#mathproblemoftheweek نتائج البحث

Congratulations to this week's winners of Math Problem of the Week! #MathProblemOfTheWeek #MathBrilliance

TDSB_Greenholme's tweet image. Congratulations to this week's winners of Math Problem of the Week!  #MathProblemOfTheWeek #MathBrilliance

This week's winners for #MathProblemOfTheWeek and the Just Read It book recommendation initative! Join us in congratulating our students for regularly engaging in math and literacy. @MrOmar416 @Alisongsv

TDSB_Greenholme's tweet image. This week's winners for #MathProblemOfTheWeek and the Just Read It book recommendation initative! 

Join us in congratulating our students for regularly engaging in math and literacy.

@MrOmar416 @Alisongsv
TDSB_Greenholme's tweet image. This week's winners for #MathProblemOfTheWeek and the Just Read It book recommendation initative! 

Join us in congratulating our students for regularly engaging in math and literacy.

@MrOmar416 @Alisongsv

Recognizing this week's math problem of the week winners! Centering joy around math allows for our students to become confident life-long learners. @MrOmar416 @Alisongsv #TDSB #MathProblemOfTheWeek #MathBrilliance

TDSB_Greenholme's tweet image. Recognizing this week's math problem of the week winners!

Centering joy around math allows for our students to become confident life-long learners. 

@MrOmar416 @Alisongsv 

#TDSB #MathProblemOfTheWeek #MathBrilliance

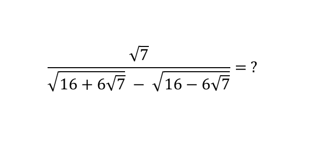
Here is our #highschool #mathproblemoftheweek for November 16. Please give the problem a try: submit your answer at bit.ly/mathleaguepotw, and you could win a #prize! Check back in a few days to see a video explanation of this problem. #mathcompetition #math #mathleague

mathleague's tweet image. Here is our #highschool #mathproblemoftheweek for November 16. Please give the problem a try: submit your answer at bit.ly/mathleaguepotw, and you could win a #prize!

Check back in a few days to see a video explanation of this problem. #mathcompetition #math #mathleague

Here is our #elementaryschool #mathproblemoftheweek for November 18. Please give the problem a try: submit your answer at bit.ly/mathleaguepotw, and you could win a #prize! Check back in a few days to see a video explanation of this problem. #mathcompetition #math #mathleague

mathleague's tweet image. Here is our #elementaryschool #mathproblemoftheweek for November 18. Please give the problem a try: submit your answer at bit.ly/mathleaguepotw, and you could win a #prize!

Check back in a few days to see a video explanation of this problem. #mathcompetition #math #mathleague

Here is our #middleschool #mathproblemoftheweek for November 15. Please give the problem a try: submit your answer at bit.ly/mathleaguepotw, and you could win a #prize! Check back in a few days to see a video explanation of this problem. #mathcompetition #math #mathleague

mathleague's tweet image. Here is our #middleschool #mathproblemoftheweek for November 15. Please give the problem a try: submit your answer at bit.ly/mathleaguepotw, and you could win a #prize!

Check back in a few days to see a video explanation of this problem. #mathcompetition #math #mathleague

Here is our #elementaryschool #mathproblemoftheweek for November 11. Please give the problem a try: submit your answer at bit.ly/mathleaguepotw, and you could win a #prize! Check back in a few days to see a video explanation of this problem. #mathcompetition #math #mathleague

mathleague's tweet image. Here is our #elementaryschool #mathproblemoftheweek for November 11. Please give the problem a try: submit your answer at bit.ly/mathleaguepotw, and you could win a #prize!

Check back in a few days to see a video explanation of this problem. #mathcompetition #math #mathleague

Here is our #elementaryschool #mathproblemoftheweek for October 14. Please give the problem a try: submit your answer at bit.ly/mathleaguepotw, and you could win a #prize! Check back in a few days to see a video explanation of this problem. #mathcompetition #math #mathleague

mathleague's tweet image. Here is our #elementaryschool #mathproblemoftheweek for October 14. Please give the problem a try: submit your answer at bit.ly/mathleaguepotw, and you could win a #prize!

