#nutrientavailability search results

@PEIgrain #NutrientAvailability @ pH5.0 N53% P34% K52% @ pH5.5 N77% P48% K77% @ pH6.0 N89% P52% K100% @ PH6.5 100%

IslandLime1999's tweet image. @PEIgrain #NutrientAvailability 
@ pH5.0 N53% P34% K52%
@ pH5.5 N77% P48% K77%
@ pH6.0 N89% P52% K100%
@ PH6.5 100%

Soil biology plays a significant role in nutrient availability by influencing nutrient cycling, transformation, and uptake by plants. ➡️ Read more in this article by @Decodesix: hubs.la/Q02wXSt10 #soilbiology #nutrientavailability #agriculture #soilmicrobes

BiomeMakers's tweet image. Soil biology plays a significant role in nutrient availability by influencing nutrient cycling, transformation, and uptake by plants. 

➡️ Read more in this article by @Decodesix: hubs.la/Q02wXSt10

#soilbiology #nutrientavailability #agriculture #soilmicrobes

EXTRACT accelerates nutrient release and increases #nutrientavailability from nutrient applications, crop residues & soil. 🌱 See how the technology in EXTRACT increased the nutritive value of treated #swine and #cattle #manure by viewing the bulletin. 🐄🐷hubs.ly/Q03V7JqQ0

AgricenCo's tweet image. EXTRACT accelerates nutrient release and increases #nutrientavailability from nutrient applications, crop residues & soil. 🌱 See how the technology in EXTRACT increased the nutritive value of treated #swine and #cattle #manure by viewing the bulletin. 🐄🐷hubs.ly/Q03V7JqQ0

Where does the nitrogen come from? A new study shows where mature Douglas-firs get N for growing new needles #Nitrogen #NutrientAvailability #PlantSoilInteraction #OpenAccess @ClaireQubain @DrJiaHu @UASNRE doi.org/10.1002/ecs2.3…

ESAEcosphere's tweet image. Where does the nitrogen come from? A new study shows where mature Douglas-firs get N for growing new needles

#Nitrogen #NutrientAvailability #PlantSoilInteraction #OpenAccess @ClaireQubain @DrJiaHu @UASNRE

doi.org/10.1002/ecs2.3…

Eon Bio applied to green on new short game facility followed by spray application of Retain Pro and irrigation, Thanks to @DPSGOLF for super prompt delivery and service #moistureretention #biology #nutrientavailability #greenkeeping @KingsdownGC

MarkSim93794378's tweet image. Eon Bio applied to green on new short game facility followed by spray application of Retain Pro and irrigation, Thanks to @DPSGOLF for super prompt delivery and service
#moistureretention #biology #nutrientavailability #greenkeeping @KingsdownGC

Thatch removal from greens! Thanks Mike Parks from Hillcrest TUrf Services. #nutrientavailability #waterinfiltration

thewhalemann's tweet image. Thatch removal from greens! Thanks Mike Parks from Hillcrest TUrf Services. #nutrientavailability #waterinfiltration

New and #OpenAccess in @ESAEcology: Stronger fertilization effects on aboveground versus belowground plant properties across nine U.S. grasslands doi.org/10.1002/ecy.38… With #OpenData in @EDIgotdata #NutrientAvailability #PrimaryProductivity #NutrientNetwork #NSFFunded

ESAEcology's tweet image. New and #OpenAccess in @ESAEcology:

Stronger fertilization effects on aboveground versus belowground plant properties across nine U.S. grasslands

doi.org/10.1002/ecy.38…

With #OpenData in @EDIgotdata 

#NutrientAvailability #PrimaryProductivity #NutrientNetwork #NSFFunded

Fall application of #ExtractPBA + UAN over turkey manure led to 16.9 bu/acre corn yield increase at harvest the next season #nutrientavailability agricen.ag/2PfIXfU

AgricenCo's tweet image. Fall application of #ExtractPBA + UAN over turkey manure led to 16.9 bu/acre corn yield increase at harvest the next season #nutrientavailability agricen.ag/2PfIXfU

