Mathsmagic4's profile picture. 💭

Mathphile

@Mathsmagic4

💭

Mathphile reposted

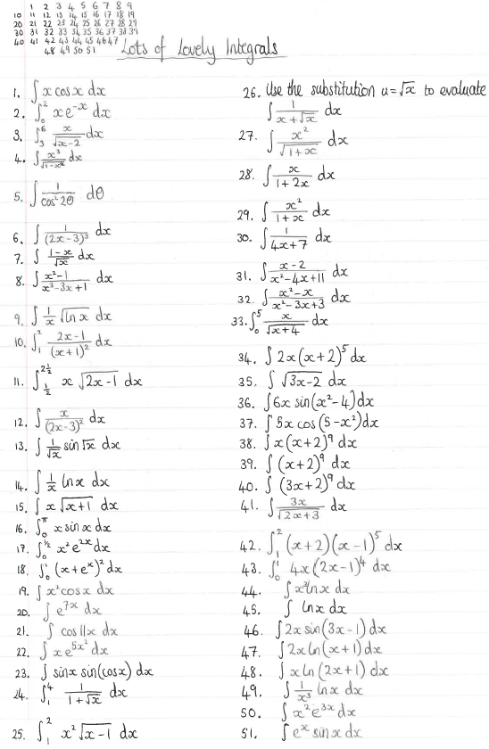
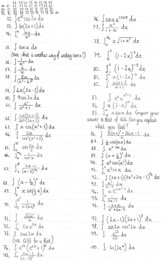
I am v happy to share any resources people want, but a lot of them are handwritten... is that ok? E.g.:"Lots of lovely integrals" that I give as a work-at-this-through-the-yr worksheet for Yr 13. E-mail me ([email protected]) if you want detailed worked solutions and answers.

HoneywillTim's tweet image. I am v happy to share any resources people want, but a lot of them are handwritten... is that ok?
E.g.:"Lots of lovely integrals" that I give as a work-at-this-through-the-yr worksheet for Yr 13. E-mail me (honeywillt@khviii.net) if you want detailed worked solutions and answers.
HoneywillTim's tweet image. I am v happy to share any resources people want, but a lot of them are handwritten... is that ok?
E.g.:"Lots of lovely integrals" that I give as a work-at-this-through-the-yr worksheet for Yr 13. E-mail me (honeywillt@khviii.net) if you want detailed worked solutions and answers.

Mathphile reposted

The centres of all seven circles are marked. The width of the shaded ring is 1. What’s its area?

Cshearer41's tweet image. The centres of all seven circles are marked. The width of the shaded ring is 1. What’s its area?

Mathphile reposted

Viviani's Theorem: in an equilateral △, the sum of the distances from any interior point to the 3 sides is equal to the height of the △


Mathphile reposted

This is great!!! geogebra.org/m/FwsnSVFB


Mathphile reposted

arctan(1/2) + arctan(1/3) = pi/4 (45 deg): Proof Without Words. Or, in simpler terms, green angle + orange angle = pink angle. 🙂 geogebra.org/m/w8r7rn9Q @geogebra @AMTNYS @ATOMICMath #MTBoS #ITeachMath #Math #MathChat #HSMath #Maths #Trig #Trigonometry #geometry #CollegeMath


Mathphile reposted

What fraction of the whole square is a single blue square in the second diagram? Third diagram? 100th diagram?

jamestanton's tweet image. What fraction of the whole square is a single blue square in the second diagram? Third diagram? 100th diagram?

Mathphile reposted

Problem of the week! The solution to the previous one in the comments section below. Can you solve this? #ProblemOfTheWeek #UKMT #UKMathsTrust #LoveMaths #Mathematics

UKMathsTrust's tweet image. Problem of the week! The solution to the previous one in the comments section below. Can you solve this?
#ProblemOfTheWeek #UKMT #UKMathsTrust #LoveMaths #Mathematics

Mathphile reposted

Medians & Centroid Dance: geogebra.org/m/pwTTqNfh. Although, IMO, this EXP is BEST done hands-on, this @geogebra resource (with key Qs for Ss) can be used to reinforce what they discover afterwards. #MTBoS #ITeachMath #math #maths #geometry #proof #triangle #MSMath #HSMath


Mathphile reposted

Nagel Point and Centroid on Adjacent Isosceles Triangles cut-the-knot.org/triangle/NaGOn… #FigureThat #math #geometry

CutTheKnotMath's tweet image. Nagel Point and Centroid on Adjacent Isosceles Triangles cut-the-knot.org/triangle/NaGOn… #FigureThat #math #geometry

Mathphile reposted

Throwing an object at the same speed but different angles defines an ellipse via its maximum height


Mathphile reposted

The Viral Equation Breaking The Internet 230 - 220 ÷ 2 = ? I say it is 120 A math PhD says it is 5! Who is right? Video youtu.be/fljbRIyzGms Blog wp.me/p6aMk-8ri #mindyourdecisions #mathematics #math #maths


Mathphile reposted

Looking for puzzles? I have lots!Here are 3 ways to find them: A) scroll back through my tweets. B) I collect screenshots here: drive.google.com/file/d/1hVP8tL… C) In actual real life book form amazon.co.uk/dp/1095672460/ (UK) or search in your local amazon site.


United States Trends

Loading...

Something went wrong.


Something went wrong.