#delphi 검색 결과

“they have identified at least ten issues, nine of which involve Allen's constitutional rights.” 9 of the 10 issues involve constitutional rights. N I N E. WHY AM I NOT SURPRISED. #RichardAllen #Delphi

alleyesondelphi's tweet image. “they have identified at least ten issues, nine of which involve Allen's constitutional rights.”

9 of the 10 issues involve constitutional rights. N I N E.

WHY AM I NOT SURPRISED.

#RichardAllen #Delphi
alleyesondelphi's tweet image. “they have identified at least ten issues, nine of which involve Allen's constitutional rights.”

9 of the 10 issues involve constitutional rights. N I N E.

WHY AM I NOT SURPRISED.

#RichardAllen #Delphi
alleyesondelphi's tweet image. “they have identified at least ten issues, nine of which involve Allen's constitutional rights.”

9 of the 10 issues involve constitutional rights. N I N E.

WHY AM I NOT SURPRISED.

#RichardAllen #Delphi

Ya'll this is the craziest shit I've ever seen. #FreeRichardAllen #Delphi #WTAF #justiceforAbbyandLibby it's a whole made up story. #justiceforvictims these girls deserve better.

Breeun3's tweet image. Ya'll this is the craziest shit I've ever seen. #FreeRichardAllen #Delphi #WTAF  #justiceforAbbyandLibby it's a whole made up story. #justiceforvictims these girls deserve better.
Breeun3's tweet image. Ya'll this is the craziest shit I've ever seen. #FreeRichardAllen #Delphi #WTAF  #justiceforAbbyandLibby it's a whole made up story. #justiceforvictims these girls deserve better.
Breeun3's tweet image. Ya'll this is the craziest shit I've ever seen. #FreeRichardAllen #Delphi #WTAF  #justiceforAbbyandLibby it's a whole made up story. #justiceforvictims these girls deserve better.

When it comes to suspect confessions, #Delphi investigators only take the psychological and mental health of those suspects into consideration when they aren’t Richard Allen. Rick was in the throes of a prolonged and severe psychotic episode that lasted months and rendered him…

RMproductionsX's tweet image. When it comes to suspect confessions, #Delphi investigators only take the psychological and mental health of those suspects into consideration when they aren’t Richard Allen.

Rick was in the throes of a prolonged and severe psychotic episode that lasted months and rendered him…

👩‍⚖️You be the judge. Did Grayson (or someone with her notes...idk maybe a HTC YT mod that promoted the shit out of a sus juror interview) pose as a Delphi juror for the obscure & gullible Tim? Comparison of handwriting from "totally a real #Delphi juror" vs. Delphi #HTC

corndawgcourt's tweet image. 👩‍⚖️You be the judge. Did Grayson (or someone with her notes...idk maybe a HTC YT mod that promoted the shit out of a sus juror interview) pose as a Delphi juror for the obscure & gullible Tim?

Comparison of handwriting from "totally a real #Delphi juror" vs. Delphi #HTC…

Did yall know #LaurenMatthias “producer/bestie” Grayson used to work for Annie Elise? But wait, it gets better - Grayson worked for Annie Elise until she left and started working for Lauren at #HiddenTrueCrime - here’s Annie Elise disclosing to Heather McDonald about an…



Peak Narcissism to have an e-begging livestream shaming your chat into donating to your GoFundMe on the eve of your best buddy hosting a Cancer fundraiser for a mutual YT moderator. Fucked up to only care about yourself that much. #Delphi


And just like that, Patrick Westfall, having had possession of a fucking AK-47 with multiple domestic violence convictions of his wives and children , is released from jail like nothing ever happened. Thank you to @MattBlacInc for sharing this with me. #FreeRichardAllen #Delphi

shboogies's tweet image. And just like that, Patrick Westfall, having had possession of a fucking AK-47 with multiple domestic violence convictions of his wives and children , is released from jail like nothing ever happened.
Thank you to @MattBlacInc for sharing this with me.
#FreeRichardAllen #Delphi…

