DavidMackeyDPT's profile picture. Doctor of Physical Therapy ⚕️ fascinated by movement and the amazing complexity and design of the human body 🫀

David Mackey

@DavidMackeyDPT

Doctor of Physical Therapy ⚕️ fascinated by movement and the amazing complexity and design of the human body 🫀

Épinglé

Physiological stress on #joints (walking, #running, and even PROM) causes an upregulation of CITED2, a protein that plays a protective role in joint #health by suppressing cartilage degradation. Leong et al. pmc.ncbi.nlm.nih.gov/articles/PMC30…

DavidMackeyDPT's tweet image. Physiological stress on #joints (walking, #running, and even PROM) causes an upregulation of CITED2, a protein that plays a protective role in joint #health by suppressing cartilage degradation. 

Leong et al.
pmc.ncbi.nlm.nih.gov/articles/PMC30…
DavidMackeyDPT's tweet image. Physiological stress on #joints (walking, #running, and even PROM) causes an upregulation of CITED2, a protein that plays a protective role in joint #health by suppressing cartilage degradation. 

Leong et al.
pmc.ncbi.nlm.nih.gov/articles/PMC30…
DavidMackeyDPT's tweet image. Physiological stress on #joints (walking, #running, and even PROM) causes an upregulation of CITED2, a protein that plays a protective role in joint #health by suppressing cartilage degradation. 

Leong et al.
pmc.ncbi.nlm.nih.gov/articles/PMC30…

David Mackey a reposté

Here's Charlie Kirk asking John MacArthur to share the gospel with his audience...


David Mackey a reposté

Courage and faith! True bravery is standing for your beliefs, even when the world tries to silence you. Free speech isn’t just a right, it’s a responsibility. MAHA

“I want to be remembered for my courage and my faith”

RFKJrMission's tweet image. “I want to be remembered for my courage and my faith”


A single, high dose of #creatine (0.35g/kg) can partially reverse the metabolic alterations and cognitive deterioration associated with acute sleep deprivation. nature.com/articles/s4159…

DavidMackeyDPT's tweet image. A single, high dose of #creatine (0.35g/kg) can partially reverse the metabolic alterations and cognitive deterioration associated with acute sleep deprivation.
nature.com/articles/s4159…
DavidMackeyDPT's tweet image. A single, high dose of #creatine (0.35g/kg) can partially reverse the metabolic alterations and cognitive deterioration associated with acute sleep deprivation.
nature.com/articles/s4159…
DavidMackeyDPT's tweet image. A single, high dose of #creatine (0.35g/kg) can partially reverse the metabolic alterations and cognitive deterioration associated with acute sleep deprivation.
nature.com/articles/s4159…

🏃‍♂️ Recovering from a tibial bone stress injury? Check out this recent scoping review on criteria & guidelines for safely returning to #running. Evidence-based insights to guide your comeback! 💪 pmc.ncbi.nlm.nih.gov/articles/PMC11…

DavidMackeyDPT's tweet image. 🏃‍♂️ Recovering from a tibial bone stress injury? Check out this recent scoping review on criteria & guidelines for safely returning to #running. Evidence-based insights to guide your comeback! 💪

pmc.ncbi.nlm.nih.gov/articles/PMC11…
DavidMackeyDPT's tweet image. 🏃‍♂️ Recovering from a tibial bone stress injury? Check out this recent scoping review on criteria & guidelines for safely returning to #running. Evidence-based insights to guide your comeback! 💪

pmc.ncbi.nlm.nih.gov/articles/PMC11…

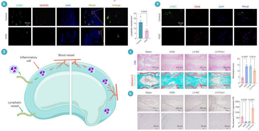
New research challenges belief that healthy intervertebral discs do not have lymphatic supply and suggests it may allow them to alleviate inflammation within the discs. This may open up new possibilities for future treatments of degenerative disc disease. sciencedirect.com/science/articl…

DavidMackeyDPT's tweet image. New research challenges belief that healthy intervertebral discs do not have lymphatic supply and suggests it may allow them to alleviate inflammation within the discs. This may open up new possibilities for future treatments of degenerative disc disease.
sciencedirect.com/science/articl…
DavidMackeyDPT's tweet image. New research challenges belief that healthy intervertebral discs do not have lymphatic supply and suggests it may allow them to alleviate inflammation within the discs. This may open up new possibilities for future treatments of degenerative disc disease.
sciencedirect.com/science/articl…
DavidMackeyDPT's tweet image. New research challenges belief that healthy intervertebral discs do not have lymphatic supply and suggests it may allow them to alleviate inflammation within the discs. This may open up new possibilities for future treatments of degenerative disc disease.
sciencedirect.com/science/articl…

Imaging findings of degenerative spine disease are common in asymptomatic people. Educate patients and advise clinicians to focus on symptoms, using imaging only as a guide in rehab and to rule out red flags 🚩 pmc.ncbi.nlm.nih.gov/articles/PMC44…