Download our #FoundationLM product booklet & learn how the proven technology in Foundation LM helps growers get more out of their #cropfertility programs. hubs.ly/H0fTsjl0 #nutrientavailability #liquidfertilisers #broadacrecrops #fertiliserbiocatalyst

AgricenAu's tweet image. Download our #FoundationLM product booklet & learn how the proven technology in Foundation LM helps growers get more out of their #cropfertility programs. hubs.ly/H0fTsjl0 #nutrientavailability #liquidfertilisers #broadacrecrops #fertiliserbiocatalyst

🔒Unlock the tied-up nutrients in your soil with Ag Performance's 𝗘𝗡𝗘𝗥𝗚 𝗣𝗟𝗨𝗦! ➕Increase nutrient availability ➕Improve microbial activity ➕Boost overall yield 📞 641-562-2370 🌐 agperformance.com/energ-plus #AgPerformance #EnerGPlus #NutrientAvailability #PlantHealth


#Nettles: sometimes a nuisance? but crumbs they condition the soil! humus-me-up #organiccultivation N-rich #nutrientavailability

Tregillis_Farm's tweet image. #Nettles: sometimes a nuisance? but crumbs they condition the soil! humus-me-up #organiccultivation N-rich #nutrientavailability

bit.ly/3ona2v0 Bring your soil to life this spring! Increasing soil biology helps plants protect themselves against disease, adverse weather such as drought, and provides nutrient availability in your soil! #WePeakSoil #SoilLife #NutrientAvailability #Plant2021 #organic

AgrSolutionsInc's tweet image. bit.ly/3ona2v0 Bring your soil to life this spring! Increasing soil biology helps plants protect themselves against disease, adverse weather such as drought, and provides nutrient availability in your soil!
#WePeakSoil #SoilLife #NutrientAvailability #Plant2021 #organic

Download the #TitanXC product booklet to learn how the proven technology in Titan XC helps growers release more nutrition from their #cropfertility programs. agricen.ag/2TDaXrk #nutrientavailability #rootgrowth #dryfertilizer #rootdevelopment #nutrientuptake

AgricenCo's tweet image. Download the #TitanXC product booklet to learn how the proven technology in Titan XC helps growers release more nutrition from their #cropfertility programs. agricen.ag/2TDaXrk #nutrientavailability #rootgrowth #dryfertilizer #rootdevelopment #nutrientuptake

Ensuring proper soil pH is crucial for nutrient availability. Contact Ashland SWCD at 419-281-7645 for more details on our soil testing program 🌱 Thank you Fernanda Krupek for sharing this valuable information with us! #SoilTesting #NutrientAvailability #GoodnightGarden

AshlandSWCD's tweet image. Ensuring proper soil pH is crucial for nutrient availability. Contact Ashland SWCD at 419-281-7645 for more details on our soil testing program 🌱 Thank you Fernanda Krupek for sharing this valuable information with us! #SoilTesting #NutrientAvailability #GoodnightGarden

Download our exclusive #FoundationLM product booklet and learn how the proven technology in Foundation LM helps growers get more out of their #cropfertility programs. hubs.ly/H0f6SH40 #nutrientavailability #liquidfertilisers #broadacresprays innovativefertiliserbiocatalyst

AgricenAu's tweet image. Download our exclusive #FoundationLM product booklet and learn how the proven technology in Foundation LM helps growers get more out of their #cropfertility programs. hubs.ly/H0f6SH40 #nutrientavailability #liquidfertilisers #broadacresprays innovativefertiliserbiocatalyst

Ensuring you know your soil's pH is crucial for nutrient availability 🌱 Call us at 419-281-7645 for details on our soil testing program. Thanks to Fernanda Krupek for sharing this valuable information! #SoilTesting #NutrientAvailability #GoodnightGarden 🌿