This is very interesting. @TrueCrimeKeith realized this charge is a felony that can come with a prison sentence of a year+ However, Patrick Westfall was arrested, booked, charged - and released with ZERO bond and a citation to appear in court. Patrick Westfall has domestic…

shboogies's tweet image. This is very interesting. @TrueCrimeKeith realized this charge is a felony that can come with a prison sentence of a year+
However, Patrick Westfall was arrested, booked, charged - and released with ZERO bond and a citation to appear in court.
Patrick Westfall has domestic…
shboogies's tweet image. This is very interesting. @TrueCrimeKeith realized this charge is a felony that can come with a prison sentence of a year+
However, Patrick Westfall was arrested, booked, charged - and released with ZERO bond and a citation to appear in court.
Patrick Westfall has domestic…
shboogies's tweet image. This is very interesting. @TrueCrimeKeith realized this charge is a felony that can come with a prison sentence of a year+
However, Patrick Westfall was arrested, booked, charged - and released with ZERO bond and a citation to appear in court.
Patrick Westfall has domestic…


A year ago today #RichardAllen was found guilty. Judge Gull and the prosecution made the #Delphi trial a spectacle by limiting public access, pompous experts, and theatrics designed to distract from the incompetent investigation, deeply flawed process and lack of evidence.

UnhushedChaos's tweet image. A year ago today #RichardAllen was found guilty. Judge Gull and the prosecution made the #Delphi trial a spectacle by limiting public access, pompous experts, and theatrics designed to distract from the incompetent investigation, deeply flawed process and lack of evidence.

What did LE mean when they said they had identified bg and he was cleared? #FreeRichardAllen #Delphi

shboogies's tweet image. What did LE mean when they said they had identified bg and he was cleared?
#FreeRichardAllen #Delphi
shboogies's tweet image. What did LE mean when they said they had identified bg and he was cleared?
#FreeRichardAllen #Delphi
shboogies's tweet image. What did LE mean when they said they had identified bg and he was cleared?
#FreeRichardAllen #Delphi

Order Granting the Motion to Reconsider #RichardAllen #Delphi

alleyesondelphi's tweet image. Order Granting the Motion to Reconsider

#RichardAllen #Delphi
alleyesondelphi's tweet image. Order Granting the Motion to Reconsider

#RichardAllen #Delphi

IN THE #INDIANA COURT OF APPEALS CAUSE NO. 25A-CR-00591 #RichardAllen | #Delphi Appeal from the Carroll Circuit Court v. Cause No. 08C01-2210-MR-1 Belated Motion for Permission to File Oversized Appellant’s Brief pages 5

MattBlacInc's tweet image. IN THE #INDIANA COURT OF APPEALS 

CAUSE NO. 25A-CR-00591 #RichardAllen | #Delphi

Appeal from the Carroll Circuit Court  v. 
Cause No. 08C01-2210-MR-1   

Belated Motion for Permission to File Oversized Appellant’s Brief

pages 5
MattBlacInc's tweet image. IN THE #INDIANA COURT OF APPEALS 

CAUSE NO. 25A-CR-00591 #RichardAllen | #Delphi

Appeal from the Carroll Circuit Court  v. 
Cause No. 08C01-2210-MR-1   

Belated Motion for Permission to File Oversized Appellant’s Brief

pages 5
MattBlacInc's tweet image. IN THE #INDIANA COURT OF APPEALS 

CAUSE NO. 25A-CR-00591 #RichardAllen | #Delphi

Appeal from the Carroll Circuit Court  v. 
Cause No. 08C01-2210-MR-1   

Belated Motion for Permission to File Oversized Appellant’s Brief

pages 5
MattBlacInc's tweet image. IN THE #INDIANA COURT OF APPEALS 

CAUSE NO. 25A-CR-00591 #RichardAllen | #Delphi

Appeal from the Carroll Circuit Court  v. 
Cause No. 08C01-2210-MR-1   

Belated Motion for Permission to File Oversized Appellant’s Brief

pages 5

Even the AG is like, guys, whoever has it, just send it to the Appellate attorneys gahd. Judge Gull is the last person on record to have possession of Franks exhibits. Fingers crossed they’re not gone girl by now… #RichardAllen #Delphi

alleyesondelphi's tweet image. Even the AG is like, guys, whoever has it, just send it to the Appellate attorneys gahd.

Judge Gull is the last person on record to have possession of Franks exhibits. Fingers crossed they’re not gone girl by now…

#RichardAllen #Delphi
alleyesondelphi's tweet image. Even the AG is like, guys, whoever has it, just send it to the Appellate attorneys gahd.

