#basicmaths 搜尋結果
If this is a real poll why does the total votes come out as 131%? Everyone knows if you've surveyed 3246 adults the total should be 32.46% because percent means divide by a hundred. #BasicMaths
If this is a real poll why does the total votes come out as 131%? Everyone knows if you've surveyed 3246 adults the total should be 32.46% because percent means divide by a hundred. #BasicMaths
One. Un. Uno. Eins. PLUS one in return is a whopping great fat ZERO. #BasicMaths A gifted grifter who may, in turn, prove to also be a nonce, rapist, career criminal, terrorist, cultural 5th columnist, skiving beggar, <insert undesirable and incompatible drain of choice>.…
Today, we have dealt a blow to the smuggler gangs. The removal of small boat migrants to France has begun. I will do whatever it takes to secure our borders – and this is a vital first step.
One. Un. Uno. Eins. PLUS one in return is a whopping great fat ZERO. #BasicMaths A gifted grifter who may, in turn, prove to also be a nonce, rapist, career criminal, terrorist, cultural 5th columnist, skiving beggar, <insert undesirable and incompatible drain of choice>.…
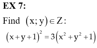
Basic Logarithms #class11 #physics #basicmaths youtu.be/X_S1wMWBDSY
youtube.com
YouTube
Basic Logarithms #class11 #physics #basicmaths
Basic Coordinate Geometry #class11 #physics #basicmaths youtu.be/h8tlg2aN1jg
youtube.com
YouTube
Basic Coordinate Geometry #class11 #physics #basicmaths
ಮಕ್ಕಳಿಗೆ ಗಣಿತ 'ಕಬ್ಬಿಣದ ಕಡಲೆ' ಸರಳ, ಮೂಲ ಲೆಕ್ಕವೇ ಬರುವುದಿಲ್ಲ: ಸಮೀಕ್ಷೆಯಿಂದ ಬಹಿರಂಗ kannadaprabha.com/nation/2025/Ju… @XpressBengaluru @NewIndianXpress @CMofKarnataka @narendramodi @PMOIndia @EduMinOfIndia @NSMQGhana @MathsMastery @MoMath1 #Basicmaths #Children #ಮೂಲಗಣಿತ #ಶಾಲಾಮಕ್ಕಳು
When supply is high prices are low!! #BasicMaths
#CBSE Allows Class 10 #BasicMaths Students To Opt For Standard Maths In Class 11 zeenews.india.com/education/cbse…
#basicmaths Basic से maths सीखे, Class 1 to Competitive Exam दुनिया के ऐसे व्यक्ति जो age cross होने के बाद math सीखना चाहते हैं तो इस Link पर click कर अपने उज्जवल भविष्य की कामना कर सकते हैं youtube.com/playlist?list=…

🔢 SI/Constable Special Sessions – Basic Maths🎯 📍Dilsukhnagar IACE Don’t miss this exclusive session designed for SI & Constable aspirants!💪📖 🏆 THINK GOVT JOB🤔 THINK IACE 🎯 #SISpecialSessions #ConstableCoaching #BasicMaths #DilsukhnagarIACE #ThinkGovtJobThinkIACE 🚀
It has been a known OpenAI / Copilot issue for a while. Apparently, it still is: I just tried it, using Copilot... #OpenAI #Copilot #BasicMaths #AI #Allucinations

Something went wrong.
Something went wrong.
United States Trends
- 1. phil 96.9K posts
- 2. phan 82.6K posts
- 3. Falcons 16.4K posts
- 4. Bills 85.6K posts
- 5. Jorge Polanco 6,846 posts
- 6. Columbus 235K posts
- 7. Tyler Allgeier N/A
- 8. Bijan 4,007 posts
- 9. Mitch Garver N/A
- 10. Mike Hughes N/A
- 11. Doug Eddings 1,118 posts
- 12. #DirtyBirds 1,331 posts
- 13. Kincaid 1,813 posts
- 14. #RiseUp N/A
- 15. Joe Davis N/A
- 16. Middle East 332K posts
- 17. Monday Night Football 7,734 posts
- 18. Jake Moody N/A
- 19. Taylor Rapp N/A
- 20. Martin Sheen 2,021 posts