AshlandSWCD's tweet image. Ensuring you know your soil's pH is crucial for nutrient availability 🌱 Call us at 419-281-7645 for details on our soil testing program. Thanks to Fernanda Krupek for sharing this valuable information! #SoilTesting #NutrientAvailability #GoodnightGarden 🌿

EXTRACT accelerates nutrient release and increases #nutrientavailability from nutrient applications, crop residues & soil. 🌱 See how the technology in EXTRACT increased the nutritive value of treated #swine and #cattle #manure by viewing the bulletin. 🐄🐷hubs.ly/Q03V7JqQ0

AgricenCo's tweet image. EXTRACT accelerates nutrient release and increases #nutrientavailability from nutrient applications, crop residues & soil. 🌱 See how the technology in EXTRACT increased the nutritive value of treated #swine and #cattle #manure by viewing the bulletin. 🐄🐷hubs.ly/Q03V7JqQ0

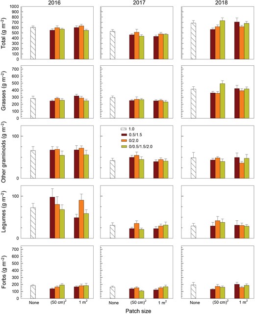
Li-Li Zheng et al. assessed the effects of #SoilNutrientHeterogeneity on plant productivity in natural communities ( #AlpineGrassland on the Qinghai-Tibetan Plateau). #NutrientAvailability | #PatchContrast | #PatchScale @MaximumAcademic doi.org/10.1093/jpe/rt…

JPlantEcol's tweet image. Li-Li Zheng et al. assessed the effects of #SoilNutrientHeterogeneity on plant productivity in natural communities ( #AlpineGrassland on the Qinghai-Tibetan Plateau).

#NutrientAvailability | #PatchContrast | #PatchScale

@MaximumAcademic 

doi.org/10.1093/jpe/rt…
JPlantEcol's tweet image. Li-Li Zheng et al. assessed the effects of #SoilNutrientHeterogeneity on plant productivity in natural communities ( #AlpineGrassland on the Qinghai-Tibetan Plateau).

#NutrientAvailability | #PatchContrast | #PatchScale

@MaximumAcademic 

doi.org/10.1093/jpe/rt…

Ensuring you know your soil's pH is crucial for nutrient availability 🌱 Call us at 419-281-7645 for details on our soil testing program. Thanks to Fernanda Krupek for sharing this valuable information! #SoilTesting #NutrientAvailability #GoodnightGarden 🌿

AshlandSWCD's tweet image. Ensuring you know your soil's pH is crucial for nutrient availability 🌱 Call us at 419-281-7645 for details on our soil testing program. Thanks to Fernanda Krupek for sharing this valuable information! #SoilTesting #NutrientAvailability #GoodnightGarden 🌿

Ensuring proper soil pH is crucial for nutrient availability. Contact Ashland SWCD at 419-281-7645 for more details on our soil testing program 🌱 Thank you Fernanda Krupek for sharing this valuable information with us! #SoilTesting #NutrientAvailability #GoodnightGarden

AshlandSWCD's tweet image. Ensuring proper soil pH is crucial for nutrient availability. Contact Ashland SWCD at 419-281-7645 for more details on our soil testing program 🌱 Thank you Fernanda Krupek for sharing this valuable information with us! #SoilTesting #NutrientAvailability #GoodnightGarden

6. The conclusion is clear: Antarctica’s ice melt and marine ecosystems are deeply connected to global food security, influencing ocean currents and nutrient availability. #IceMelt #NutrientAvailability


"1. The results of Antarctic research indicate that the ice melt is contributing to increased nutrient availability in the Southern Ocean, which supports marine life and global food security. #IceMelt #NutrientAvailability


21. The potential for Antarctica’s ice loss to increase nutrient availability in the Southern Ocean could benefit global food production, especially for marine-based diets. #NutrientAvailability #MarineDiet


