#standardmodel kết quả tìm kiếm
#OnThisDay twelve years ago, two experiments at CERN announced the existence of a particle with characteristics consistent with those of the #HiggsBoson. Named after the late theoretical physicist Peter Higgs, its discovery crowned the #StandardModel of particle physics. In…
Today CERN’s #PhotoOfTheWeek brings you to the @CMSexperiment cavern. 🔍 CMS, or the Compact Muon Solenoid, is one of CERN’s general-purpose detectors at the Large Hadron Collider (LHC). It has a broad physics programme ranging from studying the #StandardModel to searching for…




This actually captures quite a lot :) #MachineLearning #LLMs #StandardModel #ParticlePhysics #Physics #ComputerScience

The future of physics ⏳ The March/April issue of the @CERNCourier explores the future of particle physics, featuring the proposed future colliders. They all have a rich physics case, rooted in deepening our understanding of the #Higgsboson, the #StandardModel of particle…

Teamwork makes the dream work 💪 The Compact Muon Solenoid (CMS) is one of CERN’s general-purpose detectors that boasts a broad physics programme ranging from studying the #StandardModel to searching for extra dimensions and particles that could make up #DarkMatter. This…




Here we see the barrel of the Water Cherenkov Test Experiment (WCTE). Neutrinos are among the most mysterious particles in the #StandardModel. The Water Cherenkov Test Experiment aims to shed some light on some of the mysteries related to these particles, such as their mass and…
Why is the #StandardModel not complete? CERN’s world-class research has transformed our understanding of the universe, yet many fundamental mysteries remain. Hear from Yasmine, an @LHCbExperiment's physicist, as she explains the questions left unanswered in the Standard Model of…
Got these new fridge magnets. It even has a blank magnet for the yet to be discovered particle! Apart from the incorrect spin of the graviton it looks pretty cool! P.s it was fun to put it all together without looking at google 😉 #standardmodel #physics #phdlife

Probing Resonant Production of Higgs Bosons: A report from the CMS experiment. Besides being a cornerstone of the #StandardModel (SM), the #HiggsBoson (H) opens a very powerful path to search for physics beyond the SM. In particular, in the SM there are no particles that are…

The standard model of particle physics has a large number of parameters to fix all the things that we observe and don't understand, including elementary particles and their properties. #particlephysics #standardmodel
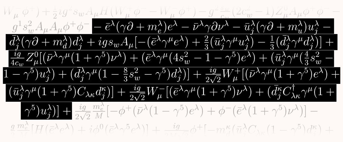
Deconstructed #StandardModel Equation. #BigData #Analytics #DataScience #AI #MachineLearning #IoT #IIoT #Python #RStats #TensorFlow #JavaScript #ReactJS #CloudComputing #Serverless #DataScientist #Linux #Mathematics #Programming #Coding #100DaysofCode geni.us/SymmetryPhysics




Il y a douze ans aujourd'hui, deux expériences au CERN annonçaient l'existence d'une particule aux caractéristiques cohérentes avec celles du #HiggsBoson. Nommée en l’honneur du physicien Peter Higgs, sa découverte a couronné le #StandardModel de la physique des particules.
Let's introduce the standard model #particlephysics #physics #standardmodel #vtuber #Science youtube.com/shorts/N2XPHWF…
Researchers detail how the Global Network of Optical Magnetometers for Exotic Physics Searches, or GNOME, could be used as a tool for #MultiMessengerAstronomy and aid in the search for physics beyond the #StandardModel. Read the paper: go.aps.org/3HlSr5H

Peter Higgs, physicist who unlocked mysteries of the universe, dies aged 94 Detection of the #HiggsBoson in 2012 at #CERN, completed the #StandardModel-of-#ParticlePhysics. & Confirmed #Higgs postulate about the existence of a #FundamentalField that: Gave #Mass-to-#Particles…

Amazing new result from g-2 Collaboration on the anomalous muon magnetic moment just released!! #Muongminus2 #g-2 #standardmodel #muon #magneticmoment

A team of UZH physicists from three different generations, Daniel Wyler, Gino Isidori, and Felix Wilsch, have published a comprehensive review of the #StandardModel of particle physics viewed as an Effective Field Theory. Read more on ArXiv: arxiv.org/pdf/2303.16922…