Judge Gull is the last person on record to have possession of Franks exhibits. Fingers crossed they’re not gone girl by now…

#RichardAllen #Delphi
alleyesondelphi's tweet image. Even the AG is like, guys, whoever has it, just send it to the Appellate attorneys gahd.

Judge Gull is the last person on record to have possession of Franks exhibits. Fingers crossed they’re not gone girl by now…

#RichardAllen #Delphi

IN THE #INDIANA COURT OF APPEALS #RichardAllen | #Delphi Appeal from the Carroll Circuit Court v. Cause No. 08C01-2210-MR-1 Motion for Final Extension of Time in Which to File Appellant’s Brief pages 4

MattBlacInc's tweet image. IN THE #INDIANA COURT OF APPEALS    

#RichardAllen | #Delphi   

Appeal from the Carroll Circuit Court  v.  Cause No. 08C01-2210-MR-1       

Motion for Final Extension of Time in Which to File Appellant’s Brief  

pages 4

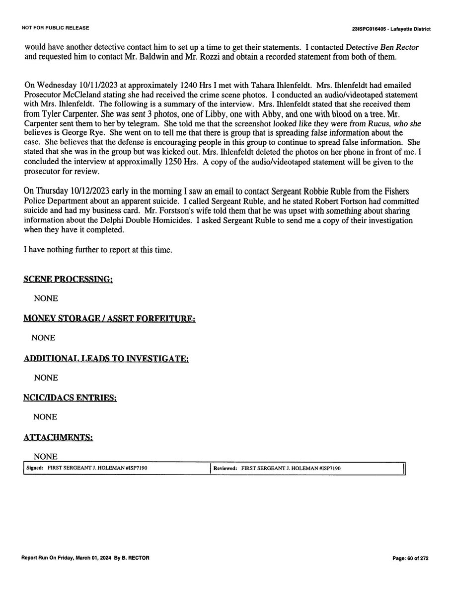
Jerry Holeman’s supplemental report on October 16, 2023 Who gave the crime scene photos to Tyler and Ruckus? #RichardAllen #Delphi drive.google.com/file/d/1KJBkt0…

alleyesondelphi's tweet image. Jerry Holeman’s supplemental report on October 16, 2023

Who gave the crime scene photos to Tyler and Ruckus?

#RichardAllen #Delphi 
drive.google.com/file/d/1KJBkt0…
alleyesondelphi's tweet image. Jerry Holeman’s supplemental report on October 16, 2023

Who gave the crime scene photos to Tyler and Ruckus?

#RichardAllen #Delphi 
drive.google.com/file/d/1KJBkt0…
alleyesondelphi's tweet image. Jerry Holeman’s supplemental report on October 16, 2023

Who gave the crime scene photos to Tyler and Ruckus?

#RichardAllen #Delphi 
drive.google.com/file/d/1KJBkt0…

Going on 10 a.m. EST. with @andykopsa to do a journalism about some possibly interesting questions about lawyers as journalists and maybe how the IN Disciplinary Commission works—or doesn't. #Delphi #RichardAllen (Thumbnail off / change of subject) youtube.com/live/x8kVGxzJP…

IUHabeas's tweet card. Hey! Journalists have no special protections (SCOTUS - Branzburg v...

youtube.com

YouTube

Hey! Journalists have no special protections (SCOTUS - Branzburg v...

Just found out I was featured in a Murder Sheet three part screed. In addition to my previously scheduled live about my fav SCOTUS case I will be addressing some of the interesting legal/journalism questions raised by their pantsing of me on their pod I'll be joined by @IUHabeas



Stacy Bozinovski claims that ‘every part’ of Abby’s Converse shoes were heavily soiled…. Do we have any pics to clarify this 🤔 @alleyesondelphi @AimeeLy58101071 @IUHabeas @SleuthieGoosie @defense_diaries @CrissyRose05 #Delphi #RichardAllen #FreeRickAllen

Beth02428329's tweet image. Stacy Bozinovski claims that ‘every part’ of Abby’s Converse shoes were heavily soiled….
Do we have any pics to clarify this 🤔

