LanguageMIT's profile picture. I am Ted Gibson and I run a language lab at MIT. I tweet about psycholinguistics, cognitive science, language research, linguistics, and words.

Ted Gibson, Language Lab MIT

@LanguageMIT

I am Ted Gibson and I run a language lab at MIT. I tweet about psycholinguistics, cognitive science, language research, linguistics, and words.

고정된 트윗

Announcements for Open Mind, an MIT Press Open Access journal for Cognitive Science 1. We are now “Diamond” access for the foreseeable future (at least 2 years at this point): this means there are NO CHARGES for publication (or submission, or anything) direct.mit.edu/opmi


Ted Gibson, Language Lab MIT 님이 재게시함

Words and sentences that are highly dissimilar from anything we’ve seen before are more likely to be remembered accurately, according to research from @ev_fedorenko @GretaTuckute @bj_mdn @thomashikaru @LanguageMIT. mcgovern.mit.edu/2025/10/01/mit… @mitbrainandcog @ScienceMIT


Ted Gibson, Language Lab MIT 님이 재게시함

1/7 If you're at CogSci 2025, I'd love to see you at my talk on Friday 1pm PDT in Nob Hill A! I'll be talking about our work towards an implemented computational model of noisy-channel comprehension (with @postylem, @LanguageMIT, and @roger_p_levy).

thomashikaru's tweet image. 1/7 If you're at CogSci 2025, I'd love to see you at my talk on Friday 1pm PDT in Nob Hill A! I'll be talking about our work towards an implemented computational model of noisy-channel comprehension (with @postylem, @LanguageMIT, and @roger_p_levy).

Ted Gibson, Language Lab MIT 님이 재게시함

(1)💡NEW PUBLICATION💡 Word and construction probabilities explain the acceptability of certain long-distance dependency structures Work with Curtis Chen and @LanguageMIT Link to paper: tedlab.mit.edu/tedlab_website… In memory of Curtis Chen.


Ted Gibson, Language Lab MIT 님이 재게시함

A key hypothesis in the history of linguistics is that different constructions share underlying structure. We take advantage of recent advances in mechanistic interpretability to test this hypothesis in Language Models. New work with @kmahowald and @ChrisGPotts! 🧵👇

SashaBoguraev's tweet image. A key hypothesis in the history of linguistics is that different constructions share underlying structure. We take advantage of recent advances in mechanistic interpretability to test this hypothesis in Language Models.

New work with @kmahowald and @ChrisGPotts!

🧵👇

Ted Gibson, Language Lab MIT 님이 재게시함

I'm honored and delighted that I was elected to the National Academy of Sciences today! nasonline.org/news/2025-nas-…


Ted Gibson, Language Lab MIT 님이 재게시함

Accepting the first of two 2025 Troland Research Awards is Evelina Fedorenko of @mitbrainandcog, for groundbreaking contributions and insights into the language network in the human brain. 🧠 #NASaward #NAS162 Watch now: ow.ly/R6gP50VIsih

theNASciences's tweet image. Accepting the first of two 2025 Troland Research Awards is Evelina Fedorenko of @mitbrainandcog, for groundbreaking contributions and insights into the language network in the human brain. 🧠 #NASaward #NAS162

Watch now: ow.ly/R6gP50VIsih

Ted Gibson, Language Lab MIT 님이 재게시함

Social Media Post: Today, the newly formed Coalition of Autism Scientists issued our first statement to push back again Robert F. Kennedy, Jr Stand with us as we demand respect for real science and the autism community. eurekalert.org/news-releases/…

eurekalert.org

Coalition of Autism Scientists critiques US Department of Health and Human Services Autism Research...

The newly formed Coalition of Autism Scientists (160 members and counting) today issued a statement in response to remarks and actions taken by Robert F. Kennedy, Jr., Secretary of the U.S. Departm...


