내가 좋아할 만한 콘텐츠
And surprisingly those chips even work! :) Testing my AY from TT5. Video and code by @PsychogenicTech.
Batch ordering for ASICs Like @oshpark did for PCBs, Wafer Space is bringing batch orders to ASICs. You can now order 1000 custom ASICs on @crowd_supply for $7000. $7 a chip is an impressive price for a small run full custom ASIC. Maybe not quite hobbyist price, but…

KiCad pros: Crush designs like this nRF54L board, supercharge KiCad! My course packs 10+ yrs of KiCad strategies. Preview: game changing hack, custom symbol tricks, more. 🚀 Level up with code launch25 for 25% off—7 days only! …cadunlocked.fullstack-electronics.com/kicad-unlocked… #KiCad #IoT #PCBDesign
Back to the future - my rendition of classical AY-3-8913 sound chip from 1978 as a 😳 peripheral for RISC-V got noticed as Top3 in @tinytapeout RISC-V competition! Tapeout whth @SkyWaterFoundry 130 nm. github.com/rejunity/tinyq…

Going live in about 90 minutes!
Who won our hashtag#RISCV peripheral competition? Don't miss the live announcement tomorrow at 19:00 CEST! youtube.com/watch?v=dbEW9u…
youtube.com
YouTube
Live: Announcing the Tiny Tapeout RISC-V competition winners!
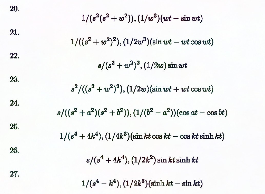
spent a couple weeks figuring out how to teach 40 Laplace transforms to a 0.2 square millimeter patch of silicon 200 nanometers deep. the chip took eight months to show up. it worked

Announcing the RISC-V competition winners on a livestream, Wednesday 8th! youtube.com/watch?v=dbEW9u… #RISCV #TinyTapeout
youtube.com
YouTube
Live: Announcing the Tiny Tapeout RISC-V competition winners!
Did you know as an undergraduate you can now participate in #ASIC manufacturing and semiconductor design thanks to @tinytapeout ? Secondly, did you know that due to its mixed-signal capabilities, the Analog Discovery 3 is perfect for testing analog projects?…
🚀 Bringing My Own Silicon to Life For many years, hardware has been a hobby I've been passionate about. Over that time, I've brought several kewl projects to life- but this one is different. Over the past few months, I've been slowly learning and working on something that…




United States 트렌드
- 1. Deport Harry Sisson 9,700 posts
- 2. DuPont 1,870 posts
- 3. #PokemonZA 1,946 posts
- 4. #PokemonLegendZA 1,732 posts
- 5. #EliraGotCake2025 8,466 posts
- 6. Gabe Vincent 4,148 posts
- 7. Deloitte 7,264 posts
- 8. Angel Reese 54K posts
- 9. Mavs 5,698 posts
- 10. Lakers 18.3K posts
- 11. tzuyu 256K posts
- 12. #Blackhawks 2,187 posts
- 13. Mad Max 3,967 posts
- 14. Everest 3,465 posts
- 15. #AEWDynamite 18.9K posts
- 16. Blues 20.2K posts
- 17. Birdman 5,539 posts
- 18. Domain For Sale 19.4K posts
- 19. Britney 22.6K posts
- 20. jihyo 199K posts
Something went wrong.
Something went wrong.