#basiccalculus 검색 결과

Tweeting my answers here in #BasicCalculus because I just KNOW those leeches won't see it here... 😏😏😏

PhoenixNinja101's tweet image. Tweeting my answers here in #BasicCalculus because I just KNOW those leeches won't see it here... 😏😏😏
PhoenixNinja101's tweet image. Tweeting my answers here in #BasicCalculus because I just KNOW those leeches won't see it here... 😏😏😏

Answers, solutions and explanations to items 14-25 in the reviewer thread. Happy studying, kids! ❤️ #BasicCalculus

iJUSTINjoylife's tweet image. Answers, solutions and explanations to items 14-25 in the reviewer thread. Happy studying, kids! ❤️ #BasicCalculus

If your Dream is like a Polynomial it is always Continuous. 😁😁 #BasicCalculus

Bagxzs213's tweet image. If your Dream is like a Polynomial it is always Continuous.
😁😁
#BasicCalculus

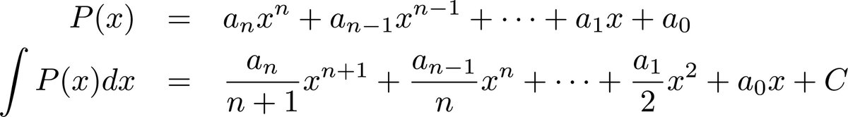
Don't forget the basics like the integral of a polynomial. #basiccalculus

calculussolved's tweet image. Don't forget the basics like the integral of a polynomial.  #basiccalculus

Guuuyyysss help! 😭 Topic: Continuity How to graph this? 😭😭 #sendhelp #BasicCalculus

sexymoniestar's tweet image. Guuuyyysss help! 😭

Topic: Continuity

How to graph this? 😭😭

#sendhelp 
#BasicCalculus

Then there's this part of my Calculus class... Ganito mangyayari pag hindi makadala ng libro/hindi malinis ang room/maingay at wala sa sariling upoan #basiccalculus #stembookless2 #ganitokamisaCALCULUS


Trying to work hard in Math? Here's a course/subject for Grade 11 STEM Students for you! Together with Teacher Kyle, your math teacher for the students to have.👨🏻‍🏫 Premieres July 31, 6:30 PM. #KFT2023 #BasicMath #BasicCalculus

KyleTheAwesom11's tweet image. Trying to work hard in Math? Here's a course/subject for Grade 11 STEM Students for you!

Together with Teacher Kyle, your math teacher for the students to have.👨🏻‍🏫

Premieres July 31, 6:30 PM.

#KFT2023 #BasicMath #BasicCalculus

Engineers Hub, Where Quality Matters... Revision and Most Expected Questions of Basic Calculus and Linear Algebra...on 16/10/2021, 10:00 AM to 5:00 PM. #BasicCalculus #LinearAlzebra #revision #GATE #scholarship #ScholarshipChallenge #Scholarships2021 #scholarshipopportunities

engineers_hub's tweet image. Engineers Hub, Where Quality Matters...
Revision and Most Expected Questions of Basic Calculus and Linear Algebra...on 16/10/2021, 10:00 AM to 5:00 PM.

#BasicCalculus #LinearAlzebra #revision #GATE #scholarship #ScholarshipChallenge #Scholarships2021 #scholarshipopportunities

이 트윗은 더 이상 사용할 수 없습니다.

Yung ang dali ng example sa book pero ang hirap ng paseatwork ni ma'am/sir. #BasicCalculus #MathProblems


200+ videos in #basiccalculus, #precalculus, #businessmathematics, #mathematicsinthemodernworld, and growing each day. Visit and subscribe to Great Deeds Academy. tinyurl.com/y5ej78rk

great_deeds's tweet image. 200+ videos in #basiccalculus, #precalculus, #businessmathematics, #mathematicsinthemodernworld, and growing each day. Visit and subscribe to Great Deeds Academy. tinyurl.com/y5ej78rk

Trying to work hard in Math? Here's a course/subject for Grade 11 STEM Students for you! Together with Teacher Kyle, your math teacher for the students to have.👨🏻‍🏫 Premieres July 31, 6:30 PM. #KFT2023 #BasicMath #BasicCalculus

KyleTheAwesom11's tweet image. Trying to work hard in Math? Here's a course/subject for Grade 11 STEM Students for you!

Together with Teacher Kyle, your math teacher for the students to have.👨🏻‍🏫

Premieres July 31, 6:30 PM.

