#automateddifferentiation search results

An introduction to infinite projected entangled-pair state methods for variational ground state simulations using automatic differentiation scipost.org/10.21468/SciPo… Ideas of #automateddifferentiation are powerful tools in the study of #tensornetworks.

jenseisert's tweet image. An introduction to infinite projected entangled-pair state methods for variational ground state simulations using automatic differentiation

scipost.org/10.21468/SciPo…

Ideas of #automateddifferentiation are powerful tools in the study of #tensornetworks.

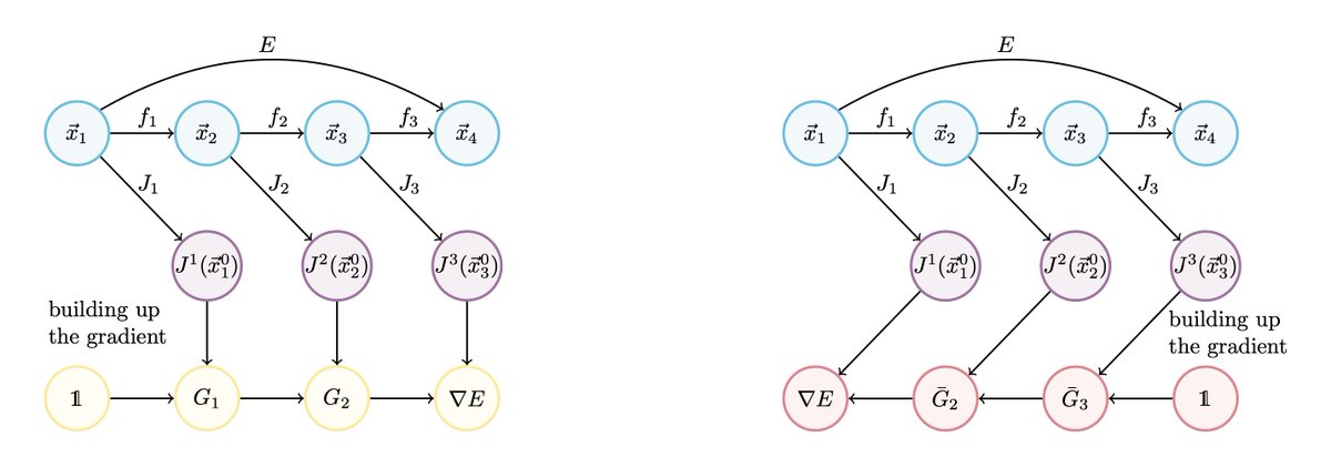
Notions of #automateddifferentiation have a substantial impact on machine learning and are starting to be used for #tensornetworks. We discuss a framework and present #variPEPS - a versatile tensor network library for variational ground state simulations. scirate.com/arxiv/2308.123…

jenseisert's tweet image. Notions of #automateddifferentiation have a substantial impact on machine learning and are starting to be used for #tensornetworks. We discuss a framework and present #variPEPS - a versatile tensor network library for variational ground state simulations.

scirate.com/arxiv/2308.123…

AI automates differentiation: Create personalized learning plans for each student, reducing teacher workload. #AI #AutomatedDifferentiation #PersonalizedLearningPaths #EmpoweredTeachers #AiMinds


An introduction to infinite projected entangled-pair state methods for variational ground state simulations using automatic differentiation scipost.org/10.21468/SciPo… Ideas of #automateddifferentiation are powerful tools in the study of #tensornetworks.

jenseisert's tweet image. An introduction to infinite projected entangled-pair state methods for variational ground state simulations using automatic differentiation

scipost.org/10.21468/SciPo…

Ideas of #automateddifferentiation are powerful tools in the study of #tensornetworks.

AI automates differentiation: Create personalized learning plans for each student, reducing teacher workload. #AI #AutomatedDifferentiation #PersonalizedLearningPaths #EmpoweredTeachers #AiMinds


Notions of #automateddifferentiation have a substantial impact on machine learning and are starting to be used for #tensornetworks. We discuss a framework and present #variPEPS - a versatile tensor network library for variational ground state simulations. scirate.com/arxiv/2308.123…

jenseisert's tweet image. Notions of #automateddifferentiation have a substantial impact on machine learning and are starting to be used for #tensornetworks. We discuss a framework and present #variPEPS - a versatile tensor network library for variational ground state simulations.

scirate.com/arxiv/2308.123…

No results for "#automateddifferentiation"

Notions of #automateddifferentiation have a substantial impact on machine learning and are starting to be used for #tensornetworks. We discuss a framework and present #variPEPS - a versatile tensor network library for variational ground state simulations. scirate.com/arxiv/2308.123…

jenseisert's tweet image. Notions of #automateddifferentiation have a substantial impact on machine learning and are starting to be used for #tensornetworks. We discuss a framework and present #variPEPS - a versatile tensor network library for variational ground state simulations.

scirate.com/arxiv/2308.123…

An introduction to infinite projected entangled-pair state methods for variational ground state simulations using automatic differentiation scipost.org/10.21468/SciPo… Ideas of #automateddifferentiation are powerful tools in the study of #tensornetworks.

jenseisert's tweet image. An introduction to infinite projected entangled-pair state methods for variational ground state simulations using automatic differentiation

scipost.org/10.21468/SciPo…

Ideas of #automateddifferentiation are powerful tools in the study of #tensornetworks.

Loading...

Something went wrong.


Something went wrong.


United States Trends