
Waser Group
@LcsoLab
Driven by Passion for Chemistry Organic Chemistry Lab @EPFL_CHEM_Tweet @EPFL_en @NCCR_Catalysis @SNE_ChemBio
قد يعجبك
'Safety Letter: Evaluation of the Popular Oxidant 2-Iodoxybenzoic Acid (IBX)' from Organic Letters is currently free to read as an #ACSEditorsChoice. 📖 Read the article: go.acs.org/deU @uclachem @UCLA @Merck

👏 Farnaz Moser, directrice EPFL Service de promotion des sciences, a reçu le Prix de l'engagement exceptionnel lors de la cérémonie de la Magistrale samedi dernier. Découvrez le parcours de celle qui confie qu'«il y a plusieurs vies à l’EPFL». go.epfl.ch/e73319
Glad to share our recent work published on @angew_chem about the new catalytic paradigm for the 1,2-difuntionalization of mono-donor cyclopropanes. This method overturns the predominant 1,3-selectivity. Well done for the team! onlinelibrary.wiley.com/doi/10.1002/an…
Cycloaddition and Annulation Reactions with Donor-Acceptor Cyclobutanes (Jerome Waser and co-workers) • onlinelibrary.wiley.com/doi/10.1002/hl…
The review of @EmmaGabRobert on cycloaddition and annulation reactions with Donor-Acceptor cyclobutanes has now appeared in @HelvChimActa ! doi.org/10.1002/hlca.2…

Bisnucleophilic Substitution of α-Diazo Sulfonium Salts for Glycine Derivatives via a Dicationic Intermediate Enabled by an Umpolung Strategy (Jun Xuan and co-workers) • onlinelibrary.wiley.com/doi/10.1002/hl…
New radical cascade BCB strain-release cyclization ⚡️⚡️⚡️ Three-Component Cyclization/Haloazidation of Bicyclo[1.1.0]butane-1-carboxamides: Construction of Halogenated Spiro[cyclobutane-1,3′-quinolin]-2′-one Derivatives | Organic Letters pubs.acs.org/doi/10.1021/ac…
organic-chemistry.org/abstracts/lit0… Terminal alkynes undergo addition to aldehydes in up to 99% ee using truly catalytic quantities of metal and ligand.

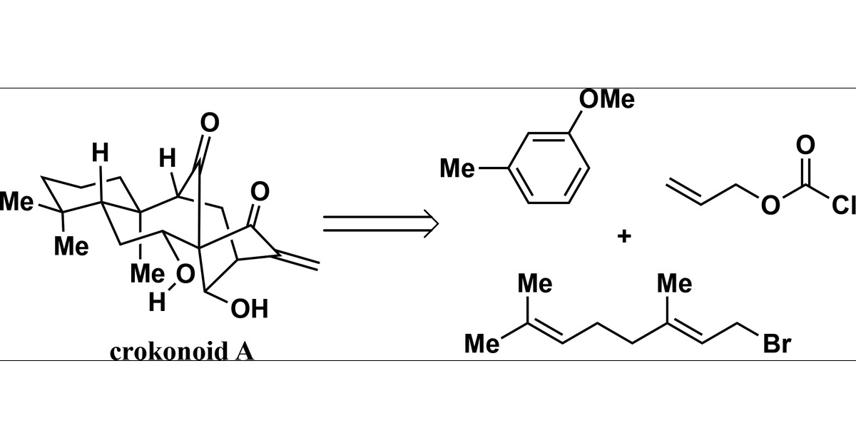
Total Synthesis of (±)-Crokonoid A | Journal of the American Chemical Society @EPFL @EPFL_en pubs.acs.org/doi/10.1021/ja…
Chemists solve century-old mechanistic puzzle of copper catalyst phys.org/news/2025-09-c…
Tune in this week to hear Yannick Brägger, talk us through his recent work on oxidative amination published in @ScienceMagazine! Link: youtu.be/CqpQu0QjwZU Paper: doi.org/10.1126/scienc… Thanks to Xingfeng for hosting and editing!!
From BCBs to BCPs ⚡️⚡️⚡️ Synthesis of Bridge‐Substituted Bicyclo[1.1.1]Pentanes by Catalytic Metal Carbene Insertion into Bicyclo[1.1.0]Butanes - Liu - Angewandte Chemie International Edition - Wiley Online Library onlinelibrary.wiley.com/doi/10.1002/an…
Excited to showcase published version of our covalent destabilizing MYC degrader in @angew_chem that stereoselectively targets an IDR C203 in MYC! Congrats to Hannah Rosen and Kelvin Li & thanks to #TomMaimone, @NovartisScience & @TheMarkFdn! onlinelibrary.wiley.com/doi/10.1002/an…
We have just published a vacancy for a Senior/Principal Scientist Pharmaceutical Development at Roche, Basel, Switzerland: organic-chemistry.org/jobs/offers/?q… - Please check and share!

