BioModelling's profile picture. What's up with modelling today?
We share all kinds of biological and agronomical #models
#UCL
Credit : FreeLogoMaker

BioModelling

@BioModelling

What's up with modelling today? We share all kinds of biological and agronomical #models #UCL Credit : FreeLogoMaker

You might like

We've plotted the density distributions of young beet roots. By studying these graphs for different elongation rates (different beet varieties), we hope to confirm or reverse our initial hypothesis: a higher elongation rate allows better resistance of beet to nematode

BioModelling's tweet image. We've plotted the density distributions of young beet roots. By studying these graphs for different elongation rates (different beet varieties), we hope to confirm or reverse our initial hypothesis: a higher elongation rate allows better resistance of beet to nematode

We managed to implement our beet parameters in Rootbox. We're on the right track. #Excited #NoPainNoGain #MATLAB #coding

BioModelling's tweet image. We managed to implement our beet parameters in Rootbox. We're on the right track. #Excited #NoPainNoGain #MATLAB #coding

Slight climate shifts can affect optimum water use in plant communities: Journal paper projects how plants respond in 'dry gets drier, wet gets wetter' world sciencedaily.com/releases/2017/…


"We find that respiration losses of carbon dioxide by plant respiration is 30% higher than previous estimates, and is expected to increase more than expected under global warming." Read more at: buff.ly/2zsOxU9 #climatechange #modeling

BioModelling's tweet image. "We find that respiration losses of carbon dioxide by plant respiration is 30% higher than previous estimates, and is expected to increase more than expected under global warming."
Read more at: buff.ly/2zsOxU9 #climatechange #modeling

The abundance of agro-ecosystem models for simulating C and N fluxes developed over recent decades creates a difficulty because predictions show large variability. Here is a recent review to determine the state-of-the-art in modeling agricultural systems buff.ly/2zrrVUi

BioModelling's tweet image. The abundance of agro-ecosystem models for simulating C and N fluxes developed over recent decades creates a difficulty because predictions show large variability. Here is a recent review to determine the state-of-the-art in modeling agricultural systems buff.ly/2zrrVUi

Using the root atlas from the University of Wageningen, we try to find the input root parameters to enter in rootbox to model the root system of beta vulgaris. @WUR

BioModelling's tweet image. Using the root atlas from the University of Wageningen, we try to find the input root parameters to enter in rootbox to model the root system of beta vulgaris. @WUR

Still with rootbox, we are checking whether different growth kinetics (faster elongation rates) are responsible for the resistance of certain beet varieties. @IRBAB_KBIVB #proofofconcept #sugarbeet


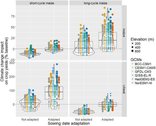
In this study, scientists used multi-crop rotations in place of isolated monocultures to better represent local production systems and its adaptation to #ClimateChange in #NZL. #APSIM #RCP Read here : buff.ly/2Av6kad

BioModelling's tweet image. In this study, scientists used multi-crop rotations in place of isolated monocultures to better represent local production systems and its adaptation to #ClimateChange in #NZL. #APSIM #RCP Read here : buff.ly/2Av6kad
BioModelling's tweet image. In this study, scientists used multi-crop rotations in place of isolated monocultures to better represent local production systems and its adaptation to #ClimateChange in #NZL. #APSIM #RCP Read here : buff.ly/2Av6kad

We can now watch plant photosynthesis form space! #NASA #photosynthesis buff.ly/2zkO2s7

BioModelling's tweet image. We can now watch plant photosynthesis form space! #NASA #photosynthesis buff.ly/2zkO2s7

BioModelling reposted

Nice autumn leaf comparison from yesterday: Silver Birch from drier acid soils with pine & Downy Birch from wet woodland with willow.

PinkfootedGus's tweet image. Nice autumn leaf comparison from yesterday: Silver Birch from drier acid soils with pine & Downy Birch from wet woodland with willow.

Using a computer model, scientists from #UBC quantified how trees impact local weather and save energy." buff.ly/2zgv3kK


Senescence = complex phenomenon -> need for a systemic and multi-omic approach buff.ly/2y2Nrcn


The new #VCell eventually allows biologists without strong math or computer programming skills to build models : buff.ly/2yaV5X4

BioModelling's tweet image. The new #VCell eventually allows biologists without strong math or computer programming skills to build models : buff.ly/2yaV5X4

A modelling approach that is more and more complex and accurate to quantitatively understand gene circuit behaviors buff.ly/2gC3qLP


One step closer to a better understanding of plant flowering!

.@NAIST_MAIN_EN research reveals how auxin halts stem cell activity to promote flowering globalplantcouncil.org/news-and-event… #plantsci

GlobalPlantGPC's tweet image. .@NAIST_MAIN_EN research reveals how auxin halts stem cell activity to promote flowering
globalplantcouncil.org/news-and-event… #plantsci


A new way to visualize biological networks! buff.ly/2xj9hJ1

BioModelling's tweet image. A new way to visualize biological networks! buff.ly/2xj9hJ1

Modelling a bee's brain to explain its behaviour : buff.ly/2h0OtzE

BioModelling's tweet image. Modelling a bee's brain to explain its behaviour : buff.ly/2h0OtzE

#OpenAccessWeek : It's now important to move the discussion beyond talking about openness itself and instead focus on what openness enables

BioModelling's tweet image. #OpenAccessWeek : It's now important to move the discussion beyond talking about openness itself and instead focus on what openness enables

Nice article about a model of Root Hair and Soil Interactions using SRXCT (synchrotron X-ray computed tomography) : buff.ly/2yAg2Km

BioModelling's tweet image. Nice article about a model of Root Hair and Soil Interactions using SRXCT (synchrotron X-ray computed tomography) : buff.ly/2yAg2Km

It's uncommon to find such model as #MECHATREE that allowed us to simulate entire forests over long periods of time. buff.ly/2gPVH9E

BioModelling's tweet image. It's uncommon to find such model as #MECHATREE that allowed us to simulate entire forests over long periods of time. buff.ly/2gPVH9E

Loading...

Something went wrong.


Something went wrong.