MathMath_0628's profile picture. 中学、高校数学をメインに教えてます。受験に関する情報も扱います。偏差値の底上げをして、日本の学力を上げたい!解いて欲しい問題や質問はDMに!

MathMath

@MathMath_0628

中学、高校数学をメインに教えてます。受験に関する情報も扱います。偏差値の底上げをして、日本の学力を上げたい!解いて欲しい問題や質問はDMに!

고정된 트윗

このアカウントでは、主に数学を扱っていきます!(理科はたまにやります!) 勉強法や受験に関する知識も発信していきます! 今の予定としては ①数学の問題、解説を19時〜20時ごろ ②発信は不定期 こんな感じでやっていきます! 解いてほしい問題があれば、DMで送ってください! #受験 #数学

MathMath_0628's tweet image. このアカウントでは、主に数学を扱っていきます!(理科はたまにやります!)
勉強法や受験に関する知識も発信していきます!
今の予定としては
①数学の問題、解説を19時〜20時ごろ
②発信は不定期
こんな感じでやっていきます!
解いてほしい問題があれば、DMで送ってください!
#受験 #数学
MathMath_0628's tweet image. このアカウントでは、主に数学を扱っていきます!(理科はたまにやります!)
勉強法や受験に関する知識も発信していきます!
今の予定としては
①数学の問題、解説を19時〜20時ごろ
②発信は不定期
こんな感じでやっていきます!
解いてほしい問題があれば、DMで送ってください!
#受験 #数学
MathMath_0628's tweet image. このアカウントでは、主に数学を扱っていきます!(理科はたまにやります!)
勉強法や受験に関する知識も発信していきます!
今の予定としては
①数学の問題、解説を19時〜20時ごろ
②発信は不定期
こんな感じでやっていきます!
解いてほしい問題があれば、DMで送ってください!
#受験 #数学

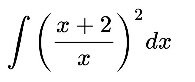
【今日の積分】 難易度⭐️2 右上の画像がヒント 右下の画像が解答、解説です。 質問や別解はリプかDMへお願いします。 #高校数学 #受験数学 #高校積分

MathMath_0628's tweet image. 【今日の積分】

難易度⭐️2

右上の画像がヒント
右下の画像が解答、解説です。

質問や別解はリプかDMへお願いします。

#高校数学 #受験数学
#高校積分
MathMath_0628's tweet image. 【今日の積分】

難易度⭐️2

右上の画像がヒント
右下の画像が解答、解説です。

質問や別解はリプかDMへお願いします。

#高校数学 #受験数学
#高校積分
MathMath_0628's tweet image. 【今日の積分】

難易度⭐️2

右上の画像がヒント
右下の画像が解答、解説です。

質問や別解はリプかDMへお願いします。

#高校数学 #受験数学
#高校積分

【今日の積分】 難易度⭐️2 ヒントは右上の画像 解答、解説は右下の画像です。 質問や別解はリプ欄かDMへお願いします。 #受験数学 #高校積分 #高校数学

MathMath_0628's tweet image. 【今日の積分】

難易度⭐️2

ヒントは右上の画像
解答、解説は右下の画像です。

質問や別解はリプ欄かDMへお願いします。
#受験数学 #高校積分
#高校数学
MathMath_0628's tweet image. 【今日の積分】

難易度⭐️2

ヒントは右上の画像
解答、解説は右下の画像です。

質問や別解はリプ欄かDMへお願いします。
#受験数学 #高校積分
#高校数学
MathMath_0628's tweet image. 【今日の積分】

難易度⭐️2

ヒントは右上の画像
解答、解説は右下の画像です。

質問や別解はリプ欄かDMへお願いします。
#受験数学 #高校積分
#高校数学

来週より大学入試の過去問の解説と「今日の積分」の2つを始めていこうと思っています。 スケジュール 過去問解説 週2〜3回(高校入試も検討中) 今日の積分 なるべく毎日(できない場合はその都度お伝えします。) その他 不定期 よろしくお願いします。


ここでは主に偏差値35〜40の人たちを対象にしておりますので、数学が得意な人にはあまり効果が高くないかもしれません。


なお、DMで送ってもらった問題は解答、解説を行い問題を投稿させていただくか確認の上で投稿しますので、ご安心ください! ついついXを見ちゃう人にとって勉強になるような投稿をしていこうと思います! よろしくお願いします! #受験 #中学数学 #高校数学 #理科 #受験生


United States 트렌드

Loading...

Something went wrong.


Something went wrong.