MRI_ChaitraB's profile picture. Associate Professor of Radiology

Chaitra Badve

@MRI_ChaitraB

Associate Professor of Radiology

Spot on!

Looks like honey hut and bowl of pho!



Chaitra Badve さんがリポスト

Discover how interprofessional collaboration is revolutionizing radiology with magnetic resonance fingerprinting imaging. Tune in to the latest episode of Science@UH with host Dan Simon, MD joined by Chaitra Badve, MD and Dan Ma, PhD: tinyurl.com/ywbn5bvy

UH_RE_Institute's tweet image. Discover how interprofessional collaboration is revolutionizing radiology with magnetic resonance fingerprinting imaging. Tune in to the latest episode of Science@UH with host Dan Simon, MD joined by Chaitra Badve, MD and Dan Ma, PhD: tinyurl.com/ywbn5bvy

Chaitra Badve さんがリポスト

Watch this coverage from @fox8news highlighting the amazing work of our radiologist and scientists from @CWRUBME. So many ⭐️⭐️⭐️ @MRI_Dan @mrimark @MRI_ChaitraB @AmitGupta_83 @lkayat @SreeHarshaT @DonnaPlecha and so many more. So fortunate for this team! iqmediacorp.com/ClipPlayer?Cli…

UHRadiology's tweet image. Watch this coverage from @fox8news highlighting the amazing work of our radiologist and scientists from @CWRUBME. So many ⭐️⭐️⭐️
@MRI_Dan @mrimark @MRI_ChaitraB @AmitGupta_83 @lkayat @SreeHarshaT @DonnaPlecha and so many more. So fortunate for this team!

iqmediacorp.com/ClipPlayer?Cli…

Looking forward to continuing this work with @TheDrWood and @MRI_Dan with Dr. Hodges

Grateful that our collaborative brain metastasis work involving @RadOncUH, @UHCLENeurosurg, & @UHneurorads has been accepted for presentation at the upcoming Society for Neuro-Oncology (@NeuroOnc) annual meeting in Vancouver! #btsm #KillCancer #RadOnc #Radiosurgery #Immunotherapy

TheDrWood's tweet image. Grateful that our collaborative brain metastasis work involving @RadOncUH, @UHCLENeurosurg, & @UHneurorads has been accepted for presentation at the upcoming Society for Neuro-Oncology (@NeuroOnc) annual meeting in Vancouver! #btsm #KillCancer #RadOnc #Radiosurgery #Immunotherapy
TheDrWood's tweet image. Grateful that our collaborative brain metastasis work involving @RadOncUH, @UHCLENeurosurg, & @UHneurorads has been accepted for presentation at the upcoming Society for Neuro-Oncology (@NeuroOnc) annual meeting in Vancouver! #btsm #KillCancer #RadOnc #Radiosurgery #Immunotherapy
TheDrWood's tweet image. Grateful that our collaborative brain metastasis work involving @RadOncUH, @UHCLENeurosurg, & @UHneurorads has been accepted for presentation at the upcoming Society for Neuro-Oncology (@NeuroOnc) annual meeting in Vancouver! #btsm #KillCancer #RadOnc #Radiosurgery #Immunotherapy
TheDrWood's tweet image. Grateful that our collaborative brain metastasis work involving @RadOncUH, @UHCLENeurosurg, & @UHneurorads has been accepted for presentation at the upcoming Society for Neuro-Oncology (@NeuroOnc) annual meeting in Vancouver! #btsm #KillCancer #RadOnc #Radiosurgery #Immunotherapy


Excellent talk by @MRI_Dan on MRF with diffusion imaging @ISMRM #ISMRM2023

MRI_ChaitraB's tweet image. Excellent talk by @MRI_Dan on MRF with diffusion imaging @ISMRM #ISMRM2023

