#variationalautoencoder 搜尋結果
Using #MachineLearning to teach my computer how to write numbers. Haha she’s having some issues with 4 and 9 and 7, but not bad for only a few epochs and a regular #Autoencoder. Next up is the #VariationalAutoencoder 💻 🧠

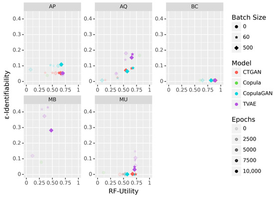
🔥 Read our Highly Cited Paper 📚Challenges of Using Synthetic #Data Generation Methods for Tabular Microdata 🔗mdpi.com/2076-3417/14/1… 👨🔬by Marko Miletic and Murat Sariyar 🏫Bern University of Applied Sciences #syntheticdata #variationalautoencoder

1️⃣ 2nd exe starts generating data and calculating coefficients. Of course, frequently table is saved and you can plot pdf and cdf. #variationalautoencoder #DeepLearning #MachineLearning #ArtificialIntelligence #NeuralNetworks #Statistics #Probability
machine learning typography. exploring a 20-dimensional latent space with #variationalautoencoder #mltypography
#variationalautoencoder learned the characteristics/distributions of the Google Fonts and extracted what it thinks are the most important parameters. This latent space is continuous so it can create a variety of design combinations although it's hard to say they are "good".
NVAE: A Deep Hierarchical Variational Autoencoder Arash Vahdat, Jan Kautz: arxiv.org/abs/2007.03898 #ArtificialIntelligence #DeepLearning #VariationalAutoencoder

Check out these revolutionary algorithms! 🤖 An #AutoEncoder and #VariationalAutoEncoder 🔎 These advanced techniques are like super detectives🕵️♀️. For more fascinating insights, follow @1stepGrow ⚡ #DataScience #DeepLearning #MachineLearning #DataAnalysis #1stepGrow




RT Difference between AutoEncoder (AE) and Variational AutoEncoder (VAE) dlvr.it/SBtmW1 #machinelearning #variationalautoencoder #artificialintelligence

SIMstack: A Generative Shape and Instance Model for Unordered Object Stacks Landgraf et al.: arxiv.org/abs/2103.16442 #DeepLearning #VariationalAutoEncoder #VAE

A novel VAE enabling conditional sampling of features for enhanced data generation and imputation. #NeuralProbabilisticModels #VariationalAutoencoder #DataGeneration

Really interesting to have a chat with you about #VariationalAutoencoder and #AnomalyDetection for #neuroimaging @rkharkness @modybaba101 @bhdebayan ! It gave my a lot of nice ideas ! Looking forward to talk with you again. @SPIE2023

Generating Simulated Stock Price Data using a Variational Autoencoder medium.com/@ricardo.vrgl/… #variationalautoencoder #generativemodel

RT Hands-on Anomaly Detection with Variational Autoencoders dlvr.it/S4kVvz #autoencoder #deeplearning #variationalautoencoder #machinelearning

RT On Distribution of Z’s in VAE dlvr.it/RhqPTm #variationalautoencoder #variationalinference #kldivergence

J Chem. Inf. Model. MGCVAE: Multi-Objective #InverseDesign via Molecular Graph Conditional #VariationalAutoencoder @Soongsilglobal @JCIM_JCTC #Autoencoder #MachineLearning #DeNovoDesign pubs.acs.org/doi/10.1021/ac…
RT Anomaly Detection in Manufacturing, Part 2: Building a Variational Autoencoder dlvr.it/S1Nvs7 #variationalautoencoder #manfdspython #anomalydetection

Action-Conditioned 3D Human Motion Synthesis with Transformer VAE Petrovich et al.: arxiv.org/abs/2104.05670 #DeepLearning #VariationalAutoencoder #VAE

RT Variational Autoencoders as Generative Models with Keras dlvr.it/RlNgCj #deeplearning #variationalautoencoder #datascience #generativemodel

🔥 Read our Highly Cited Paper 📚Challenges of Using Synthetic #Data Generation Methods for Tabular Microdata 🔗mdpi.com/2076-3417/14/1… 👨🔬by Marko Miletic and Murat Sariyar 🏫Bern University of Applied Sciences #syntheticdata #variationalautoencoder

We are happy to share our new J.UCS Issue! lib.jucs.org/issue/5012/ Four articles deal with topical aspects of computer science such as #variationalautoencoder (#vae), #visualstudiocode, Interoperability Architectural Solutions for #softwaresystems, #ethicalartificialintelligence.

