Fibonacci_fun's profile picture. Erdős number 3.  F(n),L(n)=#Fibonacci, #Lucas number. 
日本語版(F_{Japan}) https://x.com/fun_Fibonacci

H.O.

@Fibonacci_fun

Erdős number 3. F(n),L(n)=#Fibonacci, #Lucas number. 日本語版(F_{Japan}) https://x.com/fun_Fibonacci

H.O. أعاد

Rowlandによる素数または1だけを出力する数列を紹介する. 実際, 出力してみるとほとんど1になるが, それ以外は素数になっていて面白い. 参考文献: E.S. Rowland, A Natural Prime-Generating Recurrence, Journal of Integer Sequences, Vol.11(2008) OEIS: A132199

fun_Fibonacci's tweet image. Rowlandによる素数または1だけを出力する数列を紹介する. 実際, 出力してみるとほとんど1になるが, それ以外は素数になっていて面白い. 
参考文献: E.S. Rowland, A Natural Prime-Generating Recurrence, Journal of Integer Sequences, Vol.11(2008)
OEIS: A132199

Fibonacci Quart. Problem H-842 by H.O.

Fibonacci_fun's tweet image. Fibonacci Quart. Problem H-842 by H.O.

Fibonacci Quart. Problem H-757 by H.O.

Fibonacci_fun's tweet image. Fibonacci Quart. Problem H-757 by H.O.

Fibonacci Quart. Problem B-1324 by H.O.

Fibonacci_fun's tweet image. Fibonacci Quart. Problem B-1324 by H.O.

AMM monthly problem 3802 and 12396.

Fibonacci_fun's tweet image. AMM monthly problem 3802 and 12396.

Fibonacci Quart. Problem B-1147 by H.O.

Fibonacci_fun's tweet image. Fibonacci Quart. Problem B-1147 by H.O.

AMM Problem 11978 by H.O.

Fibonacci_fun's tweet image. AMM Problem 11978 by H.O.

Fibonacci Quart. Problem B-1220 by H.O.

Fibonacci_fun's tweet image. Fibonacci Quart. Problem B-1220 by H.O.

Fibonacci Quart. Problem B-1200 by H.O.

Fibonacci_fun's tweet image. Fibonacci Quart. Problem B-1200 by H.O.

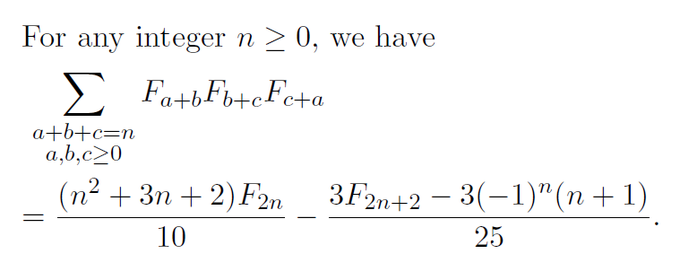
Fibonacci Quart. Problem H-734(i).

Fibonacci_fun's tweet image. Fibonacci Quart. Problem H-734(i).

「平方数・立方数の逆数和についてのある関係式」Sugaku Seminar (March 2010)

Fibonacci_fun's tweet image. 「平方数・立方数の逆数和についてのある関係式」Sugaku Seminar (March 2010)

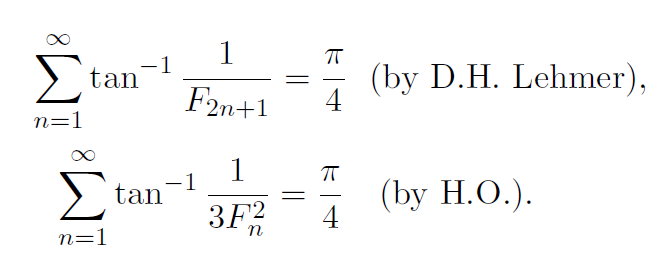
H.J.H.Tuenter, Walking into an absolute sum, The Fibonacci Quarterly 40.2(2002)

Fibonacci_fun's tweet image. H.J.H.Tuenter, Walking into an absolute sum, The Fibonacci Quarterly 40.2(2002)

United States الاتجاهات

Loading...

Something went wrong.


Something went wrong.