@alleyesondelphi @AimeeLy58101071 @IUHabeas @SleuthieGoosie @defense_diaries @CrissyRose05 
#Delphi 
#RichardAllen 
#FreeRickAllen
Beth02428329's tweet image. Stacy Bozinovski claims that ‘every part’ of Abby’s Converse shoes were heavily soiled….
Do we have any pics to clarify this 🤔

@alleyesondelphi @AimeeLy58101071 @IUHabeas @SleuthieGoosie @defense_diaries @CrissyRose05 
#Delphi 
#RichardAllen 
#FreeRickAllen

Sacred gifts to the Oracle of Delphi: bronze helmets of victorious generals, golden trinkets, statues that once gazed toward Apollo’s temple. Timeless voices of antiquity. Delphi Archaeological Museum #Delphi #AncientGreece #OracleOfDelphi #GreekArchaeology

Patrik_Odyssian's tweet image. Sacred gifts to the Oracle of Delphi: bronze helmets of victorious generals, golden trinkets, statues that once gazed toward Apollo’s temple. Timeless voices of antiquity. Delphi Archaeological Museum 

#Delphi #AncientGreece #OracleOfDelphi #GreekArchaeology
Patrik_Odyssian's tweet image. Sacred gifts to the Oracle of Delphi: bronze helmets of victorious generals, golden trinkets, statues that once gazed toward Apollo’s temple. Timeless voices of antiquity. Delphi Archaeological Museum 

#Delphi #AncientGreece #OracleOfDelphi #GreekArchaeology
Patrik_Odyssian's tweet image. Sacred gifts to the Oracle of Delphi: bronze helmets of victorious generals, golden trinkets, statues that once gazed toward Apollo’s temple. Timeless voices of antiquity. Delphi Archaeological Museum 

#Delphi #AncientGreece #OracleOfDelphi #GreekArchaeology
Patrik_Odyssian's tweet image. Sacred gifts to the Oracle of Delphi: bronze helmets of victorious generals, golden trinkets, statues that once gazed toward Apollo’s temple. Timeless voices of antiquity. Delphi Archaeological Museum 

#Delphi #AncientGreece #OracleOfDelphi #GreekArchaeology

Seamless migration of an existing Delphi project to Winforms C# (.NET) with graphical forms? It's possible! Here is how – Eckert & Ziegler shared their feedback: buff.ly/h0fUYmG #Winforms #Delphi #CSharp #CSharpMigration #DelphiMigration #Ispirer #EckertZiegler

IspirerSystems's tweet image. Seamless migration of an existing Delphi project to Winforms C# (.NET) with graphical forms? It's possible! Here is how – Eckert & Ziegler shared their feedback: buff.ly/h0fUYmG 

#Winforms #Delphi #CSharp #CSharpMigration #DelphiMigration #Ispirer #EckertZiegler

Exploring the ancient ruins of Delphi. Standing where the Oracle once spoke is incredibly humbling. #Delphi #AncientGreece #Oracle


“Journalism… it’s time for some journalism!” #RichardAllen #DELPHI #TrialByOrdeal

In early November, Allen’s appeal team filed 1,200 pages of “evidence” as part of the appeal process. wane.com/news/crime/ric…



🚨NEW MARKET ALERT🚨 What price will Bitcoin reach in 2025? ⚡ Highest-grossing movie of 2025? 🎬 What price will Ethereum reach in 2025? 🔥 Which one are you betting on first? 👇 🔗 delphi.trade/events/ #Delphi #Cronos #PredictionMarkets

delphitrade's tweet image. 🚨NEW MARKET ALERT🚨

What price will Bitcoin reach in 2025? ⚡
Highest-grossing movie of 2025? 🎬
What price will Ethereum reach in 2025? 🔥

Which one are you betting on first? 👇

🔗 delphi.trade/events/

#Delphi #Cronos #PredictionMarkets

Rules are for thee and not for me 🤬 During the investigation of the double homicide of #AbbyandLibby men were cleared based on their height!! #RichardAllen is approx 5’4-5” 🤯 #Delphi #wrongfulconviction #FreeRickAllen #FreeRicky

I’d say you’re correct considering they literally cleared folks for being Rick’s exact height.

SleuthieGoosie's tweet image. I’d say you’re correct considering they literally cleared folks for being Rick’s exact height.


