#math search results

AI just solved math problems that stumped humans for decades. AlphaEvolve proved Bruhat intervals form higher-dimensional hypercubes — a pure math breakthrough. 53% of the world now uses generative AI. Fastest tech adoption in history. 🧮🤖 #AI #Math #Tech

DevilDogSaga's tweet image. AI just solved math problems that stumped humans for decades.

AlphaEvolve proved Bruhat intervals form higher-dimensional hypercubes — a pure math breakthrough.

53% of the world now uses generative AI. Fastest tech adoption in history. 🧮🤖

#AI #Math #Tech

Google has introduced improved #LaTeX rendering and PDF export. #Math teachers: this means your complex math equations and scientific formulas display perfectly every time. Less work for you! Learn more: workspaceupdates.googleblog.com/2025/10/new-la… #googleEDU #MathChat

jrsowash's tweet image. Google has introduced improved #LaTeX rendering and PDF export.

#Math teachers: this means your complex math equations and scientific formulas display perfectly every time. Less work for you!

Learn more: workspaceupdates.googleblog.com/2025/10/new-la…

#googleEDU #MathChat

#geogebra #math #science #iteachmath #mtbos #visualization #elearning Excellent resource! This interactive Geogebra applet provides a superb visual aid for understanding solids of revolution, greatly enhancing STEM education.


Terry Tao suspects the trick could simplify the broader theory of prime factorization anatomy. Lichtman calls it possibly the first AI "Book proof" for an Erdős problem. GPT-5.4 Pro is the math GOAT. #AI #Math #Erdos #GPT54 #AgentNews


Why everything VIBRATES: The Wave Equation #math #physics #engineering #science


I got four you dont need a crumb so you can have one then theres 3 left #math also thanks but im not gonna stick with it. This is just my sketch lol I wanted 2 get out placing n stuff smiles warmly


A000201: Lower Wythoff sequence 3D graph, threejs - webGL ➡️ decompwlj.com/3Dgraph/Lower_… 3D graph Gen, threejs animation ➡️ decompwlj.com/3DgraphGen/Low… 2D graph, first 500 terms ➡️ decompwlj.com/2Dgraph500term… #decompwlj #math #mathematics #sequence #OEIS #javascript #php #3D #numbers

decompwlj's tweet image. A000201: Lower Wythoff sequence

3D graph, threejs - webGL ➡️ decompwlj.com/3Dgraph/Lower_…
3D graph Gen, threejs animation ➡️ decompwlj.com/3DgraphGen/Low…
2D graph, first 500 terms ➡️ decompwlj.com/2Dgraph500term…

#decompwlj #math #mathematics #sequence #OEIS #javascript #php #3D #numbers
decompwlj's tweet image. A000201: Lower Wythoff sequence

3D graph, threejs - webGL ➡️ decompwlj.com/3Dgraph/Lower_…
3D graph Gen, threejs animation ➡️ decompwlj.com/3DgraphGen/Low…
2D graph, first 500 terms ➡️ decompwlj.com/2Dgraph500term…

#decompwlj #math #mathematics #sequence #OEIS #javascript #php #3D #numbers

Day 56/60 — #GeekStreak60 POTD: Check if y is Power of x • Keep dividing y by x while divisible • If y becomes 1 → true • Else → false Edge: if x == 1 → return y == 1 @GeeksforGeeks @NPCI_NPCI #DSA #Math #100DaysOfCode

anchal_dwi38198's tweet image. Day 56/60 — #GeekStreak60
POTD: Check if y is Power of x
• Keep dividing y by x while divisible
• If y becomes 1 → true
• Else → false

Edge: if x == 1 → return y == 1
@GeeksforGeeks
@NPCI_NPCI
#DSA #Math #100DaysOfCode
anchal_dwi38198's tweet image. Day 56/60 — #GeekStreak60
POTD: Check if y is Power of x
• Keep dividing y by x while divisible
• If y becomes 1 → true
• Else → false

