#codedcaching search results

Discover the latest research results for both uncoded and coded caching techniques in future wireless network design. Try a chapter at ow.ly/D9IL50Cht65 #codedcaching #wirelessnetwork

CUP_SciEng's tweet image. Discover the latest research results for both uncoded and coded caching techniques in future wireless network design.
Try a chapter at ow.ly/D9IL50Cht65

#codedcaching #wirelessnetwork

The #SpecialIssue "Information Theory for Distributed Systems", edited by Prof. Dr. Songze Li, has published 6 papers and is still open for submission! mdpi.com/journal/entrop… #codedcaching #distributedcomputation #federatedlearning #privateinformation #communicationbottlenecks

Entropy_MDPI's tweet image. The #SpecialIssue "Information Theory for Distributed Systems", edited by Prof. Dr. Songze Li, has published 6 papers and is still open for submission! mdpi.com/journal/entrop…
#codedcaching
#distributedcomputation
#federatedlearning
#privateinformation
#communicationbottlenecks

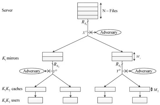
#mdpientropy "Cryptography in Hierarchical Coded Caching: System Model and Cost Analysis" mdpi.com/1099-4300/23/1… #codedcaching #securedelivery #costanalysis #systemmodel

Entropy_MDPI's tweet image. #mdpientropy  "Cryptography in Hierarchical Coded Caching: System Model and Cost Analysis" mdpi.com/1099-4300/23/1… 

#codedcaching
#securedelivery
#costanalysis
#systemmodel

Imagine seamless content delivery, even in the sky. Intrigued? #codedcaching #edgecaching #aix @cadami_net @picocdn


Imagine seamless content delivery, even in the sky. Intrigued? #codedcaching #edgecaching #aix @cadami_net @picocdn


The #SpecialIssue "Information Theory for Distributed Systems", edited by Prof. Dr. Songze Li, has published 6 papers and is still open for submission! mdpi.com/journal/entrop… #codedcaching #distributedcomputation #federatedlearning #privateinformation #communicationbottlenecks

Entropy_MDPI's tweet image. The #SpecialIssue "Information Theory for Distributed Systems", edited by Prof. Dr. Songze Li, has published 6 papers and is still open for submission! mdpi.com/journal/entrop…
#codedcaching
#distributedcomputation
#federatedlearning
#privateinformation
#communicationbottlenecks

#mdpientropy "Cryptography in Hierarchical Coded Caching: System Model and Cost Analysis" mdpi.com/1099-4300/23/1… #codedcaching #securedelivery #costanalysis #systemmodel

Entropy_MDPI's tweet image. #mdpientropy  "Cryptography in Hierarchical Coded Caching: System Model and Cost Analysis" mdpi.com/1099-4300/23/1… 

#codedcaching
#securedelivery
#costanalysis
#systemmodel

Discover the latest research results for both uncoded and coded caching techniques in future wireless network design. Try a chapter at ow.ly/D9IL50Cht65 #codedcaching #wirelessnetwork

CUP_SciEng's tweet image. Discover the latest research results for both uncoded and coded caching techniques in future wireless network design.
Try a chapter at ow.ly/D9IL50Cht65

#codedcaching #wirelessnetwork

No results for "#codedcaching"

Discover the latest research results for both uncoded and coded caching techniques in future wireless network design. Try a chapter at ow.ly/D9IL50Cht65 #codedcaching #wirelessnetwork

CUP_SciEng's tweet image. Discover the latest research results for both uncoded and coded caching techniques in future wireless network design.
Try a chapter at ow.ly/D9IL50Cht65

#codedcaching #wirelessnetwork

The #SpecialIssue "Information Theory for Distributed Systems", edited by Prof. Dr. Songze Li, has published 6 papers and is still open for submission! mdpi.com/journal/entrop… #codedcaching #distributedcomputation #federatedlearning #privateinformation #communicationbottlenecks

Entropy_MDPI's tweet image. The #SpecialIssue "Information Theory for Distributed Systems", edited by Prof. Dr. Songze Li, has published 6 papers and is still open for submission! mdpi.com/journal/entrop…
#codedcaching
#distributedcomputation
#federatedlearning
#privateinformation
#communicationbottlenecks

#mdpientropy "Cryptography in Hierarchical Coded Caching: System Model and Cost Analysis" mdpi.com/1099-4300/23/1… #codedcaching #securedelivery #costanalysis #systemmodel

Entropy_MDPI's tweet image. #mdpientropy  "Cryptography in Hierarchical Coded Caching: System Model and Cost Analysis" mdpi.com/1099-4300/23/1… 

#codedcaching
#securedelivery
#costanalysis
#systemmodel

Loading...

Something went wrong.


Something went wrong.


United States Trends