A non-exhaustive list of my favorite biohacks: - 3g of taurine a day - Tribulus + B3 + androsterone - walking after meals - Thiamax (TTFD) - butea superba + black ginger - 100g of collagen a day - baking soda "milkshakes" - K2 and MgCl scrotal application - breakfast in the sun
Strawberry Custard (made w/@revivosupps) - 2 cups skim milk - 1/4 cup cane sugar - 3 egg yolks - 1 tbs coconut oil - 1/2 tbs beef gelatin - 2 scoops Revivo


Mortality risk rises by 8-11% each hour breakfast is delayed.


2,000 IU/day of vitamin D3 reduces "biological age" by approximately 3 years. ω-3 fatty acids had no measurable impact.


Things to try for persistent acne before hopping on Accutane: - Vitamin E "spot treatment" - Daily carrot salad, white button mushrooms, or bamboo shoots - Red light therapy + GHK-Copper - Antibiotics (minocycline, penicillin, doxycycline) paired w/vitamin K2 - High dose…
Take note.

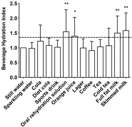
You should genuinely invest in your hydration. Water filtration system, pure electrolytes, organic fruits, cucumbers, teas. Spring water like Gerolsteiner. Prioritize quality over quantity. Hydration is more than just drinking water

The issue is that most chocolate milk is just straight sugar. Shit will kill you.
Chocolate milk is anabolic as fuck and no one can tell me otherwise.


Rubbing a little bit of vitamin E on my active breakouts greatly reduces the redness and inflammation. I've tried a ton of different things to treat acne and this is probably the most noticeable.
The month leading up to my dentist appointment, I used nothing but coconut oil and baking soda for brushing, and the dentist put me in the 95th percentile for oral health. This was after years of barely using any fluorinated toothpaste as well.
A recent study showed that rinsing with coconut oil was superior to conventional mouthwash for dental health (periodontitis). (1/8)


Friendly reminder that you can eat a couple tablespoons of well cooked white button mushrooms each day and see wild improvements in your digestion, bowel regularity, and even high estrogen symptoms. One of the highest ROI health hacks.

If you've used Bloo, you know how much gets wasted when you apply it. A simple solution is to dissolve the powder in a spray bottle and spray it in your hair.

Bloo has lightened my hair to the point where everyone thinks I've gotten highlights. Not the look that I'm going for, but it's still pretty cool.


"When you lose interest in your health problem, you are probably on the right track" - Ray Peat
The same is true for pregnenolone.




Agmatine sulfate is one of those compounds with an absolute laundry list of positive anecdotes.




United States 趋势
- 1. D’Angelo 173K posts
- 2. D’Angelo 173K posts
- 3. Brown Sugar 14.6K posts
- 4. Black Messiah 6,850 posts
- 5. Voodoo 14.5K posts
- 6. #GoodTimebro 1,456 posts
- 7. Happy Birthday Charlie 117K posts
- 8. Powell 35.6K posts
- 9. How Does It Feel 6,734 posts
- 10. #PortfolioDay 9,305 posts
- 11. Osimhen 107K posts
- 12. #BornOfStarlightHeeseung 80.5K posts
- 13. Pentagon 96.1K posts
- 14. Neo-Soul 15.7K posts
- 15. Sandy Hook 10.7K posts
- 16. Alex Jones 27K posts
- 17. Jill Scott 1,065 posts
- 18. Untitled 5,896 posts
- 19. CJGJ N/A
- 20. Devil's Pie N/A
Something went wrong.
Something went wrong.