Edge: if x == 1 → return y == 1
@GeeksforGeeks
@NPCI_NPCI
#DSA #Math #100DaysOfCode

Logarithmic Simplification Visually 😱 #log #math #SAT #exam


Apply BODMAS Rule... Find out the answer. #Math

ILoveCinema247's tweet image. Apply BODMAS Rule... 
Find out the answer. #Math

Glow review in action. ✨ 🔦 Students collaborating, thinking, and building confidence for the Math STAAR. @OrangeGroveAISD @AldineISD #AldineStory #Math #STAAR #ThirdGrade


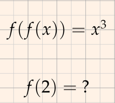
#math problem 16-04-2026 Function composition. Bonus point: find f(x).

MathMath901's tweet image. #math problem 16-04-2026
Function composition.
Bonus point: find f(x).

My first, favorite and most important sequence, the weights of prime numbers: A117078. We see prime numbers classified by level and by weight on the graph. ➡️ oeis.org/A117078 #decompwlj #math #mathematics #sequence #OEIS #numbers #primes #PrimeNumbers #graph #maths

decompwlj's tweet image. My first, favorite and most important sequence, the weights of prime numbers: A117078.
We see prime numbers classified by level and by weight on the graph.
➡️ oeis.org/A117078

#decompwlj #math #mathematics #sequence #OEIS #numbers #primes #PrimeNumbers #graph #maths
decompwlj's tweet image. My first, favorite and most important sequence, the weights of prime numbers: A117078.
We see prime numbers classified by level and by weight on the graph.
➡️ oeis.org/A117078

#decompwlj #math #mathematics #sequence #OEIS #numbers #primes #PrimeNumbers #graph #maths

(1/9) My new book 𝐌𝐚𝐬𝐭𝐞𝐫𝐢𝐧𝐠 𝐆𝐞𝐨𝐦𝐞𝐭𝐫𝐲 𝐏𝐮𝐳𝐳𝐥𝐞𝐬. This book will challenge mathematical skills in a totally different way from the usual geometric puzzles. #math #geometry #puzzle #book #MasteringGeometryPuzzles

_pauloferro's tweet image. (1/9)
My new book 𝐌𝐚𝐬𝐭𝐞𝐫𝐢𝐧𝐠 𝐆𝐞𝐨𝐦𝐞𝐭𝐫𝐲 𝐏𝐮𝐳𝐳𝐥𝐞𝐬.
This book will challenge mathematical skills in a totally different way from the usual geometric puzzles. 
#math #geometry #puzzle #book #MasteringGeometryPuzzles
_pauloferro's tweet image. (1/9)
My new book 𝐌𝐚𝐬𝐭𝐞𝐫𝐢𝐧𝐠 𝐆𝐞𝐨𝐦𝐞𝐭𝐫𝐲 𝐏𝐮𝐳𝐳𝐥𝐞𝐬.
This book will challenge mathematical skills in a totally different way from the usual geometric puzzles. 
#math #geometry #puzzle #book #MasteringGeometryPuzzles

It reminded me my first year at the university! (And all the pain that followed suit 😁) #math #book #tutorial Linear algebra! Nice one, well laid out 😉 math.miami.edu/~ec/book/book.…


My data have not been verified but my work is highly reproducible. - Downloads (csv, img, dump) ➡️ decompwlj.com - Algorithms ➡️ oeis.org/wiki/Decomposi… #decompwlj #math #mathematics #sequence #OEIS #PARIGP #numbers #PrimeNumbers #graph #downloads #algorithms

decompwlj's tweet image. My data have not been verified but my work is highly reproducible.
- Downloads (csv, img, dump) ➡️ decompwlj.com
- Algorithms ➡️ oeis.org/wiki/Decomposi…

#decompwlj #math #mathematics #sequence #OEIS #PARIGP #numbers #PrimeNumbers #graph #downloads #algorithms

#math problem 19-04-2026 Exponential equation.

MathMath901's tweet image. #math problem 19-04-2026 
Exponential equation.