DavidMackeyDPT's tweet image. Imaging findings of degenerative spine disease are common in asymptomatic people. Educate patients and advise clinicians to focus on symptoms, using imaging only as a guide in rehab and to rule out red flags 🚩
pmc.ncbi.nlm.nih.gov/articles/PMC44…
DavidMackeyDPT's tweet image. Imaging findings of degenerative spine disease are common in asymptomatic people. Educate patients and advise clinicians to focus on symptoms, using imaging only as a guide in rehab and to rule out red flags 🚩
pmc.ncbi.nlm.nih.gov/articles/PMC44…

Should we use the postural structural biomechanical model? Postural/structural asymmetries don't cause back pain; they're normal variations. Correcting these factors is not clinically attainable and unlikely to change the course of lower back conditions. pubmed.ncbi.nlm.nih.gov/21419349/

DavidMackeyDPT's tweet image. Should we use the postural structural biomechanical model?
Postural/structural asymmetries don't cause back pain; they're normal variations. Correcting these factors is not clinically attainable and unlikely to change the course of lower back conditions.
pubmed.ncbi.nlm.nih.gov/21419349/
DavidMackeyDPT's tweet image. Should we use the postural structural biomechanical model?
Postural/structural asymmetries don't cause back pain; they're normal variations. Correcting these factors is not clinically attainable and unlikely to change the course of lower back conditions.
pubmed.ncbi.nlm.nih.gov/21419349/
DavidMackeyDPT's tweet image. Should we use the postural structural biomechanical model?
Postural/structural asymmetries don't cause back pain; they're normal variations. Correcting these factors is not clinically attainable and unlikely to change the course of lower back conditions.
pubmed.ncbi.nlm.nih.gov/21419349/

Achilles tendinopathy 🦶🏼 ▪️Epidemiology ▪️Mechanisms/pathophysiology ▪️Diagnosis and differential diagnosis ▪️Prevention ▪️Management Traweger et al. (2025) ora.ox.ac.uk/objects/uuid:1…

DavidMackeyDPT's tweet image. Achilles tendinopathy 🦶🏼
▪️Epidemiology
▪️Mechanisms/pathophysiology 
▪️Diagnosis and differential diagnosis
▪️Prevention 
▪️Management
Traweger et al. (2025)
ora.ox.ac.uk/objects/uuid:1…
DavidMackeyDPT's tweet image. Achilles tendinopathy 🦶🏼
▪️Epidemiology
▪️Mechanisms/pathophysiology 
▪️Diagnosis and differential diagnosis
▪️Prevention 
▪️Management
Traweger et al. (2025)
ora.ox.ac.uk/objects/uuid:1…
DavidMackeyDPT's tweet image. Achilles tendinopathy 🦶🏼
▪️Epidemiology
▪️Mechanisms/pathophysiology 
▪️Diagnosis and differential diagnosis
▪️Prevention 
▪️Management
Traweger et al. (2025)
ora.ox.ac.uk/objects/uuid:1…
DavidMackeyDPT's tweet image. Achilles tendinopathy 🦶🏼
▪️Epidemiology
▪️Mechanisms/pathophysiology 
▪️Diagnosis and differential diagnosis
▪️Prevention 
▪️Management
Traweger et al. (2025)
ora.ox.ac.uk/objects/uuid:1…

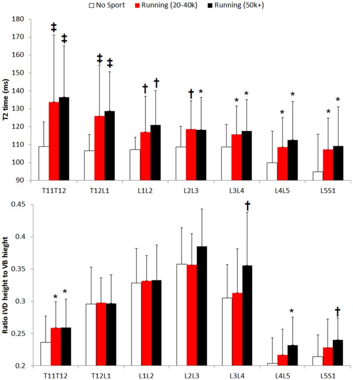
Long-distance runners & joggers may have healthier intervertebral discs with better hydration levels than the sedentary. In long-distance runners, IVDs had hypertrophy in lower segments (L3-S1) that are under higher stress during repetitive axial loading. pmc.ncbi.nlm.nih.gov/articles/PMC53…

DavidMackeyDPT's tweet image. Long-distance runners & joggers may have healthier intervertebral discs with better hydration levels than the sedentary. In long-distance runners, IVDs had hypertrophy in lower segments (L3-S1) that are under higher stress during repetitive axial loading.
pmc.ncbi.nlm.nih.gov/articles/PMC53…
DavidMackeyDPT's tweet image. Long-distance runners & joggers may have healthier intervertebral discs with better hydration levels than the sedentary. In long-distance runners, IVDs had hypertrophy in lower segments (L3-S1) that are under higher stress during repetitive axial loading.
pmc.ncbi.nlm.nih.gov/articles/PMC53…
DavidMackeyDPT's tweet image. Long-distance runners & joggers may have healthier intervertebral discs with better hydration levels than the sedentary. In long-distance runners, IVDs had hypertrophy in lower segments (L3-S1) that are under higher stress during repetitive axial loading.
pmc.ncbi.nlm.nih.gov/articles/PMC53…
DavidMackeyDPT's tweet image. Long-distance runners & joggers may have healthier intervertebral discs with better hydration levels than the sedentary. In long-distance runners, IVDs had hypertrophy in lower segments (L3-S1) that are under higher stress during repetitive axial loading.
pmc.ncbi.nlm.nih.gov/articles/PMC53…

