MaxForAI's profile picture. 没啥好看的,也就发点AI相关的内容    Prev双币基金行研、大模型团队、AI媒体

Max For AI

@MaxForAI

没啥好看的,也就发点AI相关的内容 Prev双币基金行研、大模型团队、AI媒体

Vastgezet

聊一聊我认识的 Manus。 2025 年 12 月 30 日,注定会被写进中国科技创业史的一天。 一早醒来,Meta 宣布以数十亿美元收购 AI Agent 公司 Manus(蝴蝶效应)。 这是 Meta 成立以来金额排名第三的收购,仅次于 WhatsApp 和 Instagram。 交易完成后,创始人肖弘将出任 Meta 副总裁。 朋友圈瞬间炸了锅。


很高兴跟大家介绍我的第一个产品Volumn.ai🎉 在这里你可以让你的账号获得10倍的增长(虽然实测是100倍,但我的cofounder说不要说那么满hahaha 需求是来自最近的一些增长顾问服务,很多founder本人和产品的x账号其实都没有精力运营。 过去这个任务通常都给专门的人在运营或者实习生。

MaxForAI's tweet image. 很高兴跟大家介绍我的第一个产品Volumn.ai🎉

在这里你可以让你的账号获得10倍的增长(虽然实测是100倍,但我的cofounder说不要说那么满hahaha

需求是来自最近的一些增长顾问服务,很多founder本人和产品的x账号其实都没有精力运营。

过去这个任务通常都给专门的人在运营或者实习生。

Introducing volumn.ai: The first 100% automated Twitter account booster.(We will expand to more platforms later.) No chatbox.All start with one click.



已确认Gemini 3.1 Pro会在今晚正式发布。 目前API已经可以在Vertex AI里调用。


我宣布,这是26年AI圈最拉风的情头 找个人跟我用!

MaxForAI's tweet image. 我宣布,这是26年AI圈最拉风的情头
找个人跟我用!

哈哈哈哈! 这应该是OpenAI和Anthropic第一次线下公开的矛盾吧? 甚至连握手都不愿意🤝 这发生在昨天的印度人工智能影响力峰会上 在最后合影的时候,台上众人里只有Sam和Dario没有握手 我一开始以为是AI图,然后我去找了找更多的图,发现确实没有握手🤣 你俩咋跟小孩一样,拍照握手都不愿意

MaxForAI's tweet image. 哈哈哈哈!
这应该是OpenAI和Anthropic第一次线下公开的矛盾吧?
甚至连握手都不愿意🤝

这发生在昨天的印度人工智能影响力峰会上
在最后合影的时候,台上众人里只有Sam和Dario没有握手

我一开始以为是AI图,然后我去找了找更多的图,发现确实没有握手🤣

你俩咋跟小孩一样,拍照握手都不愿意
MaxForAI's tweet image. 哈哈哈哈!
这应该是OpenAI和Anthropic第一次线下公开的矛盾吧?
甚至连握手都不愿意🤝

这发生在昨天的印度人工智能影响力峰会上
在最后合影的时候,台上众人里只有Sam和Dario没有握手

我一开始以为是AI图,然后我去找了找更多的图,发现确实没有握手🤣

你俩咋跟小孩一样,拍照握手都不愿意
MaxForAI's tweet image. 哈哈哈哈!
这应该是OpenAI和Anthropic第一次线下公开的矛盾吧?
甚至连握手都不愿意🤝

这发生在昨天的印度人工智能影响力峰会上
在最后合影的时候,台上众人里只有Sam和Dario没有握手

我一开始以为是AI图,然后我去找了找更多的图,发现确实没有握手🤣

你俩咋跟小孩一样,拍照握手都不愿意

This is so hilarious. Nothing can make Sam and Dario hold hands, not even the Prime Minister of India!



哦吼,网易有道开源了他们全场景个人助理 Agent —— LobsterAI(网易龙虾) 上周才邀请我内测,没想到居然开源了?? 项目基于 Electron + React + TypeScript 构建,架构非常清晰。 最大的亮点是解决了 Agent 落地难的问题! MIT 协议开源,欢迎 Star 和 PR,这种高质量的开源项目值得看看。

Introducing LobsterAI🦞— an open-source AI agent that gets work done for you. ✅ No terminal skills required ✅ Run tasks safely in an Alpine Linux VM ✅ Persistent memory, Mac/Win, IM integration, skills… Download: lobsterai.youdao.com GitHub: github.com/netease-youdao…



突发,Claude Sonnet 4.6来了 Claude Sonnet 4.6 是Claude迄今为止功能最强大的 Sonnet 模型。 它全面提升了模型在编码、计算机使用、长上下文推理、智能体规划、知识处理和设计等方面的能力。 早期 Sonnet 4.6