A Variational Autoencoder Cascade Generative Adversarial Network for Scalable 3D Object Generation and Reconstruction mdpi.com/1424-8220/24/3… #variationalautoencoder

🔥 Read our Paper 📚 Challenges of Using Synthetic Data Generation Methods for Tabular Microdata 🔗 mdpi.com/2076-3417/14/1… 👨🔬 by Marko Miletic andMurat Sariyar. @bfh_hesb #syntheticdata #variationalautoencoder #copula #generativeadversarialnetworks #GAN

Registration now open for our Theory of Variational Methods nanocourse. Scan QR in pic or click here to apply: redcap.link/Reg_VariaMeth_… Course Info: nanocourses.net/spring-2025/#v… #GenerativeML #VariationalAutoencoder #Concepts

🚨 New #OpenAccess #paper! 📄 Our researchers Francisco J. Herraiz, Javier Matanza, PhD & others present a #VariationalAutoencoder approach for generating #syntheticsignals with #capacitivesensors, improving #DataAugmentation & #MachineLearning. 🔍⚡ 🔗 shorturl.at/SZ6ih
PCGen: A Fully Parallelizable Point Cloud Generative Model mdpi.com/1424-8220/24/5… @ResearchUGent @VUBrussel #pointclouds; #autoencoder; #variationalautoencoder

A novel VAE enabling conditional sampling of features for enhanced data generation and imputation. #NeuralProbabilisticModels #VariationalAutoencoder #DataGeneration

RT Variational Autoencoder (VAE) with Discrete Distribution using Gumbel Softmax #deeplearning #variationalautoencoder #datascience #machinelearning dlvr.it/StQwJd

Check out these revolutionary algorithms! 🤖 An #AutoEncoder and #VariationalAutoEncoder 🔎 These advanced techniques are like super detectives🕵️♀️. For more fascinating insights, follow @1stepGrow ⚡ #DataScience #DeepLearning #MachineLearning #DataAnalysis #1stepGrow




New paper from @RiceMECH @NVIDIA @BerkeleyLab authors on data-driven observationally constrained models of geophysical #turbulence showing uncertainty quantification, stability, and generalization. #TransferLearning #VariationalAutoencoder #WeatherForecasting #Climatology #ML
Long-term stability & generalization of observationally-constrained stochastic data-driven models for geophysical turbulence @Ashesh6810 @JaideepPathak @EbNabizadeh @TurbulentJet et al → doi.org/10.1017/eds.20… #Climate #ClimateModels #WeatherForecasting #ClimateSimulations

Excited to offer my first course on Generative Modelling (using VAEs)! It will be a slow-paced course so that we can cover all the (required) basics before jumping into the math and implementations. Hope to see you there!
Really interesting to have a chat with you about #VariationalAutoencoder and #AnomalyDetection for #neuroimaging @rkharkness @modybaba101 @bhdebayan ! It gave my a lot of nice ideas ! Looking forward to talk with you again. @SPIE2023

#highlycitedpaper Detecting Respiratory Pathologies Using Convolutional Neural Networks and Variational Autoencoders for Unbalancing Data mdpi.com/1424-8220/20/4… #CNN #variationalautoencoder #respiratory #lungs #pathologies

#variationalautoencoder #deeplearning Uncovering Anomalies with Variational Autoencoders (VAE): A Deep Dive into the World of… dlvr.it/SgzvtZ
RT Uncovering Anomalies with Variational Autoencoders (VAE): A Deep Dive into the World of… dlvr.it/SgzvKm #variationalautoencoder #deeplearning #datascience

NVAE: A Deep Hierarchical Variational Autoencoder Arash Vahdat, Jan Kautz: arxiv.org/abs/2007.03898 #ArtificialIntelligence #DeepLearning #VariationalAutoencoder

🔥 Read our Highly Cited Paper 📚Challenges of Using Synthetic #Data Generation Methods for Tabular Microdata 🔗mdpi.com/2076-3417/14/1… 👨🔬by Marko Miletic and Murat Sariyar 🏫Bern University of Applied Sciences #syntheticdata #variationalautoencoder

Using #MachineLearning to teach my computer how to write numbers. Haha she’s having some issues with 4 and 9 and 7, but not bad for only a few epochs and a regular #Autoencoder. Next up is the #VariationalAutoencoder 💻 🧠