Ensuring you know your soil's pH is crucial for nutrient availability 🌱 Call us at 419-281-7645 for details on our soil testing program. Thanks to Fernanda Krupek for sharing this valuable information! #SoilTesting #NutrientAvailability #GoodnightGarden 🌿

AshlandSWCD's tweet image. Ensuring you know your soil's pH is crucial for nutrient availability 🌱 Call us at 419-281-7645 for details on our soil testing program. Thanks to Fernanda Krupek for sharing this valuable information! #SoilTesting #NutrientAvailability #GoodnightGarden 🌿

🔒Unlock the tied-up nutrients in your soil with Ag Performance's 𝗘𝗡𝗘𝗥𝗚 𝗣𝗟𝗨𝗦! ➕Increase nutrient availability ➕Improve microbial activity ➕Boost overall yield 📞 641-562-2370 🌐 agperformance.com/energ-plus #AgPerformance #EnerGPlus #NutrientAvailability #PlantHealth


From snowmelt to temperature shifts, winter weather can influence #NutrientAvailability and #SoilHealth. Learn how to plan your nutrient strategy now to ensure a strong start when spring arrives. 🌱 bit.ly/3ZL5hkb #12DaysofAgronomy

Crop_Nutrition's tweet image. From snowmelt to temperature shifts, winter weather can influence #NutrientAvailability and #SoilHealth. Learn how to plan your nutrient strategy now to ensure a strong start when spring arrives. 🌱 

bit.ly/3ZL5hkb  

#12DaysofAgronomy

Curious why, despite good #emergence, your #yields fell short? The answer could lie in #nutrientavailability. With AGMRI Analyze, pinpoint the root causes- like rainfall and soil productivity, and see how hybrids respond to nutrient deficiencies. bit.ly/49DP3uN

Intelinair's tweet image. Curious why, despite good #emergence, your #yields fell short? The answer could lie in #nutrientavailability.

With AGMRI Analyze, pinpoint the root causes- like rainfall and soil productivity, and see how hybrids respond to nutrient deficiencies. bit.ly/49DP3uN

Soil biology plays a significant role in nutrient availability by influencing nutrient cycling, transformation, and uptake by plants. ➡️ Read more in this article by @Decodesix: hubs.la/Q02wXSt10 #soilbiology #nutrientavailability #agriculture #soilmicrobes

BiomeMakers's tweet image. Soil biology plays a significant role in nutrient availability by influencing nutrient cycling, transformation, and uptake by plants. 

➡️ Read more in this article by @Decodesix: hubs.la/Q02wXSt10

#soilbiology #nutrientavailability #agriculture #soilmicrobes

No results for "#nutrientavailability"

Soil biology plays a significant role in nutrient availability by influencing nutrient cycling, transformation, and uptake by plants. ➡️ Read more in this article by @Decodesix: hubs.la/Q02wXSt10 #soilbiology #nutrientavailability #agriculture #soilmicrobes

BiomeMakers's tweet image. Soil biology plays a significant role in nutrient availability by influencing nutrient cycling, transformation, and uptake by plants. 

➡️ Read more in this article by @Decodesix: hubs.la/Q02wXSt10

#soilbiology #nutrientavailability #agriculture #soilmicrobes

@PEIgrain #NutrientAvailability @ pH5.0 N53% P34% K52% @ pH5.5 N77% P48% K77% @ pH6.0 N89% P52% K100% @ PH6.5 100%

IslandLime1999's tweet image. @PEIgrain #NutrientAvailability 
@ pH5.0 N53% P34% K52%
@ pH5.5 N77% P48% K77%
@ pH6.0 N89% P52% K100%
@ PH6.5 100%

Where does the nitrogen come from? A new study shows where mature Douglas-firs get N for growing new needles #Nitrogen #NutrientAvailability #PlantSoilInteraction #OpenAccess @ClaireQubain @DrJiaHu @UASNRE doi.org/10.1002/ecs2.3…