MaxForAI's tweet image. 突发,Claude Sonnet 4.6来了

Claude Sonnet 4.6 是Claude迄今为止功能最强大的 Sonnet 模型。

它全面提升了模型在编码、计算机使用、长上下文推理、智能体规划、知识处理和设计等方面的能力。

早期 Sonnet 4.6
MaxForAI's tweet image. 突发,Claude Sonnet 4.6来了

Claude Sonnet 4.6 是Claude迄今为止功能最强大的 Sonnet 模型。

它全面提升了模型在编码、计算机使用、长上下文推理、智能体规划、知识处理和设计等方面的能力。

早期 Sonnet 4.6

This is Claude Sonnet 4.6: our most capable Sonnet model yet. It’s a full upgrade across coding, computer use, long-context reasoning, agent planning, knowledge work, and design. It also features a 1M token context window in beta.



突发:中国的机器人在公开表演时失控

MaxForAI's tweet image. 突发:中国的机器人在公开表演时失控

底特律:蔡明

MaxForAI's tweet image. 底特律:蔡明

既然是AI春晚,那我建议明年的羊年春晚要不学Loopit,直接互动生成节目吧👏 或者Youware赞助一下,大家自己vibe coding,整点自己想看的:Sam大战马斯克什么的

今年这个AI春晚办的很好啊,就是明年不要喊我看了🫡 我派我的小龙虾去参加一下吧

MaxForAI's tweet image. 今年这个AI春晚办的很好啊,就是明年不要喊我看了🫡

我派我的小龙虾去参加一下吧


今年这个AI春晚办的很好啊,就是明年不要喊我看了🫡 我派我的小龙虾去参加一下吧

MaxForAI's tweet image. 今年这个AI春晚办的很好啊,就是明年不要喊我看了🫡

我派我的小龙虾去参加一下吧

哈哈哈哈哈,笑着笑着就哭了😭

MaxForAI's tweet image. 哈哈哈哈哈,笑着笑着就哭了😭

Qwen3.5 的其余版本将在春节假期结束前陆续发布 来自@JustinLin610

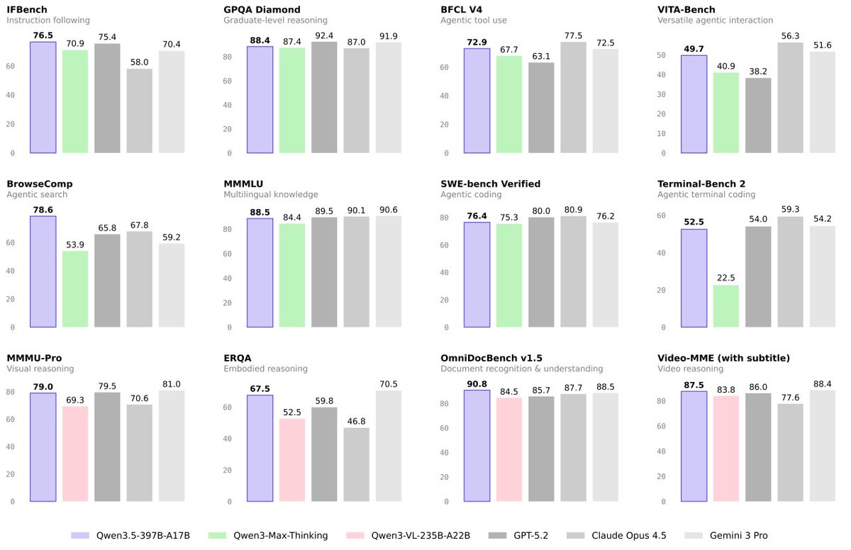
刚刚,千问发布并开源了Qwen3.5-397B-A17B  作为Qwen3.5 系列的第一款模型 A17B是原生视觉-语言模型,在推理、编程、智能体能力与多模态理解等全方位基准评估中表现优异, 该模型采用创新的混合架构,将线性注意力(Gated Delta Networks)与稀疏混合专家(MoE)相结合,实现出色的推理效率。

MaxForAI's tweet image. 刚刚,千问发布并开源了Qwen3.5-397B-A17B 
作为Qwen3.5 系列的第一款模型
A17B是原生视觉-语言模型,在推理、编程、智能体能力与多模态理解等全方位基准评估中表现优异,