#KFT2023 #BasicMath #BasicCalculus

LOL, ifykyk 🤷🏾‍♂️ #basiccalculus


Bakit yung mga example ang dadali??? Tapos yung assignment hindi ko alam kung saang planeta kinuha wahhhhh.. #sendhelp #basiccalculus #nasaanbandaangbasicsacalculus


hindi ko naman pinangarap maging abogado pero bakit puro laws ang pinag aaralan?😭😭😭😭😭😭 #BasicCalculus


omg highest sa pretest #BASICcalculus


Engineers Hub, Where Quality Matters... Revision and Most Expected Questions of Basic Calculus and Linear Algebra...on 16/10/2021, 10:00 AM to 5:00 PM. #BasicCalculus #LinearAlzebra #revision #GATE #scholarship #ScholarshipChallenge #Scholarships2021 #scholarshipopportunities

engineers_hub's tweet image. Engineers Hub, Where Quality Matters...
Revision and Most Expected Questions of Basic Calculus and Linear Algebra...on 16/10/2021, 10:00 AM to 5:00 PM.

#BasicCalculus #LinearAlzebra #revision #GATE #scholarship #ScholarshipChallenge #Scholarships2021 #scholarshipopportunities

Tweeting my answers here in #BasicCalculus because I just KNOW those leeches won't see it here... 😏😏😏

PhoenixNinja101's tweet image. Tweeting my answers here in #BasicCalculus because I just KNOW those leeches won't see it here... 😏😏😏
PhoenixNinja101's tweet image. Tweeting my answers here in #BasicCalculus because I just KNOW those leeches won't see it here... 😏😏😏

Group Picture. 1x1 whole body 💪 #BasicCalculus

lztinambunan's tweet image. Group Picture. 1x1 whole body 💪 #BasicCalculus

Exam na bukas pero ganito karami ang kaharap ko 😭😂 #BasicCalculus

mariamelizza_'s tweet image. Exam na bukas pero ganito karami ang kaharap ko 😭😂 #BasicCalculus
mariamelizza_'s tweet image. Exam na bukas pero ganito karami ang kaharap ko 😭😂 #BasicCalculus

Squad goals 😊💯 Thankyou Pandy. 😘💕 mwaaa. @runningbeltz #BasicCalculus

staekooked's tweet image. Squad goals 😊💯 Thankyou Pandy. 😘💕 mwaaa. @runningbeltz #BasicCalculus
staekooked's tweet image. Squad goals 😊💯 Thankyou Pandy. 😘💕 mwaaa. @runningbeltz #BasicCalculus

Naka Top3 naman over all😅 #BasicCalculus

kaad29's tweet image. Naka Top3 naman over all😅
#BasicCalculus

Answers, solutions and explanations to items 14-25 in the reviewer thread. Happy studying, kids! ❤️ #BasicCalculus

iJUSTINjoylife's tweet image. Answers, solutions and explanations to items 14-25 in the reviewer thread. Happy studying, kids! ❤️ #BasicCalculus

Trying to work hard in Math? Here's a course/subject for Grade 11 STEM Students for you! Together with Teacher Kyle, your math teacher for the students to have.👨🏻‍🏫 Premieres July 31, 6:30 PM. #KFT2023 #BasicMath #BasicCalculus

KyleTheAwesom11's tweet image. Trying to work hard in Math? Here's a course/subject for Grade 11 STEM Students for you!

Together with Teacher Kyle, your math teacher for the students to have.👨🏻‍🏫

Premieres July 31, 6:30 PM.

#KFT2023 #BasicMath #BasicCalculus

If your Dream is like a Polynomial it is always Continuous. 😁😁 #BasicCalculus

Bagxzs213's tweet image. If your Dream is like a Polynomial it is always Continuous.
😁😁
#BasicCalculus

Don't forget the basics like the integral of a polynomial. #basiccalculus

calculussolved's tweet image. Don't forget the basics like the integral of a polynomial.  #basiccalculus

"One of the hardest things in life, is watching the person you love someone else." #ActivityHugot #BasicCalculus #Grade11 #SecondSem

queenreina08's tweet image. "One of the hardest things in life, is watching the person you love someone else."
#ActivityHugot #BasicCalculus #Grade11 #SecondSem

Guuuyyysss help! 😭 Topic: Continuity How to graph this? 😭😭 #sendhelp #BasicCalculus

sexymoniestar's tweet image. Guuuyyysss help! 😭

Topic: Continuity

How to graph this? 😭😭

#sendhelp 
#BasicCalculus

Loading...

Something went wrong.


Something went wrong.


United States Trends