What did LE mean when they said they had identified bg and he was cleared? #FreeRichardAllen #Delphi

shboogies's tweet image. What did LE mean when they said they had identified bg and he was cleared?
#FreeRichardAllen #Delphi
shboogies's tweet image. What did LE mean when they said they had identified bg and he was cleared?
#FreeRichardAllen #Delphi
shboogies's tweet image. What did LE mean when they said they had identified bg and he was cleared?
#FreeRichardAllen #Delphi

The offender of the Delphi murders is most likely an organised sexual sadists NOT Richard Allen, a 44 yr old man with no history of deviance and a profile that is close to the opposite of sadism. #richardallen #forensicpsychology #delphi youtu.be/DhPyOFlZdqs?si…

Daisyasks's tweet card. Delphi Crime Scene Analysis - What it Tells us About the Offender - A...

youtube.com

YouTube

Delphi Crime Scene Analysis - What it Tells us About the Offender - A...


Ya'll this is the craziest shit I've ever seen. #FreeRichardAllen #Delphi #WTAF #justiceforAbbyandLibby it's a whole made up story. #justiceforvictims these girls deserve better.

Breeun3's tweet image. Ya'll this is the craziest shit I've ever seen. #FreeRichardAllen #Delphi #WTAF  #justiceforAbbyandLibby it's a whole made up story. #justiceforvictims these girls deserve better.
Breeun3's tweet image. Ya'll this is the craziest shit I've ever seen. #FreeRichardAllen #Delphi #WTAF  #justiceforAbbyandLibby it's a whole made up story. #justiceforvictims these girls deserve better.
Breeun3's tweet image. Ya'll this is the craziest shit I've ever seen. #FreeRichardAllen #Delphi #WTAF  #justiceforAbbyandLibby it's a whole made up story. #justiceforvictims these girls deserve better.

5. Other impactful erroneous evidentiary rulings. It’s been so long since I’ve engaged in the case that this part is a little fuzzy for me, but I’m sure other #Delphi folks will step in with relevant information. Last thing…


Ya'll this is the craziest shit I've ever seen. #FreeRichardAllen #Delphi #WTAF #justiceforAbbyandLibby it's a whole made up story. #justiceforvictims these girls deserve better.

Breeun3's tweet image. Ya'll this is the craziest shit I've ever seen. #FreeRichardAllen #Delphi #WTAF  #justiceforAbbyandLibby it's a whole made up story. #justiceforvictims these girls deserve better.
Breeun3's tweet image. Ya'll this is the craziest shit I've ever seen. #FreeRichardAllen #Delphi #WTAF  #justiceforAbbyandLibby it's a whole made up story. #justiceforvictims these girls deserve better.
Breeun3's tweet image. Ya'll this is the craziest shit I've ever seen. #FreeRichardAllen #Delphi #WTAF  #justiceforAbbyandLibby it's a whole made up story. #justiceforvictims these girls deserve better.

“they have identified at least ten issues, nine of which involve Allen's constitutional rights.” 9 of the 10 issues involve constitutional rights. N I N E. WHY AM I NOT SURPRISED. #RichardAllen #Delphi

alleyesondelphi's tweet image. “they have identified at least ten issues, nine of which involve Allen's constitutional rights.”

9 of the 10 issues involve constitutional rights. N I N E.

WHY AM I NOT SURPRISED.

#RichardAllen #Delphi
alleyesondelphi's tweet image. “they have identified at least ten issues, nine of which involve Allen's constitutional rights.”

9 of the 10 issues involve constitutional rights. N I N E.

WHY AM I NOT SURPRISED.

#RichardAllen #Delphi
alleyesondelphi's tweet image. “they have identified at least ten issues, nine of which involve Allen's constitutional rights.”

9 of the 10 issues involve constitutional rights. N I N E.

WHY AM I NOT SURPRISED.