该模型采用创新的混合架构,将线性注意力(Gated Delta Networks)与稀疏混合专家(MoE)相结合,实现出色的推理效率。
MaxForAI's tweet image. 刚刚,千问发布并开源了Qwen3.5-397B-A17B 
作为Qwen3.5 系列的第一款模型
A17B是原生视觉-语言模型,在推理、编程、智能体能力与多模态理解等全方位基准评估中表现优异,

该模型采用创新的混合架构,将线性注意力(Gated Delta Networks)与稀疏混合专家(MoE)相结合,实现出色的推理效率。
MaxForAI's tweet image. 刚刚,千问发布并开源了Qwen3.5-397B-A17B 
作为Qwen3.5 系列的第一款模型
A17B是原生视觉-语言模型,在推理、编程、智能体能力与多模态理解等全方位基准评估中表现优异,

该模型采用创新的混合架构,将线性注意力(Gated Delta Networks)与稀疏混合专家(MoE)相结合,实现出色的推理效率。
MaxForAI's tweet image. 刚刚,千问发布并开源了Qwen3.5-397B-A17B 
作为Qwen3.5 系列的第一款模型
A17B是原生视觉-语言模型,在推理、编程、智能体能力与多模态理解等全方位基准评估中表现优异,

该模型采用创新的混合架构,将线性注意力(Gated Delta Networks)与稀疏混合专家(MoE)相结合,实现出色的推理效率。


刚刚,千问发布并开源了Qwen3.5-397B-A17B  作为Qwen3.5 系列的第一款模型 A17B是原生视觉-语言模型,在推理、编程、智能体能力与多模态理解等全方位基准评估中表现优异, 该模型采用创新的混合架构,将线性注意力(Gated Delta Networks)与稀疏混合专家(MoE)相结合,实现出色的推理效率。

MaxForAI's tweet image. 刚刚,千问发布并开源了Qwen3.5-397B-A17B 
作为Qwen3.5 系列的第一款模型
A17B是原生视觉-语言模型,在推理、编程、智能体能力与多模态理解等全方位基准评估中表现优异,

该模型采用创新的混合架构,将线性注意力(Gated Delta Networks)与稀疏混合专家(MoE)相结合,实现出色的推理效率。
MaxForAI's tweet image. 刚刚,千问发布并开源了Qwen3.5-397B-A17B 
作为Qwen3.5 系列的第一款模型
A17B是原生视觉-语言模型,在推理、编程、智能体能力与多模态理解等全方位基准评估中表现优异,

该模型采用创新的混合架构,将线性注意力(Gated Delta Networks)与稀疏混合专家(MoE)相结合,实现出色的推理效率。
MaxForAI's tweet image. 刚刚,千问发布并开源了Qwen3.5-397B-A17B 
作为Qwen3.5 系列的第一款模型
A17B是原生视觉-语言模型,在推理、编程、智能体能力与多模态理解等全方位基准评估中表现优异,

该模型采用创新的混合架构,将线性注意力(Gated Delta Networks)与稀疏混合专家(MoE)相结合,实现出色的推理效率。
MaxForAI's tweet image. 刚刚,千问发布并开源了Qwen3.5-397B-A17B 
作为Qwen3.5 系列的第一款模型
A17B是原生视觉-语言模型,在推理、编程、智能体能力与多模态理解等全方位基准评估中表现优异,

该模型采用创新的混合架构,将线性注意力(Gated Delta Networks)与稀疏混合专家(MoE)相结合,实现出色的推理效率。

突发:Qwen3.5-Plus已经开放,所有人都可以测试了~ 在你可以在 qwen.chat.ai qianwen.com 找到他们

MaxForAI's tweet image. 突发:Qwen3.5-Plus已经开放,所有人都可以测试了~

在你可以在
qwen.chat.ai
qianwen.com
找到他们

再说一遍,今天没有DeepSeek-V4(¯へ¯)


没想到最终是OpenAI在抢人大战中胜出! Sam Altman宣布: 小龙虾作者Peter Steinberger 将加入 OpenAI,致力于推动下一代个人智能体的研发。 OpenAI预计这将很快成为他们产品的核心。 OpenClaw 将以开源项目的形式存在于 基金会中,OpenAI 也将继续为其提供支持。

Peter Steinberger is joining OpenAI to drive the next generation of personal agents. He is a genius with a lot of amazing ideas about the future of very smart agents interacting with each other to do very useful things for people. We expect this will quickly become core to our



帮转! 某大模型团队,急需一名平面设计,用来制图(benchmark图🤣) 有会做平面设计且现在有空的请联系我


Qwen3.5,来了。

似乎大家都忘了真的源神Qwen了 去年是除夕夜那天发布的新模型,看起来今年还是除夕夜? @JustinLin610 他们真的太辛苦了....



Loading...

Something went wrong.


Something went wrong.