldeen Muwafag Abdalhadi et al.

doi.org/10.22146/ijc.5…

#onepotreaction #2,3-diaminomaleonitrile #Schiffbase #DSSCs

最近感到比较后悔的一件事,就是没有从去年就建立起投资Pre-IPO私募股权的意识,当时应该还有机会投到200B以下的Anthropic,5B以下的Polymarket和Kalshi,对比现在的二级市场价,都差不多涨了3倍以上,而且这一类型的投资,基本是$1M起步,所以收益会是比较可观的,当然要扣除掉管理费/FA/Carry等费用

0xSunNFT's tweet image. 最近感到比较后悔的一件事,就是没有从去年就建立起投资Pre-IPO私募股权的意识,当时应该还有机会投到200B以下的Anthropic,5B以下的Polymarket和Kalshi,对比现在的二级市场价,都差不多涨了3倍以上,而且这一类型的投资,基本是$1M起步,所以收益会是比较可观的,当然要扣除掉管理费/FA/Carry等费用

在 GitHub上搜索 OPENAI_API_KEY,一堆API 密钥 傻子们都在标榜自己是vibe coder,真好

billtheinvestor's tweet image. 在 GitHub上搜索 OPENAI_API_KEY,一堆API 密钥

傻子们都在标榜自己是vibe coder,真好

之前一直以为是流言,直到在 GitHub Copilot 里的 ChatGPT-5.4 看到了这个

shisoftgenius's tweet image. 之前一直以为是流言,直到在 GitHub Copilot 里的 ChatGPT-5.4 看到了这个

又到了上班赚lp的时间~~~ 继续这个事件 @Polymarket

TJingbin's tweet image. 又到了上班赚lp的时间~~~
继续这个事件  @Polymarket
TJingbin's tweet image. 又到了上班赚lp的时间~~~
继续这个事件  @Polymarket

In Vitro, In Silico, ADME and Theoretical Analysis of Mn(II) and Co(II) Complexes Derived from Methyl-(Z)-N'-Carbamothioylcarbamohydrazonate #SchiffBase Ligand (Pallavi Jain and co-workers) onlinelibrary.wiley.com/doi/10.1002/cb…

ChemBiodiv's tweet image. In Vitro, In Silico, ADME and Theoretical Analysis of Mn(II) and Co(II) Complexes Derived from Methyl-(Z)-N'-Carbamothioylcarbamohydrazonate #SchiffBase Ligand (Pallavi Jain and co-workers) onlinelibrary.wiley.com/doi/10.1002/cb…

Loading...

Something went wrong.


Something went wrong.