#basicmathassignmenthelp результаты поиска
🪷🍄. LATIHAN SOAL BILANGAN BULAT DAN PECAHAN (FUNDAMENTAL MATEMATIKA) yuk bareng-bareng perkuat fundamental matematika nya 🙇🏻♀️🪷 disini aku mau sharing latihan soal sekaligus pembahasannya nih. (correct me if i'm wrong yap 🤓🐠) sumber: drive.google.com/drive/folders/…




guys aku ada logic untuk soal ini !! 1 : coret 2 angka sama di awal 2 : dari a x b dicari angka paling kecilnya (a = 18 dan b = 22), diturunin 1 angka buat jd patokan = 17 dan 21 3 : cari angka option a-e (jarak angka ke patokan) 4 : dikurang *option e 2-4 = -2. anw cmiiw 🫶🏻

🧮 Six Strategies – Video 6 The Inverse Strategy helps pupils solve subtraction using what they already know. If 17 + 26 = 43, then 43 − 17 = 26. Addition and subtraction are connected - let’s teach pupils to use that connection. 🎥 Watch: youtube.com/watch?v=5L1Ap5… #primarymaths

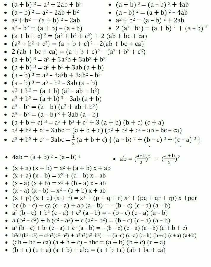
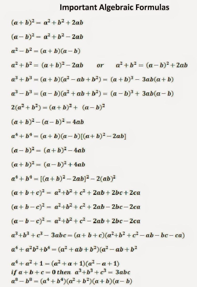
I've taught math in universities for decades. If students coming out of high school knew these four pages, I think they would do well in first-year math courses

Teacher: What's the chemical formula for water? Student: H,I,J,K,L,M,N,O Teacher: What!? Student: Yesterday you said it's H to O

Holy shitfor some reason the formula I'm using for these problems that worked perfect before is giving me the most whack answers I genuinely don't know if I'm doing smth wrong I've looked over my notes and my homework a million times and everything looks the same wtf
normal person: 9+7=16 me: if 10+7 is 17 and 9 is one less than 10 then 9+7 must be 16
I have just solved this problem 2ways and discovered I have used the geometric mean. ?why is this not in the English maths curriculum?

🔔 Major Reforms in AP Intermediate Education! 📘 Maths 1A & 1B merged into a single subject — now 100 marks, pass marks 35. 🧬 In BiPC, Botany & Zoology merged into Biology — 1st year: 85 marks (pass 29), 2nd year: pass 30 marks. #AndhraPradesh #Education #APIntermediate

Mathematics is one of the most ignored topics in Competitive Programming. I have seen many folks being very weak in this topic. Try CSES maths problems set to test and improve your maths skills. It covers some of the common fundamental techniques. Starting 15 problems is very…

6 ÷ 2 (1+2) = 6 ÷ 2 (3) = 3 x (3) = 9 When you have multiplications and divisions you have to solve it from left to right, so 6 ÷ 2 = 3 and 3 x 3 = 9, maybe you forgot algebra

If you get married to your current partner, who will solve this for your kids??

mathematics course STUDY TIP ! formula: START FROM BASIC DOMINO EFFECT, CURIOSITY, BASIC ! you might be wondering "then how do we start from basic?", well the answer is, as simple as it is, avoid complications, START FROM BASICS; thread


🤔 Solve This Tricky Problem w/o a Calculator‼️ 🧮 Share Your Answer Below!👇

🇮🇳 CLASS 1 NEGATIVES 🤯 Brahmagupta 0 = ⁻a + ⁺a Śrīpati 0 – 土a = 干a On Ground Level Zero Split 0 into 1 Brick (⁺1) & 1 Hole (⁻1) FROM ZERO Take away 1 Brick (⁺1) leaves 1 Hole (⁻1) Or Take away 1 Hole (⁻1) leaves 1 Brick (⁺1) SO 0 – ⁺1 = ⁻1 & 0 – ⁻1 = ⁺1🙏 Share?
Something went wrong.
Something went wrong.
United States Trends
- 1. Elander 2,513 posts
- 2. Tosin 6,611 posts
- 3. Tony Vitello 10.6K posts
- 4. Caicedo 13K posts
- 5. Danny White 2,147 posts
- 6. Frank Anderson N/A
- 7. Ekitike 16.1K posts
- 8. SNAP 657K posts
- 9. East Wing 136K posts
- 10. #YesOnProp50 3,089 posts
- 11. Frankfurt 36.6K posts
- 12. #LoveIsBlindS9 3,066 posts
- 13. Ajax 56.3K posts
- 14. Surviving Mormonism N/A
- 15. #GirlPower N/A
- 16. #GirlBoss N/A
- 17. #13YearsofRED 1,333 posts
- 18. Konate 3,450 posts
- 19. Brahim 6,225 posts
- 20. San Francisco Giants 4,097 posts