#thermocomputing resultados da pesquisa

We have an exciting week ahead: Our work on #ThermoComputing will be featured at IEEE Conference on Rebooting Computing (icrc.ieee.org) in San Diego. I will present Thermo AI: arxiv.org/abs/2302.06584 @MaxAifer will present Thermo Linear Algebra arxiv.org/abs/2308.05660

ColesThermoAI's tweet image. We have an exciting week ahead: Our work on #ThermoComputing will be featured at IEEE Conference on Rebooting Computing (icrc.ieee.org) in San Diego.

I will present Thermo AI:
arxiv.org/abs/2302.06584

@MaxAifer will present Thermo Linear Algebra
arxiv.org/abs/2308.05660

Adding a new entry to the table: arxiv.org/abs/2311.12759 #ThermoComputing

ColesThermoAI's tweet image. Adding a new entry to the table:
arxiv.org/abs/2311.12759

#ThermoComputing

Lovely table of ways to compute e^A, the exponential of a matrix, by @nhigham

thomasahle's tweet image. Lovely table of ways to compute e^A, the exponential of a matrix, by @nhigham


Today, @MaxAifer won the award for the Best Short Presentation at the IEEE Rebooting Computing conference! He presented his Thermo Linear Algebra work (arxiv.org/abs/2308.05660). Congrats Max!! #IEEE #RebootingComputing #ThermoComputing

ColesThermoAI's tweet image. Today, @MaxAifer won the award for the Best Short Presentation at the IEEE Rebooting Computing conference! He presented his Thermo Linear Algebra work (arxiv.org/abs/2308.05660). Congrats Max!!

#IEEE #RebootingComputing #ThermoComputing

For more on thermodynamic computing, take a look at our prior work arxiv.org/abs/2302.06584 arxiv.org/abs/2308.05660. Big thanks to the team @Sam_Duffield @gavincrooks @thomasahle @ColesThermoAI #ThermoComputing

MaxAifer's tweet image. For more on thermodynamic computing, take a look at our prior work arxiv.org/abs/2302.06584 arxiv.org/abs/2308.05660. Big thanks to the team @Sam_Duffield @gavincrooks @thomasahle @ColesThermoAI
#ThermoComputing
MaxAifer's tweet image. For more on thermodynamic computing, take a look at our prior work arxiv.org/abs/2302.06584 arxiv.org/abs/2308.05660. Big thanks to the team @Sam_Duffield @gavincrooks @thomasahle @ColesThermoAI
#ThermoComputing

@uniservent @roydherbert What are your thoughts on the possibility of developing a computational model with this form of computing for your time model? Great work btw #ThermoComputing


Today, @MaxAifer won the award for the Best Short Presentation at the IEEE Rebooting Computing conference! He presented his Thermo Linear Algebra work (arxiv.org/abs/2308.05660). Congrats Max!! #IEEE #RebootingComputing #ThermoComputing

ColesThermoAI's tweet image. Today, @MaxAifer won the award for the Best Short Presentation at the IEEE Rebooting Computing conference! He presented his Thermo Linear Algebra work (arxiv.org/abs/2308.05660). Congrats Max!!

#IEEE #RebootingComputing #ThermoComputing

@uniservent @roydherbert What are your thoughts on the possibility of developing a computational model with this form of computing for your time model? Great work btw #ThermoComputing


We have an exciting week ahead: Our work on #ThermoComputing will be featured at IEEE Conference on Rebooting Computing (icrc.ieee.org) in San Diego. I will present Thermo AI: arxiv.org/abs/2302.06584 @MaxAifer will present Thermo Linear Algebra arxiv.org/abs/2308.05660

ColesThermoAI's tweet image. We have an exciting week ahead: Our work on #ThermoComputing will be featured at IEEE Conference on Rebooting Computing (icrc.ieee.org) in San Diego.

