#alignmenttools 搜索结果
Built in Sheffield, England, SharkEye has become the brand-of-choice for #automotive workshops looking to purchase high-quality #alignmenttools at a price that won't break the bank. They're so good they sometimes surprise themselves! #wheelalignment #climateemergency

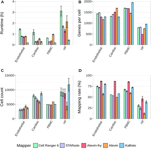
Comparative analysis of common alignment tools for single-cell RNA sequencing. #AlignmentTools #scRNAseq #ToolsBenchmarking #Bioinformatics academic.oup.com/gigascience/ar… @GigaScience
Having trouble getting things to line up perfectly?👇 Learn to precisely align text, objects, and groups within your images, so you can create beautifully balanced compositions every time. phlearn.com/tutorial/how-t… #alignmenttools #photoshop
💨🔧Achieve perfect alignment & smoother rides with our premium Alignment & Balancing Accessories! 🚗🚗 Boost tire life, fuel efficiency, and vehicle performance with tools you can trust. Upgrade your service today! 🔧 #AlignmentTools #TireBalancing #VehiclePerformance

Smart and intuitive = adaptable. That's what @PRUFTECHNIK_NA Adaptive Alignment systems do by providing maintenance teams with a complete solution to meet any user skill level. Learn more: ow.ly/CwYu50B0ZG1 #AdaptiveAlignment #maintenance #alignmenttools

One of the most critical enablement and #AlignmentTools is your Marketing AND Sales playbook. At a minimum, integrate the following into your playbook📖 ow.ly/pcxk50C8GRq #B2B #MPM #Marketing #Sales #Playbook #CustomerEngagement #OpportunityEngagement

Saving ££££'s against traditional oxy-acetylene with the Heatmate. This device pays for itself! Find out how at buff.ly/304bkRM Got a question? Call 01480 8-9-10-11 and we will be sure to help answer your query on the incredible Heatmate. #alignmenttools #heatinduction

PST Stefan Wolpers explains how practical alignment tools empower Scrum Teams by strengthening stakeholder relationships and building trust to deliver products that meet organizational goals. ow.ly/mlkX50W2TSx @StefanW #StakeholderAlignment #AlignmentTools

#TheWillAlignmentSeries #AlignmentTools You cannot do the will of the Father expressly without uninterrupted connection to Him. . . Watch the full replay of the message on our YouTube Channel @ joshuavilletv . . #MyJoshuaVille
👷♂Johnson Level MSHA Mining Alignment Laser 40-6264👷♂ 👉 goo.gl/wr47LD #tigersupplies #alignmentlaser #Alignmenttools

⛏Johnson Laser Precision Level 40-6240⛏ Check item here: goo.gl/zYAJy7 #tigersupplies #laser #alignmenttools

Smart and intuitive = adaptable. That's what @PRUFTECHNIK_NA Adaptive Alignment systems do by providing maintenance teams with a complete solution to meet any user skill level. Learn more: ow.ly/CwYu50B0ZG1 #AdaptiveAlignment #maintenance #alignmenttools

Johnson Level MSHA Mining Long Range Alignment Laser 40-6260 goo.gl/rT1GCB #tigersupplies #alignmenttools #constructoiontools

Evaluators can hallucinate too. OffsetBias trains judges to see past style — and score for substance. By building contrastive control samples, it helps LLMs score outputs like humans do. aclanthology.org/2024.findings-… #LLMEval #AIBias #AlignmentTools
⛏Johnson Level Magnetic Sheave Alignment 40-6200⛏ Check here: goo.gl/EJqCXA #AlignmentTools #TigerSupplies #ConstructionLasers

Smart and intuitive = adaptable. That's what our Adaptive Alignment systems do by providing maintenance teams with a complete solution to meet any user skill level. Learn more: ow.ly/CwYu50B0ZG1 #AdaptiveAlignment #maintenance #alignmenttools

Trade-In and Trade-Up your vibration and alignment tools. Get up to 15% off a new Pruftechnik, a Fluke Reliability company's brand new tool! ow.ly/MYFf50L22qF #pruftechnik #vibrationtools #alignmenttools #lasershaftalignment #conditionmonitoring

Johnson Level Red Beam Industrial Alignment Dot Laser 40-6220 Click here: goo.gl/tPRwEH #tigersupplies #alignmenttools #Construction