Ted Gibson, Language Lab MIT 님이 재게시함

As a child growing up in the former Soviet Union, @ev_fedorenko studied English, French, German, Polish, and Spanish. Today she is is working to decipher the internal structure and functions of the brain’s language-processing machinery. news.mit.edu/2025/evelina-f…


Ted Gibson, Language Lab MIT 님이 재게시함

Congratulations to Gloria Choi! The Samsung Ho-Am honor recognizes her research on connections between the immune and central nervous systems and their relevance to #autism and other disorders picower.mit.edu/news/gloria-ch…


Ted Gibson, Language Lab MIT 님이 재게시함

Super excited about Cory's @coryshain work showing that you can recover the language network via func connectivity methods from ~any fMRI data. A massive effort using all the data ever collected in my lab from neurotypical participants! Go, Cory!

New brain/language study w/ @ev_fedorenko! We applied task-agnostic individualized functional connectomics (iFC) to the entire history of fMRI in the Fedorenko lab, parcellating nearly 1200 brains into networks based on activity fluctuations alone. doi.org/10.1101/2025.0… . 🧵



Ted Gibson, Language Lab MIT 님이 재게시함

A @PNASNews study by @ev_fedorenko @saima_mm finds natural and invented languages elicit similar responses in the brain’s language-processing network. mcgovern.mit.edu/2025/03/18/to-…


Ted Gibson, Language Lab MIT 님이 재게시함

MIT researchers found that legal language is intentionally complex, not for clarity, but to create a false sense of authority. Even lawyers prefer plain English. mitsha.re/iMCm50ValLB


Ted Gibson, Language Lab MIT 님이 재게시함

A decade of studies from labs around the world provide a growing evidence base that increasing the power of the brain’s gamma rhythms could help fight #Alzheimers, and perhaps other, neurological diseases. picower.mit.edu/news/review-ev… #neuroscience @ScienceMIT @mitbrainandcog


Ted Gibson, Language Lab MIT 님이 재게시함

Congratulations to @stanfordnlp founder @chrmanning for being elected to The National Academy of Engineering (NAE, @theNASEM) Class of 2025 for the development and dissemination of natural language processing methods.

stanfordnlp's tweet image. Congratulations to @stanfordnlp founder @chrmanning for being elected to The National Academy of Engineering (NAE,  @theNASEM) Class of 2025 for the development and dissemination of natural language processing methods.

Ted Gibson, Language Lab MIT 님이 재게시함

I, and every scientist I've talked to, believe the end result of this devastating cut will be that Universities will simply pass on the buck to investigators. Many of us fervently agree that university administrations & bureaucracy should be downsized and reformed. This maneuver…

Last year, $9B of the $35B that the National Institutes of Health (NIH) granted for research was used for administrative overhead, what is known as “indirect costs.” Today, NIH lowered the maximum indirect cost rate research institutions can charge the government to 15%, above…

NIH's tweet image. Last year, $9B of the $35B that the National Institutes of Health (NIH) granted for research was used for administrative overhead, what is known as “indirect costs.” Today, NIH lowered the maximum indirect cost rate research institutions can charge the government to 15%, above…


Ted Gibson, Language Lab MIT 님이 재게시함

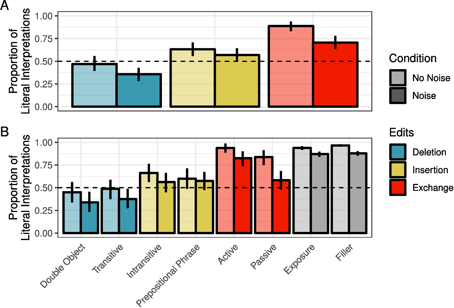
🚨 New open-access paper out now in PB&R: link.springer.com/article/10.375… We (w/ @LanguageMIT, @AphasiaLab) explore how individuals with aphasia interpret sentences & whether their comprehension difficulties stem from increased expectations of noise in language input. 🧵👇


Loading...

Something went wrong.


Something went wrong.