ESAEcosphere's tweet image. Where does the nitrogen come from? A new study shows where mature Douglas-firs get N for growing new needles

#Nitrogen #NutrientAvailability #PlantSoilInteraction #OpenAccess @ClaireQubain @DrJiaHu @UASNRE

doi.org/10.1002/ecs2.3…

EXTRACT accelerates nutrient release and increases #nutrientavailability from nutrient applications, crop residues & soil. 🌱 See how the technology in EXTRACT increased the nutritive value of treated #swine and #cattle #manure by viewing the bulletin. 🐄🐷hubs.ly/Q03V7JqQ0

AgricenCo's tweet image. EXTRACT accelerates nutrient release and increases #nutrientavailability from nutrient applications, crop residues & soil. 🌱 See how the technology in EXTRACT increased the nutritive value of treated #swine and #cattle #manure by viewing the bulletin. 🐄🐷hubs.ly/Q03V7JqQ0

New and #OpenAccess in @ESAEcology: Stronger fertilization effects on aboveground versus belowground plant properties across nine U.S. grasslands doi.org/10.1002/ecy.38… With #OpenData in @EDIgotdata #NutrientAvailability #PrimaryProductivity #NutrientNetwork #NSFFunded

ESAEcology's tweet image. New and #OpenAccess in @ESAEcology:

Stronger fertilization effects on aboveground versus belowground plant properties across nine U.S. grasslands

doi.org/10.1002/ecy.38…

With #OpenData in @EDIgotdata 

#NutrientAvailability #PrimaryProductivity #NutrientNetwork #NSFFunded

Eon Bio applied to green on new short game facility followed by spray application of Retain Pro and irrigation, Thanks to @DPSGOLF for super prompt delivery and service #moistureretention #biology #nutrientavailability #greenkeeping @KingsdownGC

MarkSim93794378's tweet image. Eon Bio applied to green on new short game facility followed by spray application of Retain Pro and irrigation, Thanks to @DPSGOLF for super prompt delivery and service
#moistureretention #biology #nutrientavailability #greenkeeping @KingsdownGC

A new study characterizes the ecosystem #nitrogen status of secondary forest & larch plantations across northeastern China doi.org/10.1002/ecs2.4… #NutrientAvailability #ForestTypes #OpenAccess

ESAEcosphere's tweet image. A new study characterizes the ecosystem #nitrogen status of secondary forest & larch plantations across northeastern China

doi.org/10.1002/ecs2.4…

#NutrientAvailability #ForestTypes #OpenAccess

Fall application of #ExtractPBA + UAN over turkey manure led to 16.9 bu/acre corn yield increase at harvest the next season #nutrientavailability agricen.ag/2PfIXfU

AgricenCo's tweet image. Fall application of #ExtractPBA + UAN over turkey manure led to 16.9 bu/acre corn yield increase at harvest the next season #nutrientavailability agricen.ag/2PfIXfU

Download the #TitanXC product booklet to learn how the proven technology in Titan XC helps growers release more nutrition from their #cropfertility programs. agricen.ag/2TDaXrk #nutrientavailability #rootgrowth #dryfertilizer #rootdevelopment #nutrientuptake

AgricenCo's tweet image. Download the #TitanXC product booklet to learn how the proven technology in Titan XC helps growers release more nutrition from their #cropfertility programs. agricen.ag/2TDaXrk #nutrientavailability #rootgrowth #dryfertilizer #rootdevelopment #nutrientuptake

Download our #FoundationLM product booklet & learn how the proven technology in Foundation LM helps growers get more out of their #cropfertility programs. hubs.ly/H0fTsjl0 #nutrientavailability #liquidfertilisers #broadacrecrops #fertiliserbiocatalyst

AgricenAu's tweet image. Download our #FoundationLM product booklet & learn how the proven technology in Foundation LM helps growers get more out of their #cropfertility programs. hubs.ly/H0fTsjl0 #nutrientavailability #liquidfertilisers #broadacrecrops #fertiliserbiocatalyst

