#bill6 arama sonuçları

Congratulations to @highlinemushrms for your $20 million expansion investment in Alberta, & thx for your strong support for scrapping and replacing #Bill6. This vote of confidence in our economy will add to supply of local produce & create 120 new jobs. discoverairdrie.com/local/highline…

jkenney's tweet image. Congratulations to @highlinemushrms for your $20 million expansion investment in Alberta, & thx for your strong support for scrapping and replacing #Bill6.

This vote of confidence in our economy will add to supply of local produce & create 120 new jobs.

discoverairdrie.com/local/highline…

Kenney vows to axe, replace rules on Alberta farm employment and injury compensation #abpoli #abgov #bill6 trib.al/Af64ZwN


I don't remember the Ford government campaigning for a mandate to turn Ontario into a maple favoured version of Trump's U.S.A. Yet step by step, with the across-the-board power-grab of #Bill5, and targeted cruelties like #Bill6, that's exactly what they are doing.

Bill 6 threatens people sleeping in parks with fines of up to $10,000 or jail. This is inhumane, expensive and futile. People need housing, not jail time. I will continue to push for supportive and affordable housing as the real solutions that prove we can end homelessness.



Kenney vows to axe, replace rules on Alberta farm employment and injury compensation #abpoli #abgov #bill6 trib.al/gvpFzsr


Mandatory reading and math screening will make sure every child is set up for success. #abed #Bill6


Ontario's #bill6 is all about Doug Ford's pals setting up prison work camps for the homeless and making a bundle of profit from tax payers money.


Hello?? .?.?…. Pay some attention for once, @jkenney #ucp!! #bill6 works! #ableg #abag #reasonsruralrocks

Congratulations to Alberta's Agriculture Industry, no non-family Farmworkers were killed on the job in 2017-2018. The Alberta Government's Bill 6 made all the difference! Don an Ag Safe Ribbon! Show support for the men, women & children working to... facebook.com/farmworkersuni…



Rachel Notley and the NDP ran on resurrecting #Bill6 and attacking family farms and ranches. One more reason Albertans kept them out of government. The UCP has farmers and ranchers in their caucus, and always stands by their side! #ableg #abvotes

Farmers are critical to the wellbeing of Alberta, Canada and the world. They work tirelessly to feed us all – rain or shine. On Farmers’ Day, we say thank you to our farmers for all they do. Thank you! 🚜 #farmersday #ableg #abpoli

UCPCaucus's tweet image. Farmers are critical to the wellbeing of Alberta, Canada and the world. They work tirelessly to feed us all – rain or shine. On Farmers’ Day, we say thank you to our farmers for all they do. Thank you! 🚜

#farmersday #ableg #abpoli


"If passed, the law will prohibit companies with a license to use names or symbols that have a medical connotation or that encourage people to use #cannabis." Says @KathleenGanley in reponse to introdiucing #Bill6 in @LegAssemblyofAB


Alberta farm/ranch workers able to use older equipment & forego seatbelts when impractical under new #abgov health and safety rules coming by Dec #Bill6 trib.al/RIH10k6


Who needs farm safety anyway? #Bill6 #ableg


Updating legislation to prepare for #legal cannabis in Alberta @YourAlberta @AGLCdotCA #Bill6 alberta.ca/release.cfm?xI…


We introduced Bill 6 to ensure all Alberta students build strong foundations in math and reading, paving the way for a brighter future for our province. #abed #Bill6


Kid-friendly names for #cannabis retail store not allowed under proposed @YourAlberta legislation #Bill6 via @GKentYEG edmontonjournal.com/news/politics/…


#Alberta NDP leader Rachel Notley said if elected, she would consider resurrecting #Bill6, a controversial bill that was put in place in 2016 to regulate farms and ranches. theepochtimes.com/alberta-ndp-le…


Join us on CBC North Radio One for a discussion on the legalization of cannabis. Joining in the discussion this afternoon will be MLA Tom Beaulieu, and MLA Michael Nadli. Also joining us will be law and medical experts to answer a variety of questions. #bill6


Good to see this being reintroduced. Hopefully, #Bill6 championed by @PaulMillerMPP will also be re-introduced. It is an important and long awaited attempt to establish social assistance rates that make sense.