#physics #particles #standardmodel #particlename #science If #CONSCIOUSN... youtube.com/shorts/f77RRWK… via @YouTube
youtube.com
YouTube
#physics #particles #standardmodel #particlename #science If #CONSC...
#CMSPAS: Measurement of gluon spin effect in parton splittings (CMS-PAS-SMP-25-006) cds.cern.ch/record/2944785 #StandardModel
今日は経路積分について、ChatGPT に教えてもらいました。会話を公開します。日本語でここまで詳しい解説を無料でしてもらえるのは凄い!ただ、経路積分はユニタリ性満たすはずなのに、ループ積分で1/ε極(UV 発散)が現れる理由がわからない... #ChatGPT #StandardModel chatgpt.com/share/68d5366b…

標準模型について、ChatGPT との会話を進めてみました。会話のリンクを更新します。素人なので基礎と行ったり来たりで、読みにくくてすみません。経路積分の摂動論的な計算、積分の仕方が適当すぎて、なんとかしたくなる... #ChatGPT #StandardModel chatgpt.com/share/68d163cf…


素粒子物理学の標準模型について ChatGPT に教えてもらいました。量子重力理論にまで話が及んだので、いったんここで会話を公開。誰もそこまで訊いてないのに、ノリノリで話してくる... #ChatGPT #StandardModel chatgpt.com/share/68cd5c2a…

The standard model of particle physics has a large number of parameters to fix all the things that we observe and don't understand, including elementary particles and their properties. #particlephysics #standardmodel
The problem with many free parameters in the #StandardModel might finally be tackled with #AI (/symbolic regression)! A new paper co-authored with @hakankj illustrates this method: arxiv.org/abs/2509.07713
Could this be the end of the muon mystery? @Fermilab’s most precise measurement yet agrees with past results, and may mean no new #physics. But it’s still one of our strongest tests of the #StandardModel. Read more in @PhysRevLett: go.aps.org/45IL4OY

The standard model of particle physics is our best theory for understanding the universe's fundamental particles and forces, but it's incomplete. It doesn't explain gravity or dark matter. #ParticlePhysics #StandardModel
The standard model of particle physics is our best theory for understanding the universe's fundamental particles and forces, but it's incomplete. It doesn't explain gravity or dark matter. #ParticlePhysics #StandardModel
Deconstructed #StandardModel Equation. #BigData #Analytics #DataScience #AI #MachineLearning #IoT #IIoT #Python #RStats #TensorFlow #JavaScript #ReactJS #CloudComputing #Serverless #DataScientist #Linux #Mathematics #Programming #Coding #100DaysofCode geni.us/SymmetryPhysics




The “theory of everything” (so far): 🌌 Gravity ⚡ Electromagnetism 💥 Strong force ☢️ Weak force 🧑🔬 Matter fields ✨ Higgs boson All packed into one elegant equation—our best attempt to describe the universe in a single framework. #Physics #StandardModel #TheoryOfEverything

The “theory of everything” (so far): 🌌 Gravity ⚡ Electromagnetism 💥 Strong force ☢️ Weak force 🧑🔬 Matter fields ✨ Higgs boson All packed into one elegant equation—our best attempt to describe the universe in a single framework. #Physics #StandardModel #TheoryOfEverything

The “theory of everything” (so far): 🌌 Gravity ⚡ Electromagnetism 💥 Strong force ☢️ Weak force 🧑🔬 Matter fields ✨ Higgs boson All packed into one elegant equation—our best attempt to describe the universe in a single framework. #Physics #StandardModel #TheoryOfEverything

Yep. That makes theorizing easier. Along with "assumptions" (often already based on other assumptions, e.g. the "#StandardModel").
Not quite "wobbly" but Lazarev's paper on infobitic subquantum dynamics & "informational oscillators" debunks the #StandardModel & explains quantum entanglement, "expansion", #Time, #Space and #Matter and ultimately a stable universe. gsjournal.net/Science-Journa… #NMSI


JC 🚨 New physics preprint 🚨 Two universal decrees, no extras: 1️⃣ Charge = binary toggle 2️⃣ Frame-in-Higgs = delay field Together they’re sufficient to generate the Standard Model — inside the Timeless Light Model. Read: doi.org/10.5281/zenodo… #Physics #TLM #StandardModel
Researchers detail how the Global Network of Optical Magnetometers for Exotic Physics Searches, or GNOME, could be used as a tool for #MultiMessengerAstronomy and aid in the search for physics beyond the #StandardModel. Read the paper: go.aps.org/3HlSr5H

