🚨 Path analysis is everywhere—but often misunderstood. ✅ This article offers clear guidance for rigorous, transparent use. onlinelibrary.wiley.com/doi/epdf/10.11… Lennox & Payne-Mann (@USC) #PathAnalysis #ResearchMethods #QuantitativeResearch #AcademicWriting #BestPractices #SocialScience

CAR_RCC_Journal's tweet image. 🚨 Path analysis is everywhere—but often misunderstood. ✅ This article offers clear guidance for rigorous, transparent use.
onlinelibrary.wiley.com/doi/epdf/10.11…
Lennox & Payne-Mann (@USC)
#PathAnalysis #ResearchMethods #QuantitativeResearch #AcademicWriting #BestPractices #SocialScience

New RCAP study uses #pathanalysis to examine shared and unique risk factors for binge eating and binge drinking in a sample of 1,994 #adolescents aged 14 at baseline and 16 at follow-up. Read it here! link.springer.com/article/10.100…

RCAP_Editor's tweet image. New RCAP study uses #pathanalysis to examine shared and unique risk factors for binge eating and binge drinking in a sample of 1,994 #adolescents aged 14 at baseline and 16 at follow-up. Read it here! link.springer.com/article/10.100…

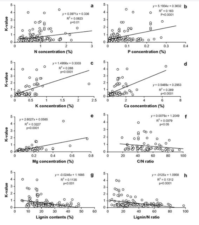
The article aims to construct a comprehensive global database of litter decomposition rate (k value) estimated by surface floor litterbags, and investigate the direct and indirect effects of impact factors. #TerrestrialEcosystems #PathAnalysis 🌎doi.org/10.1093/jpe/rt…

JPlantEcol's tweet image. The article aims to construct a comprehensive global database of litter decomposition rate (k value) estimated by surface floor litterbags, and investigate the direct and indirect effects of impact factors.
#TerrestrialEcosystems #PathAnalysis
🌎doi.org/10.1093/jpe/rt…

NetBeez provides insight into #PathAnalysis which affects your download and upload speed along with hop by hop visibility. Watch this short clip to learn more: hubs.ly/Q02HXwbV0 #troubleshooting #IT #networkmonitoring


Tiago Pomella Lobo of @KITKarlsruhe discusses his #PathAnalysis package for use with #ACT in @ANSYS #Mechanical. Read more about this custom toolbar: developer.ansys.com/blog/pathanaly… #Python #Ansys

AnsysDev's tweet image. Tiago Pomella Lobo of @KITKarlsruhe discusses his #PathAnalysis package for use with #ACT in @ANSYS  #Mechanical. Read more about this custom toolbar: developer.ansys.com/blog/pathanaly…
#Python #Ansys

Gain practical understanding of causal modelling in biology. Introduces path analysis and structural equation modelling in R, with applications for ecological, behavioural, and evolutionary data. prstats.org/course/path-an… #PathAnalysis #SEM #Biostatistics #EcologyResearch #RStats

pr_stats's tweet image. Gain practical understanding of causal modelling in biology. Introduces path analysis and structural equation modelling in R, with applications for ecological, behavioural, and evolutionary data.

prstats.org/course/path-an…

#PathAnalysis #SEM #Biostatistics #EcologyResearch #RStats

🚨 Path analysis is everywhere—but often misunderstood. ✅ This article offers clear guidance for rigorous, transparent use. onlinelibrary.wiley.com/doi/epdf/10.11… Lennox & Payne-Mann (@USC) #PathAnalysis #ResearchMethods #QuantitativeResearch #AcademicWriting #BestPractices #SocialScience

CAR_RCC_Journal's tweet image. 🚨 Path analysis is everywhere—but often misunderstood. ✅ This article offers clear guidance for rigorous, transparent use.
onlinelibrary.wiley.com/doi/epdf/10.11…
Lennox & Payne-Mann (@USC)
#PathAnalysis #ResearchMethods #QuantitativeResearch #AcademicWriting #BestPractices #SocialScience

New RCAP study uses #pathanalysis to examine shared and unique risk factors for binge eating and binge drinking in a sample of 1,994 #adolescents aged 14 at baseline and 16 at follow-up. Read it here! link.springer.com/article/10.100…

RCAP_Editor's tweet image. New RCAP study uses #pathanalysis to examine shared and unique risk factors for binge eating and binge drinking in a sample of 1,994 #adolescents aged 14 at baseline and 16 at follow-up. Read it here! link.springer.com/article/10.100…