Additional amendments to other Acts to provide further clarity by @YourAlberta @AGLCdotCA #CannabisAct #Bill6

_deepakanand's tweet image. Additional amendments to other Acts to provide further clarity by @YourAlberta @AGLCdotCA #CannabisAct #Bill6

#Bill6, the Safer Municipalities Act — prohibits the consumption of illegal drugs in public spaces and increases fines for trespassing. #Legal critics say new laws fail to address root causes of #homelessness and #addictions. #Ontario #cdnpoli timminstoday.com/local-news/pro…

ACLRC's tweet image. #Bill6, the Safer Municipalities Act — prohibits the consumption of illegal drugs in public spaces and increases fines for trespassing. #Legal critics say new laws fail to address root causes of #homelessness and #addictions. #Ontario #cdnpoli timminstoday.com/local-news/pro…

We are seeing more and more working Torontoians and Seniors underhoused or without housing in #Toronto @TUHUnion_ and then with #Bill6 if your worker does not show up for work ? This is hurting #Toronto @MayorOliviaChow Speak to Premier Ford. @BravoDavenport @JoshMatlow


I wish we had a Premier who understood this. Unfortunately it's only reserved for family members, our families don't count. Right @fordnation Fines & jail for them! #DougFordCruelty #Bill6

This a thousand times!

guyfelicella's tweet image. This a thousand times!


I Voted For #Bill6 & #Bill10- I Voted for Law, Order & Helping People "[FYI] Schedule 8 of Bill 10 makes landlords criminally liable for drug activity on their premises:" MPP @Inportdover Brady tinyurl.com/bdeark9t

inportdover's tweet image. I Voted For #Bill6 & #Bill10- I Voted for Law, Order & Helping People 

"[FYI] Schedule 8 of Bill 10 makes landlords criminally liable for drug activity on their premises:" MPP @Inportdover Brady
tinyurl.com/bdeark9t

Ford’s Bill 6 attacks unhoused Ontarians – letting police forcibly remove them from public spaces. It hides the homelessness crisis instead of fixing it. #Bill6 punishes poverty, protects profits. 👉 Statement: communistpartyontario.ca/scrap-bill-6-s… #OnPoli #OnLab

ONCommunists's tweet image. Ford’s Bill 6 attacks unhoused Ontarians – letting police forcibly remove them from public spaces. It hides the homelessness crisis instead of fixing it. #Bill6 punishes poverty, protects profits.

👉 Statement: communistpartyontario.ca/scrap-bill-6-s…
#OnPoli #OnLab

canada_disabled's tweet image. @MaritStiles @BonnieCrombie @MarkJCarney @CanadianPM @PattyHajdu
@SeanFraserMP @JohnFraserOS @MikeSchreiner @djnontario
@InclusionCA @srpoverty @kurtgoddard @ARCHDisability
@KristaCarrNB @CdnHumanRights #Ont #Bill6
Needs Court Challenge as it violates Article 5 UNDec Hunan Rights

Policing unhoused people in need of supportive and other housing is both an inhumane and expensive government policy choice: 1 month in hospital ~ $30,000 1 month in prison ~ $13,000 1 month in shelter ~ $6,500 1 month in supportive housing ~ $4,000 #OnPoli #ToPoli #CanPoli



#Bill6's passing brings to mind @JoannaLavoie's chilling Feb. 9 story citing data from a #TPH study: Jan-June in 2024, median age of death for unhoused women in TO was 36. For unhoused men, 50. Now, even more unhoused ppl will prematurely die. They deserve housing not prisons.


@UN_Enable #COSP18 @KristaCarrNB @kurtgoddard @PattyHajdu #Ont #Bill6 @CanadianPM Premier ON @fordnation just passed a bill to fine & lock up homeless people in Encampments many who have various Disabilities This law is a dereliction of duty & mismanagement of the public purse &

Doug Ford is rolling out a three-act austerity agenda. It starts by cutting social spending, villainizing the poor and public workers to deflect blame, then opening the gates to corporate heroes who will purportedly save the day. My latest @TorontoStar thestar.com/opinion/contri…



#onpoli #canpoli Why are elected officials allowed to so blatantly lie to the public? @LGOntario In a housing crisis why is this acceptable? Does everyone rounded up under #Bill6 now have cause of action vs government? #canlaw #absurdity It is re-victimizing victims of policy