Ha! If you walked down 19th Street you didn't see the bus that runs south on 17th Street. You could have squinted. #math


"b-but these things are different, you can't compare them". Oh yes I can #politics #datascience #math #data


"A chemist who does not know mathematics is seriously handicapped." – Irving Langmuir (1881-1957) #quote #mathematics #math #maths

paysmaths's tweet image. "A chemist who does not know mathematics is seriously handicapped." – Irving Langmuir (1881-1957)
#quote #mathematics #math #maths

Can you find the next number? 🤔 2, 3, 5, 7, 11, 13, 17, 19, ... What is the next number in this sequence? Comment your answer before scrolling 👇 #Math #Puzzles #NumberPuzzle #Sequences #BrainTeaser

anish2good's tweet image. Can you find the next number? 🤔

2, 3, 5, 7, 11, 13, 17, 19, ...

What is the next number in this sequence? 

Comment your answer before scrolling 👇

#Math #Puzzles #NumberPuzzle #Sequences #BrainTeaser

Day 56/60 — #GeekStreak60 POTD: Check if y is Power of x • Keep dividing y by x while divisible • If y becomes 1 → true • Else → false Edge: if x == 1 → return y == 1 @GeeksforGeeks @NPCI_NPCI #DSA #Math #100DaysOfCode

anchal_dwi38198's tweet image. Day 56/60 — #GeekStreak60
POTD: Check if y is Power of x
• Keep dividing y by x while divisible
• If y becomes 1 → true
• Else → false

Edge: if x == 1 → return y == 1
@GeeksforGeeks
@NPCI_NPCI
#DSA #Math #100DaysOfCode
anchal_dwi38198's tweet image. Day 56/60 — #GeekStreak60
POTD: Check if y is Power of x
• Keep dividing y by x while divisible
• If y becomes 1 → true
• Else → false

Edge: if x == 1 → return y == 1
@GeeksforGeeks
@NPCI_NPCI
#DSA #Math #100DaysOfCode

घन (Cube) और घनाभ (Cuboid) क्या हैं? यहाँ इनके आयतन, पृष्ठीय क्षेत्रफल और विकर्ण निकालने के सभी महत्वपूर्ण सूत्र आसान उदाहरणों के साथ दिए गए हैं। #math #reasoning #upsc #ssc #railways #banking #trending educationallof.com/cube-and-cuboi…


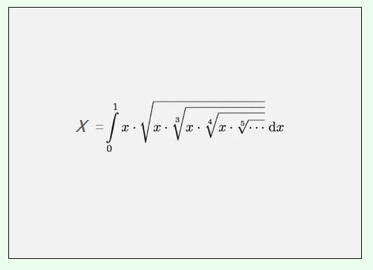
intriguing problemwith the solution From Integrals Higher Education Book #Calculus_Series #math #Integration #differential #integral #mathproblems

a____s___m11's tweet image. intriguing problemwith the solution
From Integrals Higher Education Book
#Calculus_Series #math #Integration #differential #integral  #mathproblems
a____s___m11's tweet image. intriguing problemwith the solution
From Integrals Higher Education Book
#Calculus_Series #math #Integration #differential #integral  #mathproblems

Introducing X-Squared: The Language of Math My new business Cognitive Card Games LLC has officially shared its first product with the general public.  The X-Squared math puzzle game is now available in the App Store at this link: apps.apple.com/app/x-squared/…   iPhone or I Pad #Math


class 9 math chapter 3.2 গণিত ৯ম সহজ সমাধান ৩.২ #trustedshihabeducation #math #viralvídeo #class9

ayeshaas24's tweet image. class 9 math chapter 3.2 গণিত ৯ম সহজ সমাধান ৩.২ #trustedshihabeducation #math #viralvídeo #class9