I will present Thermo AI:
arxiv.org/abs/2302.06584

@MaxAifer will present Thermo Linear Algebra
arxiv.org/abs/2308.05660

Adding a new entry to the table: arxiv.org/abs/2311.12759 #ThermoComputing

ColesThermoAI's tweet image. Adding a new entry to the table:
arxiv.org/abs/2311.12759

#ThermoComputing

Lovely table of ways to compute e^A, the exponential of a matrix, by @nhigham

thomasahle's tweet image. Lovely table of ways to compute e^A, the exponential of a matrix, by @nhigham


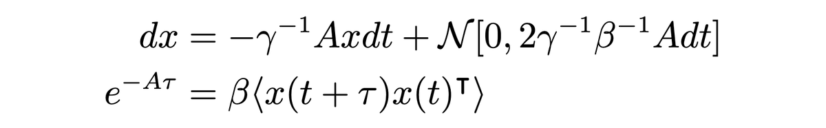
For more on thermodynamic computing, take a look at our prior work arxiv.org/abs/2302.06584 arxiv.org/abs/2308.05660. Big thanks to the team @Sam_Duffield @gavincrooks @thomasahle @ColesThermoAI #ThermoComputing

MaxAifer's tweet image. For more on thermodynamic computing, take a look at our prior work arxiv.org/abs/2302.06584 arxiv.org/abs/2308.05660. Big thanks to the team @Sam_Duffield @gavincrooks @thomasahle @ColesThermoAI
#ThermoComputing
MaxAifer's tweet image. For more on thermodynamic computing, take a look at our prior work arxiv.org/abs/2302.06584 arxiv.org/abs/2308.05660. Big thanks to the team @Sam_Duffield @gavincrooks @thomasahle @ColesThermoAI
#ThermoComputing

Nenhum resultado para "#thermocomputing"

We have an exciting week ahead: Our work on #ThermoComputing will be featured at IEEE Conference on Rebooting Computing (icrc.ieee.org) in San Diego. I will present Thermo AI: arxiv.org/abs/2302.06584 @MaxAifer will present Thermo Linear Algebra arxiv.org/abs/2308.05660

ColesThermoAI's tweet image. We have an exciting week ahead: Our work on #ThermoComputing will be featured at IEEE Conference on Rebooting Computing (icrc.ieee.org) in San Diego.

I will present Thermo AI:
arxiv.org/abs/2302.06584

@MaxAifer will present Thermo Linear Algebra
arxiv.org/abs/2308.05660

Adding a new entry to the table: arxiv.org/abs/2311.12759 #ThermoComputing

ColesThermoAI's tweet image. Adding a new entry to the table:
arxiv.org/abs/2311.12759

#ThermoComputing

Lovely table of ways to compute e^A, the exponential of a matrix, by @nhigham

thomasahle's tweet image. Lovely table of ways to compute e^A, the exponential of a matrix, by @nhigham


For more on thermodynamic computing, take a look at our prior work arxiv.org/abs/2302.06584 arxiv.org/abs/2308.05660. Big thanks to the team @Sam_Duffield @gavincrooks @thomasahle @ColesThermoAI #ThermoComputing

MaxAifer's tweet image. For more on thermodynamic computing, take a look at our prior work arxiv.org/abs/2302.06584 arxiv.org/abs/2308.05660. Big thanks to the team @Sam_Duffield @gavincrooks @thomasahle @ColesThermoAI
#ThermoComputing
MaxAifer's tweet image. For more on thermodynamic computing, take a look at our prior work arxiv.org/abs/2302.06584 arxiv.org/abs/2308.05660. Big thanks to the team @Sam_Duffield @gavincrooks @thomasahle @ColesThermoAI
#ThermoComputing

Today, @MaxAifer won the award for the Best Short Presentation at the IEEE Rebooting Computing conference! He presented his Thermo Linear Algebra work (arxiv.org/abs/2308.05660). Congrats Max!! #IEEE #RebootingComputing #ThermoComputing

ColesThermoAI's tweet image. Today, @MaxAifer won the award for the Best Short Presentation at the IEEE Rebooting Computing conference! He presented his Thermo Linear Algebra work (arxiv.org/abs/2308.05660). Congrats Max!!

#IEEE #RebootingComputing #ThermoComputing

Loading...

Something went wrong.


Something went wrong.


United States Trends