❌ FALSE In the 2025 Budget, government scaled back their housing starts projections by 66,700 homes. That means 66,700 FEWER homes. @RobFlackEML @TDotResident @corruptario

deeb_nina's tweet image. ❌ FALSE 
In the 2025 Budget, government  scaled back their housing starts projections by 66,700 homes. That means 66,700 FEWER homes.  @RobFlackEML @TDotResident @corruptario


I'm curious while #Bill60 abuse is happening why #bill6 #bill10 penalties appear to be steeper #PreferentialTreatment #onpoli #onhealth #privatization #austerity #sabotage @RCMPONT maybe fraud needs investigating ontariohealthcoalition.ca/index.php/ther…


@fordnation #Bill6 The Ontario govt has criminalized homelessness. Hello Doug Trump. #Homelessness #Ontario #Shelter #HousingFirst

I voted NO to Bill 6 because I don’t support criminalizing people experiencing homelessness. The solution to homelessness is housing, not jail. It is far cheaper and more humane to house someone than to throw them in jail. 4/7



Doug Ford posted a video today promoting himself, yet again, with the usual slogan that he’s on a “mission to Protect Ontario.” He forgot to include these 2 words though. ⤵️💰💰🤨💰💰

portagebaygirl1's tweet image. Doug Ford posted a video today promoting himself, yet again, with the usual slogan that he’s on a “mission to Protect Ontario.”  He forgot to include these 2 words though. ⤵️💰💰🤨💰💰


💯!!! @OntarioNDP only pretends to be the party of Jack Layton @MaritStiles gets hyper focused on one issue and all other legislation gets passed @RoyalFamily it is a Disgrace that @LGOntario gave Royal Assent to Ontario #BIll6 #Bill5 + today. Fining Ontarians for being

Would the NDP be more or less likely to fight as hard for people on ODSP as it does for the Green Belt and against Bill 5 if we duct taped some leafy branches to our wheelchairs ? Asking for 500,000 starving friends. #ODSP



Proud to stand with my @OntarioNDP colleagues and others today in standing up to Bill 6. People need housing, not jail time. No one should be criminalized or fined because they don’t have a place to call home. Supportive housing, expanded mental health care, addiction

JessicaBellTO's tweet image. Proud to stand with my @OntarioNDP colleagues and others today in standing up to Bill 6.

People need housing, not jail time. No one should be criminalized or fined because they don’t have a place to call home. 

Supportive housing, expanded mental health care, addiction
JessicaBellTO's tweet image. Proud to stand with my @OntarioNDP colleagues and others today in standing up to Bill 6.

People need housing, not jail time. No one should be criminalized or fined because they don’t have a place to call home. 

Supportive housing, expanded mental health care, addiction
JessicaBellTO's tweet image. Proud to stand with my @OntarioNDP colleagues and others today in standing up to Bill 6.

People need housing, not jail time. No one should be criminalized or fined because they don’t have a place to call home. 

Supportive housing, expanded mental health care, addiction


Bill 6 has just been passed, with third reading debate cut to just 9 minutes. Once it receives royal assent, the law will now be to punish people living outdoors with jail time and $10,000 fines. Last year, 80,000 Ontarians were homeless.



What about the "war" on the homeless Cheri? #Bill6


@LGOntario @OntHumanRights Do you support genocide? #Bill6 & #Bill10 on top of status quo make it hard to deny.


#Bill5 #Bill6 #Bill10 #Bill17 etc all assented should be challenged, & those still needing assent shouldnt get it @LGOntario @JessicaBellTO


I don't remember the Ford government campaigning for a mandate to turn Ontario into a maple favoured version of Trump's U.S.A. Yet step by step, with the across-the-board power-grab of #Bill5, and targeted cruelties like #Bill6, that's exactly what they are doing.

Bill 6 threatens people sleeping in parks with fines of up to $10,000 or jail. This is inhumane, expensive and futile. People need housing, not jail time. I will continue to push for supportive and affordable housing as the real solutions that prove we can end homelessness.



