#artificiallearningsystem resultados da pesquisa

Nenhum resultado para "#artificiallearningsystem"

Improved Training Mechanism for Reinforcement Learning via Online Model Selection. arxiv.org/abs/2512.02214


Building an AI system is a careful process of reverse-engineering human traits and capabilities in a machine and using its computational prowess to surpass what we can. @Great_Learning bit.ly/3xTP10l rt @antgrasso #AI #DataScience #MachineLearning

WindowOnTech's tweet image. Building an AI system is a careful process of reverse-engineering human traits and capabilities in a machine and using its computational prowess to surpass what we can. @Great_Learning bit.ly/3xTP10l rt @antgrasso #AI #DataScience #MachineLearning

The issue with that is this is not AI, it's a computer program. It isn't learning, it's generating patterns. Learning requires understanding and AI doesn't exist yet. Machines today do not think, learn, or create, they just mirror input.


Real-Time Procedural Learning From Experience for AI Agents Bi et al.: arxiv.org/abs/2511.22074 #Artificialintelligence #DeepLearning #MachineLearning

Montreal_AI's tweet image. Real-Time Procedural Learning From Experience for AI Agents

Bi et al.: arxiv.org/abs/2511.22074

#Artificialintelligence #DeepLearning #MachineLearning

Real-Time Procedural Learning From Experience for AI Agents Bi et al.: arxiv.org/abs/2511.22074 #Artificialintelligence #DeepLearning #MachineLearning

ceobillionaire's tweet image. Real-Time Procedural Learning From Experience for AI Agents

Bi et al.: arxiv.org/abs/2511.22074

#Artificialintelligence #DeepLearning #MachineLearning

Artificial Intelligence. From Scratch to Advanced Models 🚩 🎯 navalapp.com/courses/ai-mac… 🔶 Gain a solid understanding of how machine learning models work. 🔶 Build, train, and evaluate your own AI models. 🔶 Develop a complete machine learning pipeline using real-world data.

navalapp's tweet image. Artificial Intelligence. From Scratch to Advanced Models 🚩
🎯 navalapp.com/courses/ai-mac…

🔶 Gain a solid understanding of how machine learning models work.
🔶 Build, train, and evaluate your own AI models.
🔶 Develop a complete machine learning pipeline using real-world data.

we have literally been saying this for years. it is not artificial intelligence, it is a language learning model. it’s advanced predictive text. my god, y’all. come on.

Ok this is terrifying. “AI hallucination mode”?!?



It’s not learning shit. It’s just using statistics based on a massive “training” set to come to a “probable” solution. Therefore, not coming up with novel solutions, just remixing the past. The truth is there is no “intellegence” in Artificial Intellegence.


When real data falls short, synthetic data steps up 📷📷 From removing bias to generating rare scenarios, it transforms how AI learns. AFour builds the ecosystem your models deserve. 📷📷 #ALTENGroup #ACLDigital #SyntheticData #AIInnovation #AFourTechnologies #FutureOfAI


#Humans and #ArtificialNeuralNetworks display similar patterns of #Interference and transfer when learning sequential rule-based tasks, highlighting shared challenges in acquiring and retaining knowledge. @NatureHumBehav doi.org/g9892z phys.org/news/2025-11-h…


This prompt turns any complex topic into a personalized learning system that actually sticks

MaskaraAi's tweet image. This prompt turns any complex topic into a personalized learning system that actually sticks

#Artificial #Intelligence analyzes many terabytes of #cognitive #music over six months of computing cycles. The result is the perfect session for #introspection, #meditation, and #recovery. #NowPlaying at: youtu.be/inZlJJ4T_-k

idoser's tweet image. #Artificial #Intelligence analyzes many terabytes of #cognitive #music over six months of computing cycles. The result is the perfect session for #introspection, #meditation, and #recovery. #NowPlaying at: youtu.be/inZlJJ4T_-k

4/7 🧠 As the AI improves, it can generate new examples on its own to keep learning. This means it can continue to get better without needing humans to provide every single example or correction ✔️