SIMstack: A Generative Shape and Instance Model for Unordered Object Stacks Landgraf et al.: arxiv.org/abs/2103.16442 #DeepLearning #VariationalAutoEncoder #VAE

Action-Conditioned 3D Human Motion Synthesis with Transformer VAE Petrovich et al.: arxiv.org/abs/2104.05670 #DeepLearning #VariationalAutoencoder #VAE

Check out these revolutionary algorithms! 🤖 An #AutoEncoder and #VariationalAutoEncoder 🔎 These advanced techniques are like super detectives🕵️♀️. For more fascinating insights, follow @1stepGrow ⚡ #DataScience #DeepLearning #MachineLearning #DataAnalysis #1stepGrow




RT Difference between AutoEncoder (AE) and Variational AutoEncoder (VAE) dlvr.it/SBtmW1 #machinelearning #variationalautoencoder #artificialintelligence

Generating Simulated Stock Price Data using a Variational Autoencoder medium.com/@ricardo.vrgl/… #variationalautoencoder #generativemodel

1️⃣ 2nd exe starts generating data and calculating coefficients. Of course, frequently table is saved and you can plot pdf and cdf. #variationalautoencoder #DeepLearning #MachineLearning #ArtificialIntelligence #NeuralNetworks #Statistics #Probability
Really interesting to have a chat with you about #VariationalAutoencoder and #AnomalyDetection for #neuroimaging @rkharkness @modybaba101 @bhdebayan ! It gave my a lot of nice ideas ! Looking forward to talk with you again. @SPIE2023

RT On Distribution of Z’s in VAE dlvr.it/RhqPTm #variationalautoencoder #variationalinference #kldivergence

Word of the Day "Variational Autoencoder (VAE)" Subscribe us at thetechplatform.com for more articles and posts. Follow us on Social Media at @thetechplatform #thetechplatform #variationalautoencoder #wordoftheday

RT Variational Autoencoder (VAE) with Discrete Distribution using Gumbel Softmax #deeplearning #variationalautoencoder #datascience #machinelearning dlvr.it/StQwJd

RT Hands-on Anomaly Detection with Variational Autoencoders dlvr.it/S4kVvz #autoencoder #deeplearning #variationalautoencoder #machinelearning

RT Variational Autoencoders as Generative Models with Keras dlvr.it/RlNgCj #deeplearning #variationalautoencoder #datascience #generativemodel

A novel VAE enabling conditional sampling of features for enhanced data generation and imputation. #NeuralProbabilisticModels #VariationalAutoencoder #DataGeneration

Registration now open for our Theory of Variational Methods nanocourse. Scan QR in pic or click here to apply: redcap.link/Reg_VariaMeth_… Course Info: nanocourses.net/spring-2025/#v… #GenerativeML #VariationalAutoencoder #Concepts

RT Variational Bayes: the intuition behind Variational Auto-Encoders (VAEs). dlvr.it/Rr6n9Q #variationalautoencoder #optimizationalgorithms #machinelearning

RT Anomaly Detection in Manufacturing, Part 2: Building a Variational Autoencoder dlvr.it/S1Nvs7 #variationalautoencoder #manfdspython #anomalydetection

PCGen: A Fully Parallelizable Point Cloud Generative Model mdpi.com/1424-8220/24/5… @ResearchUGent @VUBrussel #pointclouds; #autoencoder; #variationalautoencoder

Something went wrong.
Something went wrong.
United States Trends
- 1. George Santos 39.3K posts
- 2. Carson Beck 1,801 posts
- 3. Louisville 8,790 posts
- 4. #SmackDown 10.3K posts
- 5. Malachi Toney N/A
- 6. Dan Wilson 1,611 posts
- 7. #askdave N/A
- 8. Canzone 2,908 posts
- 9. Jeff Brohm N/A
- 10. Bryce Miller 1,825 posts
- 11. #DaytimeEmmys 2,220 posts
- 12. Tina Peters 6,009 posts
- 13. Chris Bell N/A
- 14. Bryan Woo N/A
- 15. End 1Q N/A
- 16. Alejandro Kirk 1,033 posts
- 17. Prince Andrew 49.6K posts
- 18. No Kings 315K posts
- 19. #FireCountry N/A
- 20. End of 1st 1,380 posts