This 2018 survey found that only 83% of med schools require #musculoskeletal courses in their curriculum. 54% of the students surveyed felt that their MSK education was adequate. Is this enough considering 30-40% of PCP visits are for MSK conditions? pmc.ncbi.nlm.nih.gov/articles/PMC61…

DavidMackeyDPT's tweet image. This 2018 survey found that only 83% of med schools require #musculoskeletal courses in their curriculum. 54% of the students surveyed felt that their MSK education was adequate. 
Is this enough considering 30-40% of PCP visits are for MSK conditions? 

pmc.ncbi.nlm.nih.gov/articles/PMC61…
DavidMackeyDPT's tweet image. This 2018 survey found that only 83% of med schools require #musculoskeletal courses in their curriculum. 54% of the students surveyed felt that their MSK education was adequate. 
Is this enough considering 30-40% of PCP visits are for MSK conditions? 

pmc.ncbi.nlm.nih.gov/articles/PMC61…

Digital Dementia Excessive screen time may be linked to immediate & long-term cognitive deficits & decline due to reduced brain volume (especially during development). This may lead to a 2-4x greater risk of dementia into adulthood imrpress.com/journal/JIN/21… pmc.ncbi.nlm.nih.gov/articles/PMC84…

DavidMackeyDPT's tweet image. Digital Dementia
Excessive screen time may be linked to immediate & long-term cognitive deficits & decline due to reduced brain volume (especially during development). This may lead to a 2-4x greater risk of dementia into adulthood
imrpress.com/journal/JIN/21…
pmc.ncbi.nlm.nih.gov/articles/PMC84…
DavidMackeyDPT's tweet image. Digital Dementia
Excessive screen time may be linked to immediate & long-term cognitive deficits & decline due to reduced brain volume (especially during development). This may lead to a 2-4x greater risk of dementia into adulthood
imrpress.com/journal/JIN/21…
pmc.ncbi.nlm.nih.gov/articles/PMC84…
DavidMackeyDPT's tweet image. Digital Dementia
Excessive screen time may be linked to immediate & long-term cognitive deficits & decline due to reduced brain volume (especially during development). This may lead to a 2-4x greater risk of dementia into adulthood
imrpress.com/journal/JIN/21…
pmc.ncbi.nlm.nih.gov/articles/PMC84…
DavidMackeyDPT's tweet image. Digital Dementia
Excessive screen time may be linked to immediate & long-term cognitive deficits & decline due to reduced brain volume (especially during development). This may lead to a 2-4x greater risk of dementia into adulthood
imrpress.com/journal/JIN/21…
pmc.ncbi.nlm.nih.gov/articles/PMC84…

Global summit concludes there is no evidence that #spinal manipulative therapy can prevent or treat non-musculoskeletal disorders. #chiropractor #PhysicalTherapy #chiro #physiotherapy #manipulations

DavidMackeyDPT's tweet image. Global summit concludes there is no evidence that #spinal manipulative therapy can prevent or treat non-musculoskeletal disorders. 

#chiropractor #PhysicalTherapy #chiro #physiotherapy #manipulations
DavidMackeyDPT's tweet image. Global summit concludes there is no evidence that #spinal manipulative therapy can prevent or treat non-musculoskeletal disorders. 

#chiropractor #PhysicalTherapy #chiro #physiotherapy #manipulations

Effects of #Running on the Development of #Knee #OA In the short term, running is not associated with worsening PROs or radiological signs of knee OA and may be protective against generalized knee pain. pmc.ncbi.nlm.nih.gov/articles/PMC99…

DavidMackeyDPT's tweet image. Effects of #Running on the Development of #Knee #OA

In the short term, running is not associated with worsening PROs or radiological signs of knee OA and may be protective against generalized knee pain.
 pmc.ncbi.nlm.nih.gov/articles/PMC99…
DavidMackeyDPT's tweet image. Effects of #Running on the Development of #Knee #OA

In the short term, running is not associated with worsening PROs or radiological signs of knee OA and may be protective against generalized knee pain.
 pmc.ncbi.nlm.nih.gov/articles/PMC99…

Gluteal Muscle Forces during #Hip-Focused #Injury Prevention and #Rehabilitation Exercises journals.lww.com/acsm-msse/full…

DavidMackeyDPT's tweet image. Gluteal Muscle Forces during #Hip-Focused #Injury Prevention and #Rehabilitation Exercises

journals.lww.com/acsm-msse/full…
DavidMackeyDPT's tweet image. Gluteal Muscle Forces during #Hip-Focused #Injury Prevention and #Rehabilitation Exercises

journals.lww.com/acsm-msse/full…
DavidMackeyDPT's tweet image. Gluteal Muscle Forces during #Hip-Focused #Injury Prevention and #Rehabilitation Exercises

journals.lww.com/acsm-msse/full…
DavidMackeyDPT's tweet image. Gluteal Muscle Forces during #Hip-Focused #Injury Prevention and #Rehabilitation Exercises

journals.lww.com/acsm-msse/full…

Loading...

Something went wrong.


Something went wrong.