Check back in a few days to see a video explanation of this problem. #mathcompetition #math #mathleague

Remember this PoTW released a few days ago? x.com/mathleague/sta… Check out our latest YouTube video to see how to solve it: youtube.com/watch?v=GqXciK… #mathproblemoftheweek #middleschool

Here is our #middleschool #mathproblemoftheweek for October 18. Please give the problem a try: submit your answer at bit.ly/mathleaguepotw, and you could win a #prize! Check back in a few days to see a video explanation of this problem. #mathcompetition #math #mathleague

mathleague's tweet image. Here is our #middleschool #mathproblemoftheweek for October 18. Please give the problem a try: submit your answer at bit.ly/mathleaguepotw, and you could win a #prize!

Check back in a few days to see a video explanation of this problem. #mathcompetition #math #mathleague


Here is our #highschool #mathproblemoftheweek for November 9. Please give the problem a try: submit your answer at bit.ly/mathleaguepotw, and you could win a #prize! Check back in a few days to see a video explanation of this problem. #mathcompetition #math #mathleague

mathleague's tweet image. Here is our #highschool #mathproblemoftheweek for November 9. Please give the problem a try: submit your answer at bit.ly/mathleaguepotw, and you could win a #prize!

Check back in a few days to see a video explanation of this problem. #mathcompetition #math #mathleague

Remember this PoTW released a few days ago? x.com/mathleague/sta… Check out our latest YouTube video to see how to solve it: youtube.com/watch?v=aGsb6E… #mathproblemoftheweek #elementaryschool

Here is our #elementaryschool #mathproblemoftheweek for September 30. Please give the problem a try: submit your answer at bit.ly/mathleaguepotw, and you could win a #prize! Check back in a few days to see a video explanation of this problem. #mathcompetition #math #mathleague

mathleague's tweet image. Here is our #elementaryschool #mathproblemoftheweek for September 30. Please give the problem a try: submit your answer at bit.ly/mathleaguepotw, and you could win a #prize!

Check back in a few days to see a video explanation of this problem. #mathcompetition #math #mathleague


Remember this PoTW released a few days ago? x.com/mathleague/sta… Check out our latest YouTube video to see how to solve it: youtube.com/watch?v=lQieij… #mathproblemoftheweek #middleschool

mathleague's tweet card. 12511 Sprint 14

youtube.com

YouTube

12511 Sprint 14

Here is our #middleschool #mathproblemoftheweek for October 4. Please give the problem a try: submit your answer at bit.ly/mathleaguepotw, and you could win a #prize! Check back in a few days to see a video explanation of this problem. #mathcompetition #math #mathleague

mathleague's tweet image. Here is our #middleschool #mathproblemoftheweek for October 4. Please give the problem a try: submit your answer at bit.ly/mathleaguepotw, and you could win a #prize!

Check back in a few days to see a video explanation of this problem. #mathcompetition #math #mathleague


Remember this PoTW released a few days ago? x.com/mathleague/sta… Check out our latest YouTube video to see how to solve it: youtube.com/watch?v=AbjwBy… #mathproblemoftheweek #highschool

mathleague's tweet card. 12501 Team 2

youtube.com

YouTube

12501 Team 2

Here is our #highschool #mathproblemoftheweek for October 5. Please give the problem a try: submit your answer at bit.ly/mathleaguepotw, and you could win a #prize! Check back in a few days to see a video explanation of this problem. #mathcompetition #math #mathleague

mathleague's tweet image. Here is our #highschool #mathproblemoftheweek for October 5. Please give the problem a try: submit your answer at bit.ly/mathleaguepotw, and you could win a #prize!