📣Johnson Level Machine Mountable Electronic Level w/ Bluetooth 40-6250📣 Check item here: goo.gl/NjDofY #TigerSupplies #AlignmentTools #Constructionlasser

Caster, Camber and Toe on the Go! Anytime, anyplace any vehicle! #quicktrickaligned #alignmenttools #alignmentkit #trackday #classiccar #musclecar #atvalignment #fleet #rvmaintenance instagram.com/p/CThouWkno4y/…
Having trouble getting things to line up perfectly?👇 Learn to precisely align text, objects, and groups within your images, so you can create beautifully balanced compositions every time. phlearn.com/tutorial/how-t… #alignmenttools #photoshop
Evaluators can hallucinate too. OffsetBias trains judges to see past style — and score for substance. By building contrastive control samples, it helps LLMs score outputs like humans do. aclanthology.org/2024.findings-… #LLMEval #AIBias #AlignmentTools
PST Stefan Wolpers explains how practical alignment tools empower Scrum Teams by strengthening stakeholder relationships and building trust to deliver products that meet organizational goals. ow.ly/mlkX50W2TSx @StefanW #StakeholderAlignment #AlignmentTools

💨🔧Achieve perfect alignment & smoother rides with our premium Alignment & Balancing Accessories! 🚗🚗 Boost tire life, fuel efficiency, and vehicle performance with tools you can trust. Upgrade your service today! 🔧 #AlignmentTools #TireBalancing #VehiclePerformance

Mechanical or hydraulic #flangespreaders and #alignmenttools that you can count on every time to align or realign #flange connections. For any inquiries, please contact [email protected] Tools link: tinyurl.com/2vymfv7e #oilandgas #refinery #petrochemical




#TheWillAlignmentSeries #AlignmentTools You cannot do the will of the Father expressly without uninterrupted connection to Him. . . Watch the full replay of the message on our YouTube Channel @ joshuavilletv . . #MyJoshuaVille
Trade-In and Trade-Up your vibration and alignment tools. Get up to 15% off a new Pruftechnik, a Fluke Reliability company's brand new tool! ow.ly/MYFf50L22qF #pruftechnik #vibrationtools #alignmenttools #lasershaftalignment #conditionmonitoring

Comparative analysis of common alignment tools for single-cell RNA sequencing. #AlignmentTools #scRNAseq #ToolsBenchmarking #Bioinformatics academic.oup.com/gigascience/ar… @GigaScience
Caster, Camber and Toe on the Go! Anytime, anyplace any vehicle! #quicktrickaligned #alignmenttools #alignmentkit #trackday #classiccar #musclecar #atvalignment #fleet #rvmaintenance instagram.com/p/CThouWkno4y/…
Built in Sheffield, England, SharkEye has become the brand-of-choice for #automotive workshops looking to purchase high-quality #alignmenttools at a price that won't break the bank. They're so good they sometimes surprise themselves! #wheelalignment #climateemergency

Smart and intuitive = adaptable. That's what @PRUFTECHNIK_NA Adaptive Alignment systems do by providing maintenance teams with a complete solution to meet any user skill level. Learn more: ow.ly/CwYu50B0ZG1 #AdaptiveAlignment #maintenance #alignmenttools

Built in Sheffield, England, SharkEye has become the brand-of-choice for #automotive workshops looking to purchase high-quality #alignmenttools at a price that won't break the bank. They're so good they sometimes surprise themselves! #wheelalignment #climateemergency

PST Stefan Wolpers explains how practical alignment tools empower Scrum Teams by strengthening stakeholder relationships and building trust to deliver products that meet organizational goals. ow.ly/mlkX50W2TSx @StefanW #StakeholderAlignment #AlignmentTools

💨🔧Achieve perfect alignment & smoother rides with our premium Alignment & Balancing Accessories! 🚗🚗 Boost tire life, fuel efficiency, and vehicle performance with tools you can trust. Upgrade your service today! 🔧 #AlignmentTools #TireBalancing #VehiclePerformance

Saving ££££'s against traditional oxy-acetylene with the Heatmate. This device pays for itself! Find out how at buff.ly/304bkRM Got a question? Call 01480 8-9-10-11 and we will be sure to help answer your query on the incredible Heatmate. #alignmenttools #heatinduction

One of the most critical enablement and #AlignmentTools is your Marketing AND Sales playbook. At a minimum, integrate the following into your playbook📖 ow.ly/pcxk50C8GRq #B2B #MPM #Marketing #Sales #Playbook #CustomerEngagement #OpportunityEngagement