MRF synthetic images outperform MRI images in image quality by far

Check out our 'motion robust MRF for non-sedated infant imaging!' presented by @MRI_ChaitraB, and featured as 1 of the top 100 abstracts at @ISMRM this year! Our non-sedated subjects are those with prenatal opioid exposure. Abstract No. 0045

MRI_Dan's tweet image. Check out our 'motion robust MRF for non-sedated infant imaging!' presented by @MRI_ChaitraB, and featured as 1 of the top 100 abstracts at @ISMRM this year!  Our non-sedated subjects are those with prenatal opioid exposure. Abstract No. 0045
MRI_Dan's tweet image. Check out our 'motion robust MRF for non-sedated infant imaging!' presented by @MRI_ChaitraB, and featured as 1 of the top 100 abstracts at @ISMRM this year!  Our non-sedated subjects are those with prenatal opioid exposure. Abstract No. 0045
MRI_Dan's tweet image. Check out our 'motion robust MRF for non-sedated infant imaging!' presented by @MRI_ChaitraB, and featured as 1 of the top 100 abstracts at @ISMRM this year!  Our non-sedated subjects are those with prenatal opioid exposure. Abstract No. 0045
MRI_Dan's tweet image. Check out our 'motion robust MRF for non-sedated infant imaging!' presented by @MRI_ChaitraB, and featured as 1 of the top 100 abstracts at @ISMRM this year!  Our non-sedated subjects are those with prenatal opioid exposure. Abstract No. 0045


Wonderful opportunity in the most happening MR lab!

📢 Four positions open, please contact me [email protected] or meet me at ISMRM in Toronto ! Two postdocs on tissue microstructure imaging and diffusion. One Siemens full time employee on MR Fingerprinting clinical translation, and one postdoc on AI-based qMR for tumor prediction.



Congratulations!

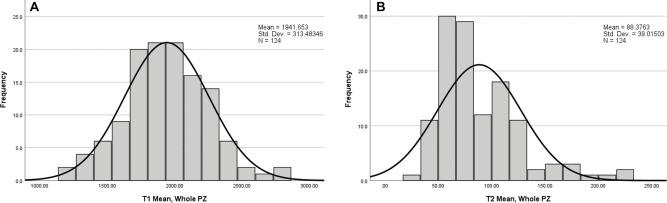
Happy to share our new publication at @EJR_official_ describing the quantitative T1 and T2 values of the normal-appearing peripheral zone of the #prostate, based on MR fingerprinting. Huge thanks to co-authors @eduardotcorreia @mrimark @QiaoMDPhD and Yong Chen! (1/2)

lkayat's tweet image. Happy to share our new publication at @EJR_official_   describing the quantitative T1 and T2 values of the normal-appearing peripheral zone of the #prostate, based on MR fingerprinting. Huge thanks to co-authors @eduardotcorreia @mrimark @QiaoMDPhD and Yong Chen!  (1/2)
lkayat's tweet image. Happy to share our new publication at @EJR_official_   describing the quantitative T1 and T2 values of the normal-appearing peripheral zone of the #prostate, based on MR fingerprinting. Huge thanks to co-authors @eduardotcorreia @mrimark @QiaoMDPhD and Yong Chen!  (1/2)


Thank you @RO_Institute for the generous support for this exciting project happening in @UHRadiology @UHneurorads @UH_RE_Institute with @MRI_Dan and @RadoncUh

ROI researcher Dr. @MRI_ChaitraB & her multidisciplinary team are combining Magnetic Resonance Fingerprinting & #AI to personalize radiation therapy for patients with #Glioblastoma. Entire video & more on the research you are supporting at bit.ly/Badve_ROI #RadOnc #NCRM



Amazing paper, congrats!

ROI researcher Dr. @MRI_ChaitraB & her multidisciplinary team are combining Magnetic Resonance Fingerprinting & #AI to personalize radiation therapy for patients with #Glioblastoma. Entire video & more on the research you are supporting at bit.ly/Badve_ROI #RadOnc #NCRM



Chaitra Badve さんがリポスト

Join us tomorrow for the Adamczyk Lecture Series. This event is open to all — registration is not required. More info: bit.ly/41kUQSy #AI #imaging #cancerdiagnostics

CWRUBME's tweet image. Join us tomorrow for the Adamczyk Lecture Series. This event is open to all — registration is not required.