This actually captures quite a lot :) #MachineLearning #LLMs #StandardModel #ParticlePhysics #Physics #ComputerScience

Today CERN’s #PhotoOfTheWeek brings you to the @CMSexperiment cavern. 🔍 CMS, or the Compact Muon Solenoid, is one of CERN’s general-purpose detectors at the Large Hadron Collider (LHC). It has a broad physics programme ranging from studying the #StandardModel to searching for…




The future of physics ⏳ The March/April issue of the @CERNCourier explores the future of particle physics, featuring the proposed future colliders. They all have a rich physics case, rooted in deepening our understanding of the #Higgsboson, the #StandardModel of particle…

The delicate balance of lepton flavours The @ATLASExperiment recently presented the most precise measurements of lepton flavour universality. Lepton flavour universality is a key feature of the #StandardModel. This recent measurement was done using decays of the W boson,…

Teamwork makes the dream work 💪 The Compact Muon Solenoid (CMS) is one of CERN’s general-purpose detectors that boasts a broad physics programme ranging from studying the #StandardModel to searching for extra dimensions and particles that could make up #DarkMatter. This…




Got these new fridge magnets. It even has a blank magnet for the yet to be discovered particle! Apart from the incorrect spin of the graviton it looks pretty cool! P.s it was fun to put it all together without looking at google 😉 #standardmodel #physics #phdlife

Today at the #Moriond conference, the @ATLASexperiment & @CMSExperiment have both reported the observation of a rare phenomenon: the simultaneous production of four top quarks, which could hold the key to physics beyond the #StandardModel. Find out more: home.cern/news/news/phys…


7️⃣ The MoEDAL-MAPP experiment is designed to search for hypothetical exotic particles that would point to new physics beyond the #StandardModel of particle physics.

Probing Resonant Production of Higgs Bosons: A report from the CMS experiment. Besides being a cornerstone of the #StandardModel (SM), the #HiggsBoson (H) opens a very powerful path to search for physics beyond the SM. In particular, in the SM there are no particles that are…

#OnThisDay 50 years ago, the Gargamelle bubble chamber at CERN revealed the existence of weak neutral currents and put the nascent #StandardModel of particle physics on solid ground. Find out more: home.cern/news/news/phys…

BCD School 2025 🇫🇷 final day Prof. Stephane Monteil gave a lecture entitled “Faith (in) and fate of the #standardmodel”, while Bruna Pascual proposed “Searching for the X Boson”. Thanks to @IES_Cargese @CNRS_dr12 @UnivCorse @INFN_ @DFHUFA and Università Italo Francese




Deconstructed #StandardModel Equation. #BigData #Analytics #DataScience #AI #MachineLearning #IoT #IIoT #Python #RStats #TensorFlow #JavaScript #ReactJS #CloudComputing #Serverless #DataScientist #Linux #Mathematics #Programming #Coding #100DaysofCode geni.us/SymmetryPhysics




Standard Model ≠ Final Answer, Frequency Wave Theory Cracks the Cosmic Code #FrequencyWaveTheory #StandardModel Full Article: open.substack.com/pub/drewponder…


📚 BCD School 2023 📆 day 5 Last day of the school with teachers from @UCAuvergne: prof. Julien Donini talked about “#machinelearning”, while prof. Stephane Monteil spoke of “#StandardModel: faith and fate”. Thanks to all the participants, see you next year!



Something went wrong.
Something went wrong.
United States Trends
- 1. Branch 38.3K posts
- 2. Red Cross 58.9K posts
- 3. Chiefs 113K posts
- 4. #njkopw 10.9K posts
- 5. Knesset 20.2K posts
- 6. Lions 90.5K posts
- 7. Exceeded 5,958 posts
- 8. Binance DEX 5,216 posts
- 9. Rod Wave 1,751 posts
- 10. Mahomes 35.1K posts
- 11. Air Force One 60.1K posts
- 12. #LaGranjaVIP 84.6K posts
- 13. Use GiveRep N/A
- 14. Eitan Mor 19.4K posts
- 15. #LoveCabin 1,410 posts
- 16. Ziv Berman 22.7K posts
- 17. Alon Ohel 20K posts
- 18. Tel Aviv 62.6K posts
- 19. #TNABoundForGlory 60.9K posts
- 20. Matan Angrest 17.9K posts