#RichardAllen #Delphi

IN THE #INDIANA COURT OF APPEALS CAUSE NO. 25A-CR-00591 #RichardAllen | #Delphi Appeal from the Carroll Circuit Court v. Cause No. 08C01-2210-MR-1 Belated Motion for Permission to File Oversized Appellant’s Brief pages 5

MattBlacInc's tweet image. IN THE #INDIANA COURT OF APPEALS 

CAUSE NO. 25A-CR-00591 #RichardAllen | #Delphi

Appeal from the Carroll Circuit Court  v. 
Cause No. 08C01-2210-MR-1   

Belated Motion for Permission to File Oversized Appellant’s Brief

pages 5
MattBlacInc's tweet image. IN THE #INDIANA COURT OF APPEALS 

CAUSE NO. 25A-CR-00591 #RichardAllen | #Delphi

Appeal from the Carroll Circuit Court  v. 
Cause No. 08C01-2210-MR-1   

Belated Motion for Permission to File Oversized Appellant’s Brief

pages 5
MattBlacInc's tweet image. IN THE #INDIANA COURT OF APPEALS 

CAUSE NO. 25A-CR-00591 #RichardAllen | #Delphi

Appeal from the Carroll Circuit Court  v. 
Cause No. 08C01-2210-MR-1   

Belated Motion for Permission to File Oversized Appellant’s Brief

pages 5
MattBlacInc's tweet image. IN THE #INDIANA COURT OF APPEALS 

CAUSE NO. 25A-CR-00591 #RichardAllen | #Delphi

Appeal from the Carroll Circuit Court  v. 
Cause No. 08C01-2210-MR-1   

Belated Motion for Permission to File Oversized Appellant’s Brief

pages 5

What did LE mean when they said they had identified bg and he was cleared? #FreeRichardAllen #Delphi

shboogies's tweet image. What did LE mean when they said they had identified bg and he was cleared?
#FreeRichardAllen #Delphi
shboogies's tweet image. What did LE mean when they said they had identified bg and he was cleared?
#FreeRichardAllen #Delphi
shboogies's tweet image. What did LE mean when they said they had identified bg and he was cleared?
#FreeRichardAllen #Delphi

#Delphi 擬女化揃ったので!

yumura_yuri's tweet image. #Delphi 擬女化揃ったので!

Sacred gifts to the Oracle of Delphi: bronze helmets of victorious generals, golden trinkets, statues that once gazed toward Apollo’s temple. Timeless voices of antiquity. Delphi Archaeological Museum #Delphi #AncientGreece #OracleOfDelphi #GreekArchaeology

Patrik_Odyssian's tweet image. Sacred gifts to the Oracle of Delphi: bronze helmets of victorious generals, golden trinkets, statues that once gazed toward Apollo’s temple. Timeless voices of antiquity. Delphi Archaeological Museum 

#Delphi #AncientGreece #OracleOfDelphi #GreekArchaeology
Patrik_Odyssian's tweet image. Sacred gifts to the Oracle of Delphi: bronze helmets of victorious generals, golden trinkets, statues that once gazed toward Apollo’s temple. Timeless voices of antiquity. Delphi Archaeological Museum 

#Delphi #AncientGreece #OracleOfDelphi #GreekArchaeology
Patrik_Odyssian's tweet image. Sacred gifts to the Oracle of Delphi: bronze helmets of victorious generals, golden trinkets, statues that once gazed toward Apollo’s temple. Timeless voices of antiquity. Delphi Archaeological Museum 

#Delphi #AncientGreece #OracleOfDelphi #GreekArchaeology
Patrik_Odyssian's tweet image. Sacred gifts to the Oracle of Delphi: bronze helmets of victorious generals, golden trinkets, statues that once gazed toward Apollo’s temple. Timeless voices of antiquity. Delphi Archaeological Museum 

#Delphi #AncientGreece #OracleOfDelphi #GreekArchaeology

Can I get a shirt with this picture and the words: Does anyone in Unified Command know what happened to Abby & Libby? NOT THAT I'M AWARE OF... #DELPHI

INDYCOLTSFAN_1's tweet image. Can I get a shirt with this picture and the words:
Does anyone in Unified Command know what happened to Abby & Libby?
NOT THAT I'M AWARE OF...
#DELPHI

Are your mission-critical Delphi and C++Builder apps struggling to keep pace with Windows 11, Cloud, or the demand for AI integration? Find out how Code Partners can help you breathe new life into your applications. code-partners.com/offerings/delp… #delphi #cbuilder

code_partners's tweet image. Are your mission-critical Delphi and C++Builder apps struggling to keep pace with Windows 11, Cloud, or the demand for AI integration?

