
exfatloss🥛
@exfatloss
Experimental Fat Loss http://www.exfatloss.com Keto Apostate 67lbs down
おすすめツイート
Signs That You Don't Understand Obesity You talk about: - Being full - CICO - Counting carolies - Exercising - Fermodynamics - "Boring & Hard" "truths" - Fasting - Keto - Ray Peat - Cave men starving & hunting mammoths - Palatability - Carolie dense - "Evidence-based" - 1970 -…

If you're interested in bodybuilding soap opera drama: youtube.com/watch?v=elLI9P…
youtube.com
YouTube
Mike Israetel's PhD: The Biggest Academic Sham in Fitness?
I don't care about bodybuilding at all. But sort of funny to watch a single Tylenol-grade British nerd destroy the entire "evidence-based" community🤣 And yes, it's the strafe jumping guy😄

Weird, I wonder what else happened in Japan in 1945...
Daily reminder the key to solving the fertility crisis is just ending universal suffrage. Democracy is a Death Cult.

I don't care about bodybuilding at all. But sort of funny to watch a single Tylenol-grade British nerd destroy the entire "evidence-based" community🤣 And yes, it's the strafe jumping guy😄

TFW your mitochondria start spooling up for the first time in forever
Holy. Freaking. Crap. Today is day 3 of cutting protein content. Since yesterday I've also been trying to get more coconut oil to get the lauric acid. (see video here youtube.com/watch?v=bJUBPl… - original credit goes to @exfatloss of course) I've had a consistent feeling of…
youtube.com
YouTube
The Pre-Emergence Diet: Low Protein, Tokelau and Coconuts
Ok so I tried Omarchy. It's fine. The installer is nice & super quick (3.5 minutes for me). But it's just an over-riced Arch with defaults I don't like. This is exactly the reason I went back to Ubuntu. Ricing might look cool on screenshots, but it's actually not that…
I’ve been doing an ex150-inspired diet for a few months and my energy is off the scale. But it’s not even strictly about energy… how you describe it here is right, doing things-not even hard things!-just becomes somehow easier
This explains everything. You are a moron.
The @exfatloss diet looking good on price/kcal. With a sinister no. 1...

Can we put this guy and Tro in a room until just 1 man remains standing
Sugar fuels detoxification. Sugar is mood-enhancing. Sugar improves sleep quality. Sugar lowers lactate. Sugar lowers nitric oxide. Sugar is calming. Sugar reduces aggression. Sugar is anti-inflammatory. Sugar improves immunity. Sugar protects from estrogen. Sugar promotes…

Essential fatty acid deficiency symptoms disappear... in tropical humidity?! WHAT. Why is everything we know wrong. h/t @texugodum3l metabolismjournal.com/article/0026-0… @TuckerGoodrich you seen this?

This is a good point heh. A lot of nutrients are not considered essential because you don't die if you cut out that one ingredient. But you have to eat SOME non-essential nutrients, a lot in fact. If you only consume essential nutrients, you'd probably get very sick & die.
the point is: avoiding compounds considered non-essential will essentially harm the body. You exclude all dietary carbs, SFAs, MUFAs, odd chain fatty acids, fiber and alcohol. You end up excluding major sources of micros, phytonutrients and stuff like carnitine/taurine/creatine.
I'm all for more Linux or making it easier for normies. But is that literally it, it's an install script and a tiling WM pre-installed? I don't get "muh Arch" per se. I've used Manjaro and Arch for years, and I prefer Ubuntu. I guess it speaks to people who are nerds and don't…
DHH controversies aside I really don’t understand the hype around omarchy it’s an Arch install script that comes preloaded with soy and reddit like ok cool
I dunno I usually get pretty tired around 3am
Reminder that the Protein Leverage Hypothesis was "verified" in LOCUSTS.
You will see lots of takes like this. They are implicitly assuming that an adaptation associated with longevity in a small-bodied, subterranean creature living under constant relative hypoxia will have the same effect (with no major negative tradeoffs) in completely different…
He who will be seed-oil free must make himself seed-oil free.
I wonder if my legacy will have been to bring the word "ketard" into the spotlight🤣
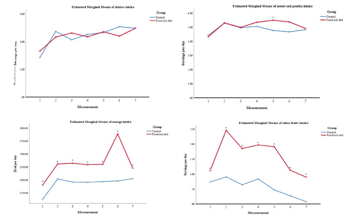
you're a bald a chubby ketard! This "study" had the FRD group to eat considerable more calories, more fruit and more... meats too LMAO. Also, it was 6.96 vs 1.65 portions, not 4 vs 2. Did you even read this crap? It has a paywall.


big if true
Johnny Who? Never heard of him. Wasn't he on Jackoff?
"Twenty-seven year-old WSJ contributor discovers Johnny Cash At Folsom Prison in late grandfather's record collection."

My gum inflammation went WAY down after I cut out seed oils. One of the few objectively measurable things, as opposed to e.g. sunburn resistance or "I have less acid reflux." The dentist pokes your gums and writes down numbers. If the numbers get better, A LOT better, that's…
I was today years old when I found out that periodontitis or gingivitis (chronic gum inflammation) Is one of the most PROVEN causes of non-cardiac related HS-CRP Which blatantly shows how hard it is to isolate singular cause and effects in functional medicine As most people…

This is a tricky one. Today, most people who say "organ meats" mean liver. I agree, don't eat liver. But people DID eat more gelatin, broth, aspic, cow tongue, "bad" tough cuts, tripe, who knows what else. None of which are the garbage dump of the body like the liver is.
United States トレンド
- 1. Diane Keaton 126K posts
- 2. Annie Hall 29.2K posts
- 3. Bama 16.1K posts
- 4. #UFCRio 12.6K posts
- 5. Tim Banks N/A
- 6. Mateer 6,151 posts
- 7. Mizzou 13.4K posts
- 8. #iufb 2,950 posts
- 9. Oregon 53.5K posts
- 10. Norvell 5,518 posts
- 11. Indiana 25.9K posts
- 12. Baby Boom 2,624 posts
- 13. Ty Simpson 6,022 posts
- 14. First Wives Club 9,166 posts
- 15. Florida State 23.2K posts
- 16. Ole Miss 4,756 posts
- 17. UCLA 14.5K posts
- 18. Sark 2,938 posts
- 19. Father of the Bride 9,132 posts
- 20. The Godfather 16.8K posts
おすすめツイート
-
Valerie Anne Smith
@ValerieAnne1970 -
Dr. Tone MD 🌅 🥩
@tonegamer13 -
Vaughn
@VaughnPrecision -
Born To Be Free
@BornTo_BeFree -
Dr SHRADDHEY KATIYAR
@Wegiveyouhealt1 -
FireInABottle
@fire_bottle -
Carnivore AMIT
@CarnivoreAmit -
Peter I-live-in-the-paradoxes InNorfolk
@Peter_InNorfolk -
Samar Sheoran
@samarsheoran -
TheFa(c)tHunter
@DimitriRadoux -
Claus Carlsen
@ClausCarlsen1 -
Dr. Matthew CL Phillips
@drmclphillips -
Patriotic Homesteader
@2_Acre_Living -
Bobby Raeburn
@BobbyRaeburn -
Maria Kemp
@MariaKetoKemp
Something went wrong.
Something went wrong.