Check back in a few days to see a video explanation of this problem. #mathcompetition #math #mathleague


Remember this PoTW released a few days ago? x.com/mathleague/sta… Check out our latest YouTube video to see how to solve it: youtube.com/watch?v=S8o9ZS… #mathproblemoftheweek #elementaryschool

mathleague's tweet card. 12424 Sprint 30 (by request)

youtube.com

YouTube

12424 Sprint 30 (by request)

Here is our #elementaryschool #mathproblemoftheweek for October 21. Please give the problem a try: submit your answer at bit.ly/mathleaguepotw, and you could win a #prize! Check back in a few days to see a video explanation of this problem. #mathcompetition #math #mathleague

mathleague's tweet image. Here is our #elementaryschool #mathproblemoftheweek for October 21. Please give the problem a try: submit your answer at bit.ly/mathleaguepotw, and you could win a #prize!

Check back in a few days to see a video explanation of this problem. #mathcompetition #math #mathleague


Here is our #elementaryschool #mathproblemoftheweek for November 18. Please give the problem a try: submit your answer at bit.ly/mathleaguepotw, and you could win a #prize! Check back in a few days to see a video explanation of this problem. #mathcompetition #math #mathleague

mathleague's tweet image. Here is our #elementaryschool #mathproblemoftheweek for November 18. Please give the problem a try: submit your answer at bit.ly/mathleaguepotw, and you could win a #prize!

Check back in a few days to see a video explanation of this problem. #mathcompetition #math #mathleague

Remember this PoTW released a few days ago? x.com/mathleague/sta… Check out our latest YouTube video to see how to solve it: youtube.com/watch?v=GqXciK… #mathproblemoftheweek #middleschool

Here is our #middleschool #mathproblemoftheweek for October 18. Please give the problem a try: submit your answer at bit.ly/mathleaguepotw, and you could win a #prize! Check back in a few days to see a video explanation of this problem. #mathcompetition #math #mathleague

mathleague's tweet image. Here is our #middleschool #mathproblemoftheweek for October 18. Please give the problem a try: submit your answer at bit.ly/mathleaguepotw, and you could win a #prize!

Check back in a few days to see a video explanation of this problem. #mathcompetition #math #mathleague


Remember this PoTW released a few days ago? x.com/mathleague/sta… Check out our latest YouTube video to see how to solve it: youtube.com/watch?v=aGsb6E… #mathproblemoftheweek #elementaryschool

Here is our #elementaryschool #mathproblemoftheweek for September 30. Please give the problem a try: submit your answer at bit.ly/mathleaguepotw, and you could win a #prize! Check back in a few days to see a video explanation of this problem. #mathcompetition #math #mathleague

mathleague's tweet image. Here is our #elementaryschool #mathproblemoftheweek for September 30. Please give the problem a try: submit your answer at bit.ly/mathleaguepotw, and you could win a #prize!

Check back in a few days to see a video explanation of this problem. #mathcompetition #math #mathleague


Here is our #highschool #mathproblemoftheweek for November 16. Please give the problem a try: submit your answer at bit.ly/mathleaguepotw, and you could win a #prize! Check back in a few days to see a video explanation of this problem. #mathcompetition #math #mathleague

mathleague's tweet image. Here is our #highschool #mathproblemoftheweek for November 16. Please give the problem a try: submit your answer at bit.ly/mathleaguepotw, and you could win a #prize!

Check back in a few days to see a video explanation of this problem. #mathcompetition #math #mathleague

Here is our #middleschool #mathproblemoftheweek for November 15. Please give the problem a try: submit your answer at bit.ly/mathleaguepotw, and you could win a #prize! Check back in a few days to see a video explanation of this problem. #mathcompetition #math #mathleague

mathleague's tweet image. Here is our #middleschool #mathproblemoftheweek for November 15. Please give the problem a try: submit your answer at bit.ly/mathleaguepotw, and you could win a #prize!