👷♂Johnson Level MSHA Mining Alignment Laser 40-6264👷♂ 👉 goo.gl/wr47LD #tigersupplies #alignmentlaser #Alignmenttools

Smart and intuitive = adaptable. That's what our Adaptive Alignment systems do by providing maintenance teams with a complete solution to meet any user skill level. Learn more: ow.ly/CwYu50B0ZG1 #AdaptiveAlignment #maintenance #alignmenttools

Johnson Level MSHA Mining Long Range Alignment Laser 40-6260 goo.gl/rT1GCB #tigersupplies #alignmenttools #constructoiontools

⛏Johnson Laser Precision Level 40-6240⛏ Check item here: goo.gl/zYAJy7 #tigersupplies #laser #alignmenttools

Smart and intuitive = adaptable. That's what @PRUFTECHNIK_NA Adaptive Alignment systems do by providing maintenance teams with a complete solution to meet any user skill level. Learn more: ow.ly/CwYu50B0ZG1 #AdaptiveAlignment #maintenance #alignmenttools

⛏Johnson Level Magnetic Sheave Alignment 40-6200⛏ Check here: goo.gl/EJqCXA #AlignmentTools #TigerSupplies #ConstructionLasers

Trade-In and Trade-Up your vibration and alignment tools. Get up to 15% off a new Pruftechnik, a Fluke Reliability company's brand new tool! ow.ly/MYFf50L22qF #pruftechnik #vibrationtools #alignmenttools #lasershaftalignment #conditionmonitoring

Johnson Level Red Beam Industrial Alignment Dot Laser 40-6220 Click here: goo.gl/tPRwEH #tigersupplies #alignmenttools #Construction

📣Johnson Level Machine Mountable Electronic Level w/ Bluetooth 40-6250📣 Check item here: goo.gl/NjDofY #TigerSupplies #AlignmentTools #Constructionlasser

Johnson Level Magnetic Sheave Alignment 40-6200 Product Highlights ✔Choice of Red or Green beam ✔±1/16" at 10 ft. accuracy ✔Range up to 100 ft. (30m) Click here: goo.gl/EJqCXA #tigersupplies #alignment #alignmenttools #construction

Johnson Laser Precision Level 40-6240 Product Highlights 👉Choice of Red or Green beam 👉Range up to 150 ft. or 250 ft. 👉Accuracy of ±1/16" at 100 ft. Check the link below for more details! goo.gl/zYAJy7 #tigersupplies #lasers #alignmenttools

Johnson Level MSHA Mining Alignment Laser 40-6264 Product Highlights ✔Choice of Red or Green beam ✔Range up to 500 ft. or 1,500 ft. ✔Battery life up to 12-15 hours Check here: goo.gl/wr47LD #tigersupplies #alignmenttools #construction #constructionlasers

Line-Wizard Alignment Tool System LW-100-AA This system is perfect for aligning fence posts, columns, lighting poles, landscaping, plumbing, etc. Check item here: goo.gl/jZn7c9 #tigersupplies #Alignmenttools #constructiontools

Johnson Level Industrial Alignment Cross-Line Laser Level 40-6230 Product Highlights ☑Choice of Red or Green beam ☑Cylindrical lens technology ☑Line fan angle - 70 degrees ☑1/16" line widths Click here: goo.gl/fPWorQ #tigersupplies #alignmenttools #construction

Something went wrong.
Something went wrong.
United States Trends
- 1. Happy Birthday Charlie 38K posts
- 2. Good Tuesday 27.8K posts
- 3. #tuesdayvibe 2,893 posts
- 4. #Worlds2025 40.3K posts
- 5. #PutThatInYourPipe N/A
- 6. Pentagon 71.9K posts
- 7. #T1WIN 17.6K posts
- 8. Janet Mills 1,299 posts
- 9. #Wordle1578 N/A
- 10. Dissidia 5,645 posts
- 11. Romans 10.9K posts
- 12. Martin Sheen 6,134 posts
- 13. Blinken 24.9K posts
- 14. Presidential Medal of Freedom 26.9K posts
- 15. JPMorgan 12.2K posts
- 16. No American 64.4K posts
- 17. Gaia 9,639 posts
- 18. Time Magazine 16.1K posts
- 19. Alec Baldwin 7,463 posts
- 20. Jake Moody 15K posts