
Mike
@Docmike32
Infectious diseases (BCIDP). STLCOP/MUSC alum. Coffee addict. Music lover. Taurus. Dogs are the best. Opinions are my own (duh).
Może Ci się spodobać
HOLEE SHIZZLES‼️ 🚨 BREAKING: Internal Records show Johnson & Johnson Tylenol Maker Privately Admitted Evidence Was Getting ‘Heavy’ For Autism Risk In 2018, and doctors were warning J&J as early as 2008 • According to the DCNF report, J&J's Janssen division (its pharmaceutical…

I remember it too well.
Remembering Hurricane Hugo 36 Years Later - Photo Gallery - bit.ly/4naroJX #hurricanehugo #chswx

Dinosaurs 🦕 🦖 yield potential new #antibiotic 💊 so cool @WSJ @reactgroup @gardp_amr @ICARS_global @ABsteward @theAMRnarrative

Continuous infusion of linezolid, combined with early TDM, has the potential to enhance drug exposure, improve therapeutic precision, and reduce toxicity for critically ill patients Does anyone have experience to share? doi.org/10.1007/s00134…

In this cohort study from 🇨🇭 including 371061 peripheral IV catheters (PIVC), the risk of bloodstream infections was significantly increased after 3 days of dwell time. After day 3, PIVC indication should be reviewed and PIVC replacement considered. doi.org/10.1001/jamane…

New review article on management of S. aureus bacteraemia: jamanetwork.com/journals/jama/… @JAMA_current Check out the gorgeous Figure which brings together elements of pathogenesis and management: (thread)
jamanetwork.com
Staphylococcus aureus Bacteremia: A Review
This narrative review summarizes current evidence on the epidemiology, pathophysiology, clinical presentation, diagnosis, and treatment of Staphylococcus aureus bacteremia.
🆕💫MidLine_PICC RCT Midline Venous Catheter vs Peripherally Inserted Central Catheter for Intravenous Therapy #idxposts jamanetwork.com/journals/jaman…
Effects of cancer therapy on AMR Cisplatin➡️cross-resistance to FQ (target bacterial DNA) Methotrexate➡️dihydrofolate reductase mutations➡️co-select for β-lactams/AG/fosfo resistance Anthracyclines➡️efflux pump expression Etoposide➡️oxidative stress➡️gyrA mutations…
Santa Carota Beef just dropped hundreds of pounds of grass raised carrot finished beef for us to cook and get to those in need in LA. He drove 4 hours from the farm to drop. Amazing people.

Guy Who Said Facebook Was Not Suppressing Free Speech Announces Facebook Will Stop Suppressing Free Speech buff.ly/3DKFxvM

🆕🔥Just published 🔥🆕 Updates on the Treatment of Drug-Susceptible and Drug-Resistant Tuberculosis(TB) An Official @atscommunity @CDCgov @IDSAInfo @EuroRespSoc Clinical Practice Guideline Thanks @Inox94 #idxposts atsjournals.org/doi/full/10.11…