Check back in a few days to see a video explanation of this problem. #mathcompetition #math #mathleague

Remember this PoTW released a few days ago? x.com/mathleague/sta… Check out our latest YouTube video to see how to solve it: youtube.com/watch?v=AbjwBy… #mathproblemoftheweek #highschool

mathleague's tweet card. 12501 Team 2

youtube.com

YouTube

12501 Team 2

Here is our #highschool #mathproblemoftheweek for October 5. Please give the problem a try: submit your answer at bit.ly/mathleaguepotw, and you could win a #prize! Check back in a few days to see a video explanation of this problem. #mathcompetition #math #mathleague

mathleague's tweet image. Here is our #highschool #mathproblemoftheweek for October 5. Please give the problem a try: submit your answer at bit.ly/mathleaguepotw, and you could win a #prize!

Check back in a few days to see a video explanation of this problem. #mathcompetition #math #mathleague


Here is our #elementaryschool #mathproblemoftheweek for November 11. Please give the problem a try: submit your answer at bit.ly/mathleaguepotw, and you could win a #prize! Check back in a few days to see a video explanation of this problem. #mathcompetition #math #mathleague

mathleague's tweet image. Here is our #elementaryschool #mathproblemoftheweek for November 11. Please give the problem a try: submit your answer at bit.ly/mathleaguepotw, and you could win a #prize!

Check back in a few days to see a video explanation of this problem. #mathcompetition #math #mathleague

Remember this PoTW released a few days ago? x.com/mathleague/sta… Check out our latest YouTube video to see how to solve it: youtube.com/watch?v=lQieij… #mathproblemoftheweek #middleschool

mathleague's tweet card. 12511 Sprint 14

youtube.com

YouTube

12511 Sprint 14

Here is our #middleschool #mathproblemoftheweek for October 4. Please give the problem a try: submit your answer at bit.ly/mathleaguepotw, and you could win a #prize! Check back in a few days to see a video explanation of this problem. #mathcompetition #math #mathleague

mathleague's tweet image. Here is our #middleschool #mathproblemoftheweek for October 4. Please give the problem a try: submit your answer at bit.ly/mathleaguepotw, and you could win a #prize!

Check back in a few days to see a video explanation of this problem. #mathcompetition #math #mathleague


Here is our #highschool #mathproblemoftheweek for November 9. Please give the problem a try: submit your answer at bit.ly/mathleaguepotw, and you could win a #prize! Check back in a few days to see a video explanation of this problem. #mathcompetition #math #mathleague

mathleague's tweet image. Here is our #highschool #mathproblemoftheweek for November 9. Please give the problem a try: submit your answer at bit.ly/mathleaguepotw, and you could win a #prize!

Check back in a few days to see a video explanation of this problem. #mathcompetition #math #mathleague

لا توجد نتائج لـ "#mathproblemoftheweek"

Congratulations to this week's winners of Math Problem of the Week! #MathProblemOfTheWeek #MathBrilliance

TDSB_Greenholme's tweet image. Congratulations to this week's winners of Math Problem of the Week!  #MathProblemOfTheWeek #MathBrilliance

This week's winners for #MathProblemOfTheWeek and the Just Read It book recommendation initative! Join us in congratulating our students for regularly engaging in math and literacy. @MrOmar416 @Alisongsv

TDSB_Greenholme's tweet image. This week's winners for #MathProblemOfTheWeek and the Just Read It book recommendation initative! 

Join us in congratulating our students for regularly engaging in math and literacy.

@MrOmar416 @Alisongsv
TDSB_Greenholme's tweet image. This week's winners for #MathProblemOfTheWeek and the Just Read It book recommendation initative! 

Join us in congratulating our students for regularly engaging in math and literacy.

@MrOmar416 @Alisongsv

Recognizing this week's math problem of the week winners! Centering joy around math allows for our students to become confident life-long learners. @MrOmar416 @Alisongsv #TDSB #MathProblemOfTheWeek #MathBrilliance

TDSB_Greenholme's tweet image. Recognizing this week's math problem of the week winners!