More info: bit.ly/41kUQSy 

#AI #imaging #cancerdiagnostics

Chaitra Badve さんがリポスト

#AI and #imaging for #cancer diagnostics! Please join us for the @CWRUBME Adamczyk mini-symposium and lecture tomorrow, April 19th! No RSVP needed. @satishev @MRI_Dan @MRI_ChaitraB @CaseEngineer @CWRUSOM @UHRadiology

KGinCLE's tweet image. #AI and #imaging for #cancer diagnostics! Please join us for the @CWRUBME Adamczyk mini-symposium and lecture tomorrow, April 19th! No RSVP needed. 
@satishev @MRI_Dan @MRI_ChaitraB @CaseEngineer @CWRUSOM @UHRadiology

Chaitra Badve さんがリポスト

Grateful to represent @RadoncUh in receiving the @caseccc Accelerator Pilot Project Award! Honored to be co-PI with Dr. @MRI_ChaitraB at @UHhospitals to improve the care of patients with brain metastases! #RadOnc #RADREMI #GammaKnife #Radiosurgery #Immunotherapy #btsm #KillCancer

TheDrWood's tweet image. Grateful to represent @RadoncUh in receiving the @caseccc Accelerator Pilot Project Award! Honored to be co-PI with Dr. @MRI_ChaitraB at @UHhospitals to improve the care of patients with brain metastases! #RadOnc #RADREMI #GammaKnife #Radiosurgery #Immunotherapy #btsm #KillCancer
TheDrWood's tweet image. Grateful to represent @RadoncUh in receiving the @caseccc Accelerator Pilot Project Award! Honored to be co-PI with Dr. @MRI_ChaitraB at @UHhospitals to improve the care of patients with brain metastases! #RadOnc #RADREMI #GammaKnife #Radiosurgery #Immunotherapy #btsm #KillCancer

Thank you Serah and @RadoncUh for hosting me!

Excited for Dr. Chaitra Badve being our Seidman Cancer Center ground rounds speaker being introduced by our amazing Dr. Serah Choi in @RadoncUh MR fingerprinting hitting the clinic for GBM @UHhospitals @UH_RadiCLE

RadOncUH's tweet image. Excited for Dr. Chaitra Badve being our Seidman Cancer Center ground rounds speaker being introduced by our amazing Dr. Serah Choi in @RadoncUh 

MR fingerprinting hitting the clinic for GBM @UHhospitals @UH_RadiCLE


Congratulations!!!

Excited to share that I have been named a senior member of the National Academy of Inventors in 2023. thedaily.case.edu/national-acade…



Chaitra Badve さんがリポスト

Our new academic industry partnerships study with University Hospitals, Siemens Healthineers, UPenn and Case. @CWRUBME @MRI_ChaitraB @chrisdav66 @UHneurorads thedaily.case.edu/case-western-r…/


Chaitra Badve さんがリポスト

The comments reveal how many places are still not following good #MRSafety and screening practices…😭

Transported a critical patient to MRI. Outside the scanner room, did the usual emptying of pockets, blah blah. Putting the patient on the scanner table, I thought someone flicked my bra. Reader, the MAGNET PULLED THE CLASP OF MY BRA BACK, then snapped me with it as I walked away



Wonderful opportunities for national and international candidates!

📢 Three positions open, please contact me [email protected]! 1. 1 postdoc on tissue microstructure imaging and diffusion 2. 1 Siemens full time employee on MR Fingerprinting clinical translation and commercialization 3. 1 postdoc on AI-based qMR analysis and tumor prediction.



Loading...

Something went wrong.


Something went wrong.