ICYMI: With the ON government proroguing, some good legislation has been killed. One such bill would establish a process so social assistance rates reflect the real cost of living. It should be reintroduced. Here's #Bill6 ontla.on.ca/web/bills/bill…

HamiltonJustice's tweet image. ICYMI: With the ON government proroguing, some good legislation has been killed. One such bill would establish a process so social assistance rates reflect the real cost of living. It should be reintroduced.  Here's #Bill6 ontla.on.ca/web/bills/bill… …

Today we lost one of the important contributors to making the world a better place! A true champion in every sense of the word…athletics, humanity and equality! RIP Big Bill Russell! #goat #champ #Bill6

alhutchinson59's tweet image. Today we lost one of the important contributors to making the world a better place! A true champion in every sense of the word…athletics, humanity and equality! RIP Big Bill Russell! #goat #champ #Bill6

A good dialogue w/the right professionals helps; knowing when #architectscanhelp ; bring in the regs for #bill6 wd make a huge diff @TOAdamVaughan @Yasir_Naqvi ; much stems from crap #procurement strategies (you get the building asked for, not the one wanted); ex of BS below

ArchitectsDCA's tweet image. A good dialogue w/the right professionals helps; knowing when #architectscanhelp ; bring in the regs for #bill6 wd make a huge diff @TOAdamVaughan @Yasir_Naqvi ; much stems from crap #procurement strategies (you get the building asked for, not the one wanted); ex of BS below

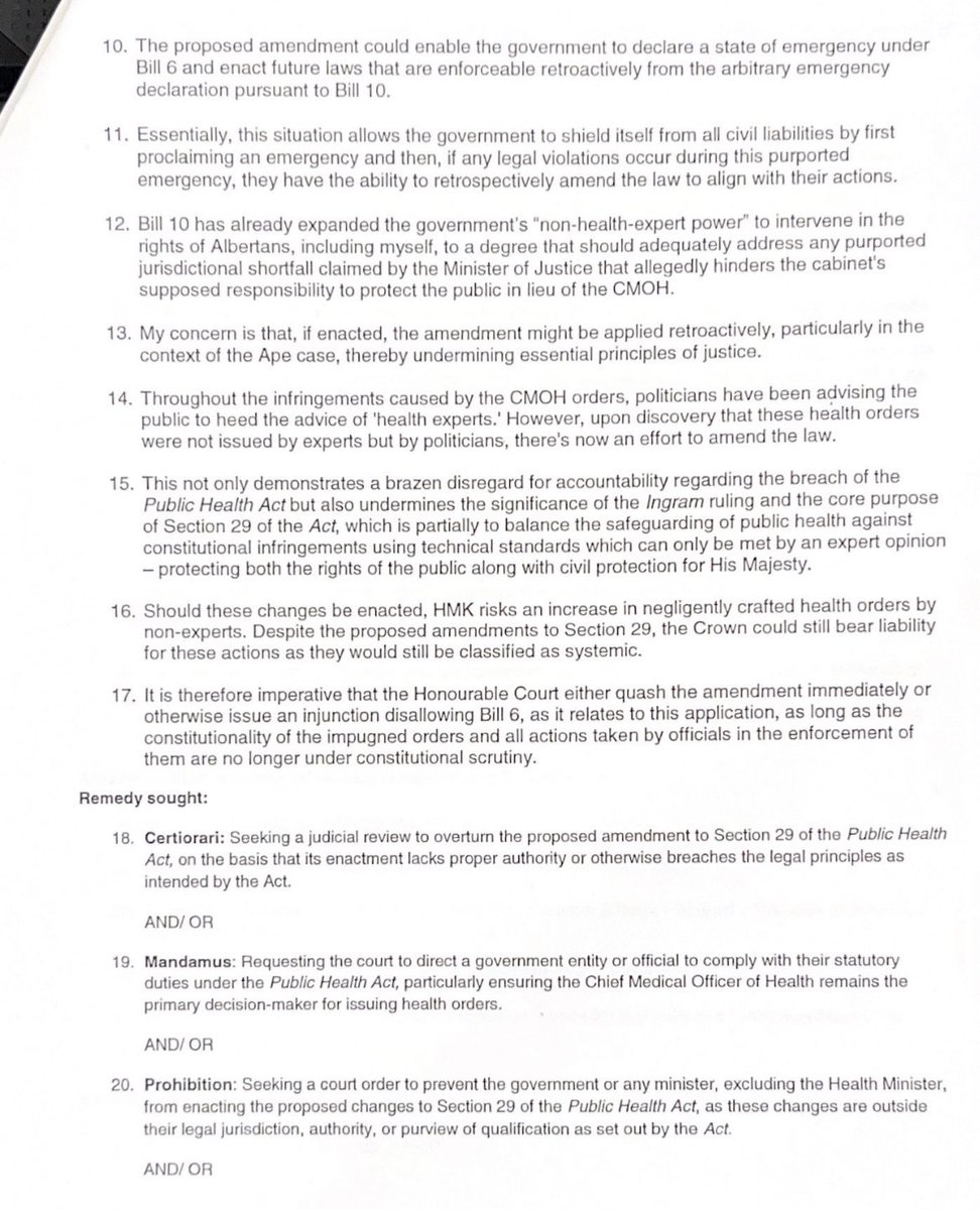
Put Bill 6 under judicial review today. The government is proposing that Health directives show be made by the lieutenant governor instead of a qualified health expert. Do you agree? Does this support your stance that the public health orders were “scientific”? #Bill6 #Covid #ahs