Centering joy around math allows for our students to become confident life-long learners. 

@MrOmar416 @Alisongsv 

#TDSB #MathProblemOfTheWeek #MathBrilliance

Here is our #elementaryschool #mathproblemoftheweek for September 23. Please give the problem a try: submit your answer at bit.ly/mathleaguepotw, and you could win a #prize! Check back in a few days to see a video explanation of this problem. #mathcompetition #math #mathleague

mathleague's tweet image. Here is our #elementaryschool #mathproblemoftheweek for September 23. Please give the problem a try: submit your answer at bit.ly/mathleaguepotw, and you could win a #prize!

Check back in a few days to see a video explanation of this problem. #mathcompetition #math #mathleague

Here is our #elementaryschool #mathproblemoftheweek for October 14. Please give the problem a try: submit your answer at bit.ly/mathleaguepotw, and you could win a #prize! Check back in a few days to see a video explanation of this problem. #mathcompetition #math #mathleague

mathleague's tweet image. Here is our #elementaryschool #mathproblemoftheweek for October 14. Please give the problem a try: submit your answer at bit.ly/mathleaguepotw, and you could win a #prize!

Check back in a few days to see a video explanation of this problem. #mathcompetition #math #mathleague

Here is our #middleschool #mathproblemoftheweek for November 15. Please give the problem a try: submit your answer at bit.ly/mathleaguepotw, and you could win a #prize! Check back in a few days to see a video explanation of this problem. #mathcompetition #math #mathleague

mathleague's tweet image. Here is our #middleschool #mathproblemoftheweek for November 15. Please give the problem a try: submit your answer at bit.ly/mathleaguepotw, and you could win a #prize!

Check back in a few days to see a video explanation of this problem. #mathcompetition #math #mathleague

Here is our #elementaryschool #mathproblemoftheweek for November 18. Please give the problem a try: submit your answer at bit.ly/mathleaguepotw, and you could win a #prize! Check back in a few days to see a video explanation of this problem. #mathcompetition #math #mathleague

mathleague's tweet image. Here is our #elementaryschool #mathproblemoftheweek for November 18. Please give the problem a try: submit your answer at bit.ly/mathleaguepotw, and you could win a #prize!

Check back in a few days to see a video explanation of this problem. #mathcompetition #math #mathleague

Here is our #highschool #mathproblemoftheweek for November 16. Please give the problem a try: submit your answer at bit.ly/mathleaguepotw, and you could win a #prize! Check back in a few days to see a video explanation of this problem. #mathcompetition #math #mathleague

mathleague's tweet image. Here is our #highschool #mathproblemoftheweek for November 16. Please give the problem a try: submit your answer at bit.ly/mathleaguepotw, and you could win a #prize!

Check back in a few days to see a video explanation of this problem. #mathcompetition #math #mathleague

Here is our #elementaryschool #mathproblemoftheweek for November 11. Please give the problem a try: submit your answer at bit.ly/mathleaguepotw, and you could win a #prize! Check back in a few days to see a video explanation of this problem. #mathcompetition #math #mathleague

mathleague's tweet image. Here is our #elementaryschool #mathproblemoftheweek for November 11. Please give the problem a try: submit your answer at bit.ly/mathleaguepotw, and you could win a #prize!

Check back in a few days to see a video explanation of this problem. #mathcompetition #math #mathleague

Here is our #highschool #mathproblemoftheweek for November 9. Please give the problem a try: submit your answer at bit.ly/mathleaguepotw, and you could win a #prize! Check back in a few days to see a video explanation of this problem. #mathcompetition #math #mathleague

mathleague's tweet image. Here is our #highschool #mathproblemoftheweek for November 9. Please give the problem a try: submit your answer at bit.ly/mathleaguepotw, and you could win a #prize!

Check back in a few days to see a video explanation of this problem. #mathcompetition #math #mathleague

Loading...

Something went wrong.


Something went wrong.


United States Trends