Gain practical understanding of causal modelling in biology. Introduces path analysis and structural equation modelling in R, with applications for ecological, behavioural, and evolutionary data. prstats.org/course/path-an… #PathAnalysis #SEM #Biostatistics #EcologyResearch #RStats

pr_stats's tweet image. Gain practical understanding of causal modelling in biology. Introduces path analysis and structural equation modelling in R, with applications for ecological, behavioural, and evolutionary data.

prstats.org/course/path-an…

#PathAnalysis #SEM #Biostatistics #EcologyResearch #RStats

The article aims to construct a comprehensive global database of litter decomposition rate (k value) estimated by surface floor litterbags, and investigate the direct and indirect effects of impact factors. #TerrestrialEcosystems #PathAnalysis 🌎doi.org/10.1093/jpe/rt…

JPlantEcol's tweet image. The article aims to construct a comprehensive global database of litter decomposition rate (k value) estimated by surface floor litterbags, and investigate the direct and indirect effects of impact factors.
#TerrestrialEcosystems #PathAnalysis
🌎doi.org/10.1093/jpe/rt…

NetBeez provides insight into #PathAnalysis which affects your download and upload speed along with hop by hop visibility. Watch this short clip to learn more: hubs.ly/Q02HXwbV0 #troubleshooting #IT #networkmonitoring


NetBeez provides insight into #PathAnalysis which affects your download and upload speed along with hop by hop visibility. Watch this short clip to learn more: hubs.ly/Q02HXBw-0 #troubleshooting #IT #networkmonitoring


ไม่พบผลลัพธ์สำหรับ "#pathanalysis"

Predicting Healthy Eating Intentions in Saudi Adults #PathAnalysis More @ suo.im/5qShcR

Scirp_Papers's tweet image. Predicting Healthy Eating Intentions in Saudi Adults #PathAnalysis More @ suo.im/5qShcR

@jamovistats #Jamovi de yol analizi (#PathAnalysis) de çok keyifli. Dolaylı Etkiler, kategorik değişkenlerin de modele dahil edilebilmesi, farklı gruplarda ayrı ayrı yol analizleri vb. Siz hala #Jamovi ile tanışmadınız mı yoksa?😉

alimurat1984's tweet image. @jamovistats 
#Jamovi de yol analizi (#PathAnalysis) de çok keyifli. 
Dolaylı Etkiler, kategorik değişkenlerin de modele dahil edilebilmesi, farklı gruplarda ayrı ayrı yol analizleri vb. 
Siz hala #Jamovi ile tanışmadınız mı yoksa?😉
alimurat1984's tweet image. @jamovistats 
#Jamovi de yol analizi (#PathAnalysis) de çok keyifli. 
Dolaylı Etkiler, kategorik değişkenlerin de modele dahil edilebilmesi, farklı gruplarda ayrı ayrı yol analizleri vb. 
Siz hala #Jamovi ile tanışmadınız mı yoksa?😉

Using MIMIC Modeling to Identify Dimensions of Self-Regulation in Cerebral Palsy #PathAnalysis #SpecialEducation More @ tinyurl.com/yya3kk9a Article by Ioannis Agaliotis and Panagiotis Varsamis, from University of Macedonia, Greece.

Scirp_Papers's tweet image. Using MIMIC Modeling to Identify Dimensions of Self-Regulation in Cerebral Palsy #PathAnalysis #SpecialEducation More @ tinyurl.com/yya3kk9a
Article by Ioannis Agaliotis and Panagiotis Varsamis, from University of Macedonia, Greece.

Higher spring-summer temperatures reduce deer fecundity in the Alps. #pathanalysis #Cervus #climate esajournals.onlinelibrary.wiley.com/doi/10.1002/ec…

ESAEcosphere's tweet image. Higher spring-summer temperatures reduce deer fecundity in the Alps. #pathanalysis #Cervus #climate 

esajournals.onlinelibrary.wiley.com/doi/10.1002/ec…

Using a more holistic approach to analysing RCT data in educational programmes #pathanalysis #GEIS2018

aideeng's tweet image. Using a more holistic approach to analysing RCT data in educational programmes #pathanalysis #GEIS2018

🚨 Path analysis is everywhere—but often misunderstood. ✅ This article offers clear guidance for rigorous, transparent use. onlinelibrary.wiley.com/doi/epdf/10.11… Lennox & Payne-Mann (@USC) #PathAnalysis #ResearchMethods #QuantitativeResearch #AcademicWriting #BestPractices #SocialScience

CAR_RCC_Journal's tweet image. 🚨 Path analysis is everywhere—but often misunderstood. ✅ This article offers clear guidance for rigorous, transparent use.
onlinelibrary.wiley.com/doi/epdf/10.11…
Lennox & Payne-Mann (@USC)
#PathAnalysis #ResearchMethods #QuantitativeResearch #AcademicWriting #BestPractices #SocialScience