CMOHultravires's tweet image. Put Bill 6 under judicial review today. The government is proposing that Health directives show be made by the lieutenant governor instead of a qualified health expert. Do you agree? Does this support your stance that the public health orders were “scientific”? #Bill6 #Covid #ahs
CMOHultravires's tweet image. Put Bill 6 under judicial review today. The government is proposing that Health directives show be made by the lieutenant governor instead of a qualified health expert. Do you agree? Does this support your stance that the public health orders were “scientific”? #Bill6 #Covid #ahs
CMOHultravires's tweet image. Put Bill 6 under judicial review today. The government is proposing that Health directives show be made by the lieutenant governor instead of a qualified health expert. Do you agree? Does this support your stance that the public health orders were “scientific”? #Bill6 #Covid #ahs
CMOHultravires's tweet image. Put Bill 6 under judicial review today. The government is proposing that Health directives show be made by the lieutenant governor instead of a qualified health expert. Do you agree? Does this support your stance that the public health orders were “scientific”? #Bill6 #Covid #ahs

NDP's #Bill6 was met w/ protests from ag community in 2016, now UCP are reviewing the law, consulting with farmers/industry to create the Farm Freedom & Safety Act, but not all farmers want change- more at 6 @ABPrimetime

CheSkulskiCTV's tweet image. NDP's #Bill6 was met w/ protests from ag community in 2016, now UCP are reviewing the law, consulting with farmers/industry to create the Farm Freedom & Safety Act, but not all farmers want change- more at 6 @ABPrimetime

Bill 6 could improve the Québec registry of lobbyists, but may also result in more enforcement actions for alleged illegal lobby. Find our more from our latest Lobbying Law bulletin on how Bill 6 may affect your business or organization: bit.ly/2tUleVt #Bill6 #Quebec

FaskenLaw's tweet image. Bill 6 could improve the Québec registry of lobbyists, but may also result in more enforcement actions for alleged illegal lobby. Find our more from our latest Lobbying Law bulletin on how Bill 6 may affect your business or organization: bit.ly/2tUleVt #Bill6 #Quebec

Some of the significant amendments to @YourAlberta Gaming & Liquor Act in relation to #Cannabis retail for non-medical purposes in the province. #Bill6

_deepakanand's tweet image. Some of the significant amendments to @YourAlberta Gaming & Liquor Act in relation to #Cannabis retail for non-medical purposes in the province. #Bill6
_deepakanand's tweet image. Some of the significant amendments to @YourAlberta Gaming & Liquor Act in relation to #Cannabis retail for non-medical purposes in the province. #Bill6

New #Bill6 OHS rules "a significant win" but concerns about enforcement and legacy equipment mean #farmworkers will continue to be injured and killed on the job: parklandinstitute.ca/despite_realpo… #abpoli #canlab #ohs

ParklandInst's tweet image. New #Bill6 OHS rules "a significant win" but concerns about enforcement and legacy equipment mean #farmworkers will continue to be injured and killed on the job: parklandinstitute.ca/despite_realpo…
#abpoli #canlab #ohs

Additional amendments to other Acts to provide further clarity by @YourAlberta @AGLCdotCA #CannabisAct #Bill6

_deepakanand's tweet image. Additional amendments to other Acts to provide further clarity by @YourAlberta @AGLCdotCA #CannabisAct #Bill6

ICYMI: Deputy @Ont_Ombudsman Barbara Finlay today urged committee to fix 'gaps' in new corrections bill before it's passed - read her remarks & Ombudsman Paul Dubé's written submission here: bit.ly/2K1bhwr #Bill6 #onpoli

eljaydubya's tweet image. ICYMI: Deputy @Ont_Ombudsman Barbara Finlay today urged committee to fix 'gaps' in new corrections bill before it's passed - read her remarks & Ombudsman Paul Dubé's written submission here: bit.ly/2K1bhwr #Bill6 #onpoli