Find out how Code Partners can help you breathe new life into your applications.

code-partners.com/offerings/delp…

#delphi #cbuilder

🧌 THEY MADE ME SHREK ON THE INTERNET 🧌 The Full Holeman Pig Roast has been freed from HTC!! If you need a laugh this is a must 💀😂😭 @SleuthieGoosie @CriminaliTy187 @CrissyRose05 @BrittHapp3ns @brooklyn47361 @AwenRees #Delphi #RichardAllen #FreeRickAllen

Beth02428329's tweet image. 🧌 THEY MADE ME SHREK ON THE INTERNET 🧌
The Full Holeman Pig Roast has been freed from HTC!!
If you need a laugh this is a must 💀😂😭

@SleuthieGoosie @CriminaliTy187 @CrissyRose05 @BrittHapp3ns @brooklyn47361 @AwenRees 
#Delphi #RichardAllen #FreeRickAllen…

IN THE #INDIANA COURT OF APPEALS #RichardAllen | #Delphi Appeal from the Carroll Circuit Court v. Cause No. 08C01-2210-MR-1 Motion for Final Extension of Time in Which to File Appellant’s Brief pages 4

MattBlacInc's tweet image. IN THE #INDIANA COURT OF APPEALS   
#RichardAllen | #Delphi 

Appeal from the Carroll Circuit Court  v.  Cause No. 08C01-2210-MR-1     

Motion for Final Extension of Time in Which to File Appellant’s Brief

pages 4
MattBlacInc's tweet image. IN THE #INDIANA COURT OF APPEALS   
#RichardAllen | #Delphi 

Appeal from the Carroll Circuit Court  v.  Cause No. 08C01-2210-MR-1     

Motion for Final Extension of Time in Which to File Appellant’s Brief

pages 4
MattBlacInc's tweet image. IN THE #INDIANA COURT OF APPEALS   
#RichardAllen | #Delphi 

Appeal from the Carroll Circuit Court  v.  Cause No. 08C01-2210-MR-1     

Motion for Final Extension of Time in Which to File Appellant’s Brief

pages 4
MattBlacInc's tweet image. IN THE #INDIANA COURT OF APPEALS   
#RichardAllen | #Delphi 

Appeal from the Carroll Circuit Court  v.  Cause No. 08C01-2210-MR-1     

Motion for Final Extension of Time in Which to File Appellant’s Brief

pages 4

#Delphi Mornin’ Cranks! Happy Sunday,

KateOHehir's tweet image. #Delphi Mornin’ Cranks! Happy Sunday,

⚖️🐍🧬🫆 @IndStatePolice whomst DNA was on Abby? Initial examination of the #Delphi sweatshirt produced an unknown male profile. It was priority to find this male cause it was ran again later & a profile matched 1 of yours. Imo someone around the body was promoted or joined ISP.

CrissyRose05's tweet image. ⚖️🐍🧬🫆
@IndStatePolice whomst DNA was on Abby? Initial examination of the #Delphi sweatshirt produced an unknown male profile. It was priority to find this male cause it was ran again later & a profile matched 1 of yours. Imo someone around the body was promoted or joined ISP.
CrissyRose05's tweet image. ⚖️🐍🧬🫆
@IndStatePolice whomst DNA was on Abby? Initial examination of the #Delphi sweatshirt produced an unknown male profile. It was priority to find this male cause it was ran again later & a profile matched 1 of yours. Imo someone around the body was promoted or joined ISP.
CrissyRose05's tweet image. ⚖️🐍🧬🫆
@IndStatePolice whomst DNA was on Abby? Initial examination of the #Delphi sweatshirt produced an unknown male profile. It was priority to find this male cause it was ran again later & a profile matched 1 of yours. Imo someone around the body was promoted or joined ISP.

Seamless migration of an existing Delphi project to Winforms C# (.NET) with graphical forms? It's possible! Here is how – Eckert & Ziegler shared their feedback: buff.ly/h0fUYmG #Winforms #Delphi #CSharp #CSharpMigration #DelphiMigration #Ispirer #EckertZiegler

IspirerSystems's tweet image. Seamless migration of an existing Delphi project to Winforms C# (.NET) with graphical forms? It's possible! Here is how – Eckert & Ziegler shared their feedback: buff.ly/h0fUYmG 

#Winforms #Delphi #CSharp #CSharpMigration #DelphiMigration #Ispirer #EckertZiegler

Loading...

Something went wrong.


Something went wrong.


United States Trends