Day 209 - DSA Challenge Problem: Check for Power. Time Complexity: O(log y) Space Complexity: O(1) Iterative division approach to verify power relationship efficiently 🔢🚀 #100DaysOfCode #DSA #Math #Algorithms @GeeksforGeeks

crazy_mahesh_'s tweet image. Day 209 - DSA Challenge
Problem: Check for Power.
Time Complexity: O(log y)
Space Complexity: O(1)
Iterative division approach to verify power relationship efficiently 🔢🚀
#100DaysOfCode #DSA #Math #Algorithms @GeeksforGeeks
crazy_mahesh_'s tweet image. Day 209 - DSA Challenge
Problem: Check for Power.
Time Complexity: O(log y)
Space Complexity: O(1)
Iterative division approach to verify power relationship efficiently 🔢🚀
#100DaysOfCode #DSA #Math #Algorithms @GeeksforGeeks

बहुभुज (Polygon) की पूरी जानकारी। इसमें पंचभुज (Pentagon) और षट्भुज (Hexagon) के अंत:कोणों का योग, विकर्ण और क्षेत्रफल निकालने के आसान सूत्र उदाहरण सहित दिए गए हैं। #math #ssc #upsc #banking #railway #exam #trending educationallof.com/polygon-types-…


🧩 GEOMETRY CHALLENGE! Triangle sides: 13, 14, 15 Calculate its area. Watch Now: youtube.com/@QuizandRiddle… Reply below 👇 #Riddle #Math #Puzzle

QuizRiddleVault's tweet image. 🧩 GEOMETRY CHALLENGE!

Triangle sides: 13, 14, 15  
Calculate its area.

Watch Now: youtube.com/@QuizandRiddle… 

Reply below 👇
#Riddle #Math #Puzzle

Numbers decide outcomes before we do. From mortgage models to factory optimisations — mathematics is the silent architect of many decisions. Read more: wix.to/xBSk09a #Math #Analytics #Business


🧩 Can you solve this magic square? Each row and column must sum to the same number! 🔲 8 | 1 | 6 🔲 3 | ? | 7 🔲 4 | 9 | 2 What is the missing number? Comment your answer before scrolling 👇 #Math #Puzzles #MagicSquare #NumberPuzzle #LogicPuzzle

anish2good's tweet image. 🧩 Can you solve this magic square? Each row and column must sum to the same number! 

🔲 8 | 1 | 6 
🔲 3 | ? | 7 
🔲 4 | 9 | 2 

What is the missing number? Comment your answer before scrolling 👇

#Math #Puzzles #MagicSquare #NumberPuzzle #LogicPuzzle

Stew Peters just dropped a BOMBSHELL connecting the dots on the Charlie Kirk assassination and a massive "silent" shakeup at the Southern Border.🪖 The Facts They Don’t Want You To Know: 1️⃣ October 10, 2025: Exactly one month after Charlie’s murder, the entire 10th Mountain



3rd semester of CSE is officially in full swing. Documenting the journey from here on out. Current focus: - Data structure (C++) - Fundamentals of Electric Circuits - Linear Algebra #CSE #math #EEE

ShamimalazadHa1's tweet image. 3rd semester of CSE is officially in full swing. Documenting the journey from here on out.

Current focus:

- Data structure (C++)
- Fundamentals of Electric Circuits
- Linear Algebra

#CSE #math #EEE

how my maths test be looking rn: #math #fyp

hosiizze's tweet image. how my maths test be looking rn: 
#math #fyp

Math Test 🤯 comment your answer 💯 #math #maths #mathematics #mathtest #mathquiz

SolvingForZ's tweet image. Math Test 🤯 comment your answer 💯

#math #maths #mathematics #mathtest #mathquiz

Brain workout for today! 🧠 What’s the hidden number? #Riddle #Math

nivraxx's tweet image. Brain workout for today! 🧠 What’s the hidden number? #Riddle #Math

Isaac Newton (1642–1727) was one of the most influential scientists in history, widely recognized for laying the foundations of classical physics and making groundbreaking contributions to mathematics, astronomy, and natural philosophy... #physics #math

skglearning's tweet image. Isaac Newton (1642–1727) was one of the most influential scientists in history, widely recognized for laying the foundations of classical physics and making groundbreaking contributions to mathematics, astronomy, and natural philosophy...