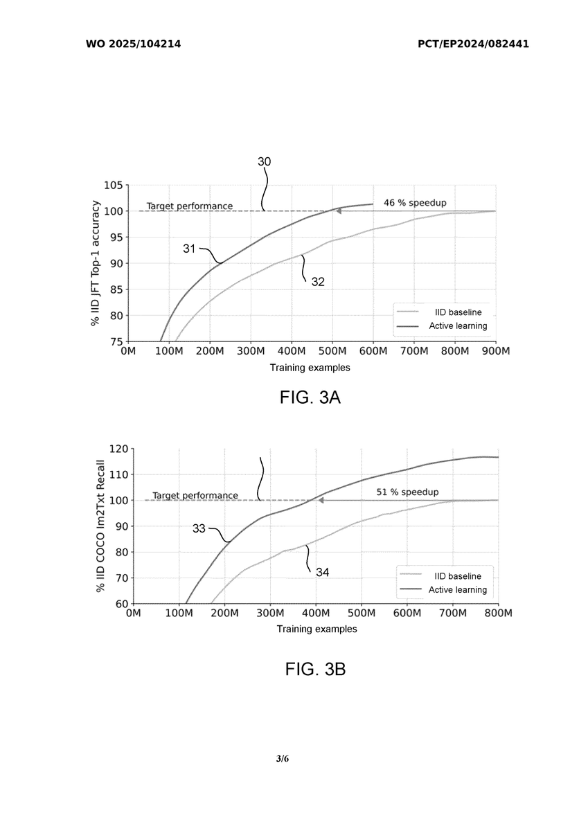
TRAINING MACHINE LEARNING MODELS USING ONLINE DATA SELECTION TECHNIQUES @GoogleDeepMind's WO2025104214A1 presents an online data selection system that adaptively chooses training examples based on each example's current learnability. The innovation addresses a core limitation in…

seti_park's tweet image. TRAINING MACHINE LEARNING MODELS USING ONLINE DATA SELECTION TECHNIQUES

@GoogleDeepMind's WO2025104214A1 presents an online data selection system that adaptively chooses training examples based on each example's current learnability. The innovation addresses a core limitation in…
seti_park's tweet image. TRAINING MACHINE LEARNING MODELS USING ONLINE DATA SELECTION TECHNIQUES

@GoogleDeepMind's WO2025104214A1 presents an online data selection system that adaptively chooses training examples based on each example's current learnability. The innovation addresses a core limitation in…

개인적으로 이번 Ilya Sutskever님의 인터뷰에서 가장 인상 깊었던 부분은, 사람과 현재의 AI 모델의 차이점을 비교하는 부분이었습니다. 사람들이 10-20년 간 정규 교육기관에서 학습을 받은 뒤, 현장에서 경험과 지식을 쌓으며 사고 능력을 확장하는 것과 달리, 현재의 AI 모델들은 엄청나게 많은…



AI-generated lesson plans fall short on inspiring students and promoting critical thinking buff.ly/7oHKOdO via @ConversationUS #ArtificialIntelligence #Innovation #technology #Tech #TechNews #ArtificialInteligence

Timothy_Hughes's tweet image. AI-generated lesson plans fall short on inspiring students and promoting critical thinking buff.ly/7oHKOdO via @ConversationUS #ArtificialIntelligence #Innovation #technology #Tech #TechNews #ArtificialInteligence

Then you don't understand AI. It simulates learning, it doesn't have the capacity to actually learn. It's a command prompt tied to RNG filtered by an algorithm to alter its available input data. It's "learning" is the algorithm hypothetically improving which it really hasn't.


AI systems are no longer just tools; they’re learning agents that adapt in real-time environments. #artificialintelligence

caglarr1881's tweet image. AI systems are no longer just tools; they’re learning agents that adapt in real-time environments. #artificialintelligence

Nenhum resultado para "#artificiallearningsystem"
Nenhum resultado para "#artificiallearningsystem"
Loading...

Something went wrong.


Something went wrong.


United States Trends