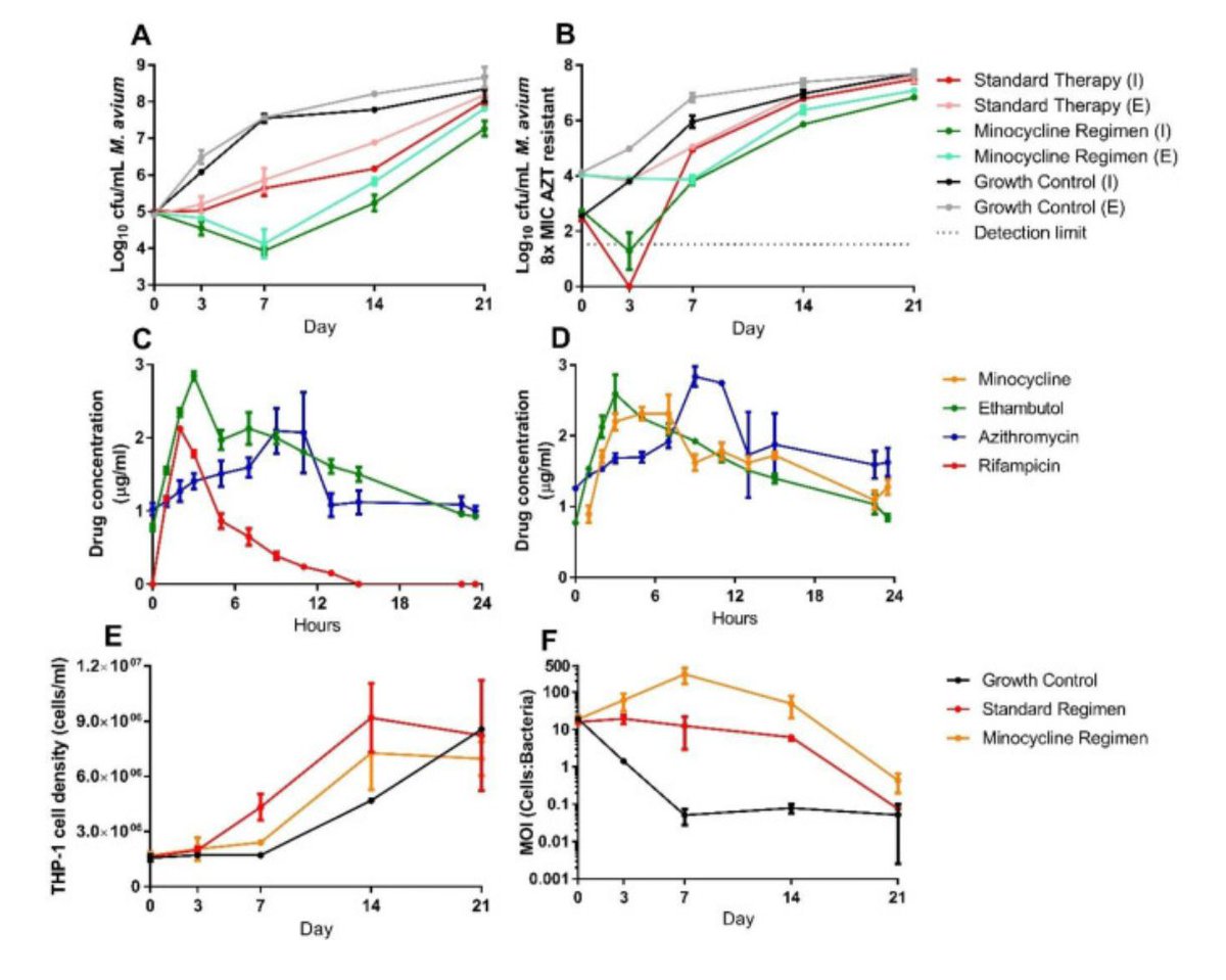
🆕💫Super interesting Replacing rifampicin with minocycline in an ethambutol and azithromycin regimen increases the activity of the treatment regimen for Mycobacterium Avium Complex Pulmonary Disease in a dynamic hollow-fibre system #idxposts #MAC sciencedirect.com/science/articl…

Cardinal Christmas ❄️

Neumonía Adquirida en la Comunidad 🦠🫁 📖Definición 📊Epidemiología 🧬Fisiopatología 😮💨Clínica 💉Tratamiento 🔰📚JAMA 2024 doi:10.1001/jama.2024.14796 Enlace a Artículo Completo 👇🏼✅🆓t.me/SoMELaguna
New 2-paper series: Tattoo-Associated Microbial Infections Paper 1: Microbiology of tattoo-associated infections since 1820 thelancet.com/journals/lanmi… #IDSky #ClinMicro #OpenAccess #OA

The PDB is on the road again as we continue our game of Where’s Waldo. This past week from the UK, next week from the Middle East & then, East Asia. No matter from where, the PDB team brings you concise news with a minimum of opinion 2x a day plus our weekend Situation Report.

United States Trendy
- 1. Gabe Vincent 3,046 posts
- 2. #AEWDynamite 17.2K posts
- 3. #VSFashionShow 518K posts
- 4. Angel Reese 45.3K posts
- 5. Deport Harry Sisson 5,436 posts
- 6. #Survivor49 3,251 posts
- 7. #youtubedown 15.9K posts
- 8. tzuyu 208K posts
- 9. #stlblues 1,634 posts
- 10. Quen 28.8K posts
- 11. George Kirby 2,275 posts
- 12. Darby 4,930 posts
- 13. jihyo 167K posts
- 14. Suarez 17.5K posts
- 15. Hofer 1,678 posts
- 16. Birdman 4,644 posts
- 17. Nazar 6,117 posts
- 18. Victoria's Secret 505K posts
- 19. Nancy 143K posts
- 20. Tusky 1,946 posts
Może Ci się spodobać
-
Travis Jones
@tmjones6 -
Rob
@BobbyHotCorner -
Minkey Wungwattana
@minkeyw -
Kyle C. Molina
@kcmolinaID -
John Allen Davis
@DavisStrmndrng -
eddie green
@eddiegreen82 -
BenFnJammin
@BenjamminOrr -
Garrett Laramore
@GLaramore -
Nick Bennett
@nbennett04 -
cassie robinson.
@casssiee_xoxo -
Christopher A Jankowski
@StewardshipJAX -
Don A Sr
@DArceri -
Cathy Paul
@CathyPaul3 -
Matt from Penn
@MattyBlue80 -
Brad Crane
@ASP_PharmD
Something went wrong.
Something went wrong.