Please see our latest paper on aminoiodanes, which describes a versatile synthesis and its application to arylamine synthesis. Congratulations to everyone involved! @ChemicalScience - now published in Chemical Science pubs.rsc.org/en/content/art…
This is ECAB member Ana I. Benítez-Mateos @anabel_gzl favorite @HelvChimActa article because it shows the biocatalytic versatility of SHC enzymes in accessing nearly all stereoisomers of Ambrox and its structure–odor relationships. doi.org/10.1002/hlca.2…


Leo Paquette developed this crazy cascade en route to an elegant synthesis of pentalenene! Do you know the mechanism of the reaction? And what is your favorite total synthesis by Paquette?

Today, we disclose a general scalable approach to azabicycles and 1,2-BCPs! In @angew_chem: bit.ly/4nHqRz3

A Mild Rhodium-Catalyzed Asymmetric 1,4-Conjugate Addition of Organoboranes to α-Substituted Heterocyclic Acrylates for Use in Pharmaceutical Products (Konstanze Hurth and co-workers) • onlinelibrary.wiley.com/doi/10.1002/hl…
We built a machine learning–guided workflow to optimize reaction conditions for photochemical nickel-catalyzed cysteine arylation; no specialized robots or fancy HTE plates needed! Check it out @ChemRxiv: chemrxiv.org/engage/chemrxi… #MachineLearning #ReactionOptimization

United States الاتجاهات
- 1. Chiefs 103K posts
- 2. Branch 30.2K posts
- 3. Mahomes 31.1K posts
- 4. #TNABoundForGlory 50.9K posts
- 5. #LoveCabin N/A
- 6. LaPorta 10.1K posts
- 7. Goff 13.4K posts
- 8. Bryce Miller 4,250 posts
- 9. Kelce 15.9K posts
- 10. #OnePride 6,297 posts
- 11. #LaGranjaVIP 49.5K posts
- 12. Dan Campbell 3,451 posts
- 13. #DETvsKC 4,844 posts
- 14. Butker 8,367 posts
- 15. Mariners 48.4K posts
- 16. Gibbs 5,515 posts
- 17. Baker 54.1K posts
- 18. Pacheco 4,909 posts
- 19. Rod Wave N/A
- 20. Mike Santana 4,038 posts
قد يعجبك
-
Glorius Group
@GloriusGroup -
AK List
@ListLaboratory -
Cornellab
@CornellaLab -
Procter Group
@GroupProcter -
Ritter Lab
@ritter_lab -
Morandi Lab
@morandilab -
MacMillan Group
@MacMillan_Lab -
Lutz Ackermann
@aztul -
Engle Lab
@EngleLab -
Nevado Group
@NevadoLab -
Frank Glorius
@GloriusFrank -
The Hartwig Group
@HartwigGroup -
Dixon Group
@dixon_group -
Paolo Melchiorre
@Melchiorre_P -
Varinder Aggarwal 🇺🇦🇺🇦🇺🇦
@VarinderAggar11
Something went wrong.
Something went wrong.