
PyFR
@PyFR_Solver
High-Order Massively-Parallel Multi-Platform Open Source Computational Fluid Dynamics
You might like
PyFR v2.0.0 is a major release with many new and exciting features, including: a Metal backend, more robust shock capturing, in-situ visualisation, turbulence injection, a Ffowcs Williams-Hawkings implementation, and cache blocking for the OpenMP backend.




Excited to share our latest PyFR paper - detailing a range of new features - along with various examples of how the code is now being used 'in the wild' and recent performance and scaling results on Frontier @ORNL and Alps @cscsch sciencedirect.com/science/articl…

The next talk in our online seminar series is TODAY at 3pm UK time! 🚨 - 'Static Deep Stall Analysis Augmented by Numerically Constrained Turbulent Flows' given by Francesco Mario D'Afiero from @KTHuniversity cassyni.com/events/VFDm14d…
A fully funded PhD position on 'High-Fidelity Simulation of Titan/Mars Entry Vehicles with PyFR' is now open for applications - full details and instructions on how to apply can be found here: vincentlab.org/openings/ae006… @aeroimperial @PyFR_Solver
Next talk in our online seminar series will be given by Bhaskaran Rathakrishnan from @NASAAmes on 'Towards Reentry Capsule Dynamic Stability Prediction: Recent Experience using PyFR for Capsule Wake Flow' - 5pm UK time 5th September cassyni.com/events/7PRHFJC…
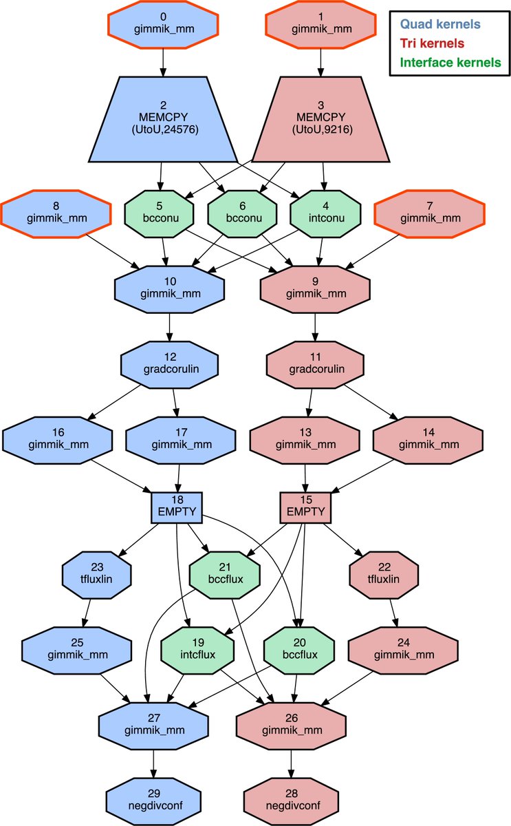
Checkout latest paper on cache blocking for Flux Reconstruction and its extension to Navier-Stokes equations and anti-aliasing in @PyFR_Solver - resulting in an up to 3.91x performance boost for the CPU backend 🚀 doi.org/10.1016/j.cpc.…

v2.0.0 = v1.15.0 + added a Metal backend + improved shock capturing via entropy based filtering + in-situ visualisation plugin + turbulence injection plugin + Ffowcs Williams-Hawkings plugin + cache blocking for OpenMP backend
Next talk in our online seminar series will be given by Tianyang Liang from @KyushuUniv_EN on an 'Actuator Line Model for Wind Turbine Wake Prediction with PyFR' at 1pm UK time on 25th January (today! 🚨) - info/attend via @cassyniapp cassyni.com/events/5QKf1EL…
Checkout this exciting opportunity to join our group and work on developing and applying @PyFR_Solver to real-world industrial flow problems with a stellar team of academic and industrial partners from across the EU - closing date 4th February 🚀⏳ jobs.ac.uk/job/DFD116/res…
A great way to learn about latest @PyFR_Solver developments and recent applications is to subscribe to our seminar series cassyni.com/s/pyfr

Next talk in our online seminar series will be given by Nathan Blanc from @TechnionLive on 'Simulating a Thermoacoustic Engine With PyFR' at 3pm UK time on 19th October - info/attend via @cassyniapp cassyni.com/events/RerBfzq…
Next talk in our online seminar series will be given by Zhenyang Yuan from @KTHuniversity on 'Numerical Simulations of Aerofoil Tonal Noise Reduction by Roughness Elements' at 3pm UK time on 21st September - info/attend via @cassyniapp cassyni.com/events/15ZkWMs…
Check out seminar "Numerical simulations of aerofoil tonal noise reduction by roughness elements" presented by Zhenyang Yuan @KTHuniversity @PyFR_Solver 🗓️Thursday 21st September 2023 📷 3.00 PM (Europe/London) cassyni.com/events/15ZkWMs…
United States Trends
- 1. Bills 116K posts
- 2. Falcons 34.3K posts
- 3. Josh Allen 15.6K posts
- 4. Bijan 20.8K posts
- 5. Snell 6,090 posts
- 6. phil 135K posts
- 7. Bears 50.4K posts
- 8. Joe Brady 3,306 posts
- 9. Caleb 33.5K posts
- 10. Drake London 5,602 posts
- 11. Freddie 13.9K posts
- 12. #NLCS 7,113 posts
- 13. McDermott 4,851 posts
- 14. Chris Moore 1,941 posts
- 15. Penix 5,266 posts
- 16. Commanders 32.7K posts
- 17. Dan Quinn 1,106 posts
- 18. James Cook 3,547 posts
- 19. #RaiseHail 5,465 posts
- 20. Matt Gay N/A
You might like
-
OpenFOAM
@openfoam -
Tecplot
@Tecplot -
CFD Direct OpenFOAM
@CFDdirect -
OpenFOAM Foundation
@CFDFoundation -
Cadence CFD
@CadenceCFD -
Computational Sciences & Engineering
@Computational_s -
Wolf Dynamics
@WolfDynamics -
Hiroaki Nishikawa
@HiroNishikawa -
Prof. Lin Fu 傅林 @HKUST
@linf1017 -
ENGYS
@engys_cae -
GridPro
@GridPromesh -
Ferrer cfd
@FerrerCfd -
Joel Guerrero
@joegigeo -
GARCFD
@garcfd -
Praveen C
@cfdlab
Something went wrong.
Something went wrong.