Very sorry to hear #Bill6 -@PaulMillerMPP's private member's bill to create non-partisan process to set fair social assistance rates will not reach 3rd reading at Queen's Park. The idea remains bold & essential to help lift 940,000+ recipients out of deep poverty! #OnPoli

TomCoopster's tweet image. Very sorry to hear #Bill6 -@PaulMillerMPP's private member's bill to create non-partisan process to set fair social assistance rates will not reach 3rd reading at Queen's Park. The idea remains bold & essential to help lift 940,000+ recipients out of deep poverty! #OnPoli

Ontario's #BasicIncome pilot demonstrating early, positive results for participants. BUT 950,000 other Ontarians on social assistance have been left behind in deep poverty! Urgent action needed on rates in #Budget2018 & #Bill6 must be moved forward! @HelenaJaczek @PaulMillerMPP

TomCoopster's tweet image. Ontario's #BasicIncome pilot demonstrating early, positive results for participants. BUT 950,000 other Ontarians on social assistance have been left behind in deep poverty! Urgent action needed on rates in #Budget2018 & #Bill6 must be moved forward! @HelenaJaczek @PaulMillerMPP

Great meeting with a broad cross section of poverty reduction advocates in my office. Topic of discussion: #bill6 now #bill30. Let's get this important legislation back on the agenda and passed! #ontpoli

mppPaulMiller's tweet image. Great meeting with a broad cross section of poverty reduction advocates in my office. Topic of discussion: #bill6 now #bill30. Let's get this important legislation back on the agenda and passed! #ontpoli

Remember that #Design is a political act; we get the built form that is selected by #procurement; want better? Procure better; want better built form? Demand it through political activism and advocacy; regs for #bill6 are a good place to start; #VisionZero #equity

ArchitectsDCA's tweet image. Remember that #Design is a political act; we get the built form that is selected by #procurement; want better? Procure better; want better built form? Demand it through political activism and advocacy; regs for #bill6 are a good place to start; #VisionZero #equity
ArchitectsDCA's tweet image. Remember that #Design is a political act; we get the built form that is selected by #procurement; want better? Procure better; want better built form? Demand it through political activism and advocacy; regs for #bill6 are a good place to start; #VisionZero #equity

Cities challenged as asset management regime launched #HamOnt #Bill6 - buff.ly/2Dcp0Mb

HHCA_1920's tweet image. Cities challenged as asset management regime launched #HamOnt #Bill6 - buff.ly/2Dcp0Mb

They won’t last; the flex space is parking, loading and such; it’s failed urban design, led by the belief that parking or more important than people; there are better ways, if we wanted to focus on design #architectscanhelp #bill6

ArchitectsDCA's tweet image. They won’t last; the flex space is parking, loading and such; it’s failed urban design, led by the belief that parking or more important than people; there are better ways, if we wanted to focus on design #architectscanhelp #bill6
ArchitectsDCA's tweet image. They won’t last; the flex space is parking, loading and such; it’s failed urban design, led by the belief that parking or more important than people; there are better ways, if we wanted to focus on design #architectscanhelp #bill6
ArchitectsDCA's tweet image. They won’t last; the flex space is parking, loading and such; it’s failed urban design, led by the belief that parking or more important than people; there are better ways, if we wanted to focus on design #architectscanhelp #bill6

Congrats @MPPCoteau as new Minister of Community Social Services! We at @HamiltonPoverty are looking forward to working with you on implementation of Income Security Roadmap & bringing #Bill6 to committee!

TomCoopster's tweet image. Congrats @MPPCoteau as new Minister of Community Social Services! We at @HamiltonPoverty are looking forward to working with you on implementation of Income Security Roadmap & bringing #Bill6 to committee!

I Voted For #Bill6 & #Bill10- I Voted for Law, Order & Helping People "[FYI] Schedule 8 of Bill 10 makes landlords criminally liable for drug activity on their premises:" MPP @Inportdover Brady tinyurl.com/bdeark9t

inportdover's tweet image. I Voted For #Bill6 & #Bill10- I Voted for Law, Order & Helping People 

"[FYI] Schedule 8 of Bill 10 makes landlords criminally liable for drug activity on their premises:" MPP @Inportdover Brady
tinyurl.com/bdeark9t

Loading...

Something went wrong.


Something went wrong.