#physics #math

#math problem 16-04-2026 Function composition. Bonus point: find f(x).

MathMath901's tweet image. #math problem 16-04-2026
Function composition.
Bonus point: find f(x).

Geometry challenge: a square is filled with nested quarter-circles, creating a shaded region whose total area hides inside a repeating pattern. Can you work out which fraction of the figure is shaded? Share your answer in the comments 👇 #Math #Geometry #MathPuzzle #STEM

WirisQuizzes's tweet image. Geometry challenge: a square is filled with nested quarter-circles, creating a shaded region whose total area hides inside a repeating pattern. Can you work out which fraction of the figure is shaded?

Share your answer in the comments 👇

#Math #Geometry #MathPuzzle #STEM

This method is a core tool in linear algebra, widely applied in numerical analysis, engineering, and computer science to solve large-scale problems efficiently. Have you applied Gaussian elimination in real-world problems? #Math #Mathematics #LinearAlgebra #MathType #STEM

MathType's tweet image. This method is a core tool in linear algebra, widely applied in numerical analysis, engineering, and computer science to solve large-scale problems efficiently. Have you applied Gaussian elimination in real-world problems?

#Math #Mathematics #LinearAlgebra #MathType #STEM

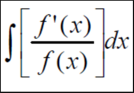
#math problem 19-04-2026 Compute the indefinite integral.

MathMath901's tweet image. #math problem 19-04-2026
Compute the indefinite integral.

Theorem of the Day (April 19, 2026) : The Fundamental Theorem of the Calculus Source : Theorem of the Day / Robin Whitty pdf : theoremoftheday.org/Analysis/Funda… notes : theoremoftheday.org/Resources/Theo… #mathematics #maths #math #theorem

paysmaths's tweet image. Theorem of the Day (April 19, 2026) : The Fundamental Theorem of the Calculus
Source : Theorem of the Day / Robin Whitty
pdf : theoremoftheday.org/Analysis/Funda…
notes : theoremoftheday.org/Resources/Theo… 

#mathematics #maths #math #theorem

10% of 100 = ? , Percentage Math Test. #Math #DearSir

EnglishGrammarO's tweet image. 10% of 100 = ? , Percentage Math Test. #Math #DearSir

I don’t need real world applications,only need to understand how the universe works. #math

ThePhysicsMemes's tweet image. I don’t need real world applications,only need to understand how the universe works. #math

April 9, 1869 — Élie Joseph Cartan was born. A pioneering French mathematician, he reshaped geometry and helped lay the foundations of modern physics through Lie groups, differential forms, and Cartan geometry. 📐✨ #OnThisDay #Math #Physics

MatildaSpicer's tweet image. April 9, 1869 — Élie Joseph Cartan was born.
A pioneering French mathematician, he reshaped geometry and helped lay the foundations of modern physics through Lie groups, differential forms, and Cartan geometry. 📐✨
#OnThisDay #Math #Physics

IQ TEST =❔️❓️ #math #riddle#puuzl

S30185960Saini's tweet image. IQ TEST =❔️❓️

#math #riddle#puuzl

RK4, the fourth-order Runge–Kutta method, approximates solutions to differential equations by combining four weighted slope estimates, capturing the curve between steps with strong accuracy and efficiency. Have you worked with RK4 before? #Math #Mathematics #RungeKutta #MathType

MathType's tweet image. RK4, the fourth-order Runge–Kutta method, approximates solutions to differential equations by combining four weighted slope estimates, capturing the curve between steps with strong accuracy and efficiency. Have you worked with RK4 before?

#Math #Mathematics #RungeKutta #MathType

#morning with #math N Klein 's

sonukg4india's tweet image. #morning with #math 
N Klein 's

Loading...

Something went wrong.


Something went wrong.