Ensuring you know your soil's pH is crucial for nutrient availability 🌱 Call us at 419-281-7645 for details on our soil testing program. Thanks to Fernanda Krupek for sharing this valuable information! #SoilTesting #NutrientAvailability #GoodnightGarden 🌿

AshlandSWCD's tweet image. Ensuring you know your soil's pH is crucial for nutrient availability 🌱 Call us at 419-281-7645 for details on our soil testing program. Thanks to Fernanda Krupek for sharing this valuable information! #SoilTesting #NutrientAvailability #GoodnightGarden 🌿

Accomplish LM, Extract PBA, and Titan XC contain concentrated #biochemistry that helps growers increase #nutrientavailability to their #crop, enhance #rootgrowth, and improve #plantperformance. But, what exactly is biochemistry? Learn more: agricen.ag/2Y2xrEh

AgricenCo's tweet image. Accomplish LM, Extract PBA, and Titan XC contain concentrated #biochemistry that helps growers increase #nutrientavailability to their #crop, enhance #rootgrowth, and improve  #plantperformance. But, what exactly is biochemistry? Learn more: agricen.ag/2Y2xrEh

Download the exclusive #TitanXC product booklet to learn how the proven technology in Titan XC helps growers release more nutrition from their #cropfertility programs. agricen.ag/2DppIcL #nutrientavailability #rootgrowth #dryfertilizer #rootdevelopment #nutrientuptake

AgricenCo's tweet image. Download the exclusive #TitanXC product booklet to learn how the proven technology in Titan XC helps growers release more nutrition from their #cropfertility programs. agricen.ag/2DppIcL #nutrientavailability #rootgrowth #dryfertilizer #rootdevelopment #nutrientuptake

Ensuring proper soil pH is crucial for nutrient availability. Contact Ashland SWCD at 419-281-7645 for more details on our soil testing program 🌱 Thank you Fernanda Krupek for sharing this valuable information with us! #SoilTesting #NutrientAvailability #GoodnightGarden

AshlandSWCD's tweet image. Ensuring proper soil pH is crucial for nutrient availability. Contact Ashland SWCD at 419-281-7645 for more details on our soil testing program 🌱 Thank you Fernanda Krupek for sharing this valuable information with us! #SoilTesting #NutrientAvailability #GoodnightGarden

#Growers make a significant investment in their #fertiliser. However, some fertilisers are not efficient in the first season in which they are applied. See how you can increase #nutrientavailability to address this problem to improve fertiliser efficiency. hubs.ly/H0lwpMc0

AgricenAu's tweet image. #Growers make a significant investment in their #fertiliser. However, some fertilisers are not efficient in the first season in which they are applied. See how you can increase #nutrientavailability to address this problem to improve fertiliser efficiency. hubs.ly/H0lwpMc0

Download our exclusive #FoundationLM product booklet and learn how the proven technology in Foundation LM helps growers get more out of their #cropfertility programs. hubs.ly/H0f6SH40 #nutrientavailability #liquidfertilisers #broadacresprays innovativefertiliserbiocatalyst

AgricenAu's tweet image. Download our exclusive #FoundationLM product booklet and learn how the proven technology in Foundation LM helps growers get more out of their #cropfertility programs. hubs.ly/H0f6SH40 #nutrientavailability #liquidfertilisers #broadacresprays innovativefertiliserbiocatalyst

Curious why, despite good #emergence, your #yields fell short? The answer could lie in #nutrientavailability. With AGMRI Analyze, pinpoint the root causes- like rainfall and soil productivity, and see how hybrids respond to nutrient deficiencies. bit.ly/49DP3uN

Intelinair's tweet image. Curious why, despite good #emergence, your #yields fell short? The answer could lie in #nutrientavailability.

With AGMRI Analyze, pinpoint the root causes- like rainfall and soil productivity, and see how hybrids respond to nutrient deficiencies. bit.ly/49DP3uN

Loading...

Something went wrong.


Something went wrong.