A Revolution is coming where #Marketers commandeer #PathAnalysis out of the #DataScience sandbox. Customer selection tools should guide the #NextBest #interaction and drive journeys from where the #data & #analytics live but w/ #empathy & #emotion ! #TAU18 #TDVantage #CDPplus

DeAnnaLBlair's tweet image. A Revolution is coming where #Marketers commandeer #PathAnalysis out of the #DataScience sandbox. Customer selection tools should guide the #NextBest #interaction and drive journeys from where the #data & #analytics live but w/ #empathy & #emotion !  #TAU18 #TDVantage #CDPplus

Ecologists often want to compare variable coefficients among groups - e.g. among species, sexes, populations. A new development in #PathAnalysis lets them do just that #StatisticalMethods #PiecewiseSEM #OpenAccess @bobdouma1 @WURplant doi.org/10.1002/ecs2.3…

ESAEcosphere's tweet image. Ecologists often want to compare variable coefficients among groups - e.g. among species, sexes, populations. A new development in #PathAnalysis lets them do just that

#StatisticalMethods #PiecewiseSEM
#OpenAccess @bobdouma1 @WURplant

doi.org/10.1002/ecs2.3…

Fantastic overview of interpreting #multipleRegression and #PathAnalysis results #Analytics #IOPsych bit.ly/2wEvvV1


💡 Read our blog post on: Why we built Paths 📊 👉🏻 bit.ly/2wd33vl #productanalytics #pathanalysis #analytics

heap's tweet image. 💡 Read our blog post on: Why we built Paths 📊 👉🏻 bit.ly/2wd33vl #productanalytics #pathanalysis #analytics

New! "#CurriculumEvaluation Using Path Analysis" Application of #pathanalysis provided an objective examination to course sequencing, while providing improvements to the curriculum model in a baccalaureate nursing program bit.ly/2Fu2IY6

NEjournalonline's tweet image. New! "#CurriculumEvaluation Using Path Analysis" Application of #pathanalysis provided an objective examination to course sequencing, while providing improvements to the curriculum model in a baccalaureate nursing program bit.ly/2Fu2IY6
NEjournalonline's tweet image. New! "#CurriculumEvaluation Using Path Analysis" Application of #pathanalysis provided an objective examination to course sequencing, while providing improvements to the curriculum model in a baccalaureate nursing program bit.ly/2Fu2IY6
NEjournalonline's tweet image. New! "#CurriculumEvaluation Using Path Analysis" Application of #pathanalysis provided an objective examination to course sequencing, while providing improvements to the curriculum model in a baccalaureate nursing program bit.ly/2Fu2IY6

Join us for our webinar introducing our new feature - Path Analysis! May 18th at 11AM PDT. Sign up here: hubs.ly/H0LDSg80 #pathanalysis #remote #networkmonitoring #wfh

NetBeez's tweet image. Join us for our webinar introducing our new feature - Path Analysis! May 18th at 11AM PDT. Sign up here: hubs.ly/H0LDSg80 #pathanalysis #remote #networkmonitoring #wfh

New RCAP study uses #pathanalysis to examine shared and unique risk factors for binge eating and binge drinking in a sample of 1,994 #adolescents aged 14 at baseline and 16 at follow-up. Read it here! link.springer.com/article/10.100…

RCAP_Editor's tweet image. New RCAP study uses #pathanalysis to examine shared and unique risk factors for binge eating and binge drinking in a sample of 1,994 #adolescents aged 14 at baseline and 16 at follow-up. Read it here! link.springer.com/article/10.100…

Join us for our webinar introducing our new feature: PATH ANALYSIS on May 18th! Sign up here: hubs.ly/H0LDSg90 #pathanalysis #remote #networkmonitoring #wfh

NetBeez's tweet image. Join us for our webinar introducing our new feature: PATH ANALYSIS on May 18th! Sign up here: hubs.ly/H0LDSg90 #pathanalysis #remote #networkmonitoring #wfh

The article aims to construct a comprehensive global database of litter decomposition rate (k value) estimated by surface floor litterbags, and investigate the direct and indirect effects of impact factors. #TerrestrialEcosystems #PathAnalysis 🌎doi.org/10.1093/jpe/rt…

JPlantEcol's tweet image. The article aims to construct a comprehensive global database of litter decomposition rate (k value) estimated by surface floor litterbags, and investigate the direct and indirect effects of impact factors.
#TerrestrialEcosystems #PathAnalysis
🌎doi.org/10.1093/jpe/rt…

Loading...

Something went wrong.


Something went wrong.


United States Trends