#deeplearningtheory zoekresultaten

Great talk by Yuchen Zhang on convexified convnets #ICML17 #deeplearningtheory

DaniloJRezende's tweet image. Great talk by Yuchen Zhang on convexified convnets #ICML17 #deeplearningtheory
DaniloJRezende's tweet image. Great talk by Yuchen Zhang on convexified convnets #ICML17 #deeplearningtheory

I just released my @MSFTResearch talk on "Neural Homology Theory," work with @rsalakhu! #DeepLearningTheory #AlgebraicTopology Full Talk: youtube.com/watch?v=QDQ9J5… Paper: wguss.ml/dev/nht/empiri…


For some reason my most productive days end like this. 📝🗑 I wish adding more layers worked for #DeepLearningTheory too.

wgussml's tweet image. For some reason my most productive  days end like this. 📝🗑 I wish adding more layers worked for #DeepLearningTheory too.

We just released our paper "On Characterizing the Capacity of Neural Networks using Algebraic Topology" on #arxiv. Joint work with @rsalakhu! #DeepLearningTheory #AlgebraicTopology Website: wguss.ml/dev/nht/empiri… Paper: arxiv.org/abs/1802.04443


I just gave a talk at #Berkeley on some new joint work with @rsalakhu called “Neural Homology Theory.” Expect some exciting developments over the next couple of months! #DeepLearningTheory #algtop


RT Deep Learning Optimization Theory — Introduction dlvr.it/SBhHbN #deeplearning #deeplearningtheory #optimization

DrMattCrowson's tweet image. RT Deep Learning Optimization Theory — Introduction dlvr.it/SBhHbN #deeplearning #deeplearningtheory #optimization

RT Making neural networks solve tougher problems by “thinking” for longer! dlvr.it/S5JnTQ #deeplearningtheory #machinelearning #recurrentneuralnetwork

DrMattCrowson's tweet image. RT Making neural networks solve tougher problems by “thinking” for longer! dlvr.it/S5JnTQ #deeplearningtheory #machinelearning #recurrentneuralnetwork

We thank all faculty members and students who participated in the 1st Deep Learning Theory Retreat of TAD Center! We had 2 great days of interesting talks and fruitful discussions. More details: bit.ly/3SIWSZb #deeplearningtheory

TAD_Tau's tweet image. We thank all faculty members and students who participated in the 1st Deep Learning Theory Retreat of TAD Center! 
We had 2 great days of interesting talks and fruitful discussions. 
More details: bit.ly/3SIWSZb
#deeplearningtheory

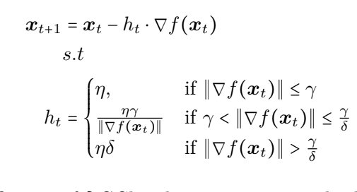
:) delta-GClip @ #TMLR #deeplearningtheory

Our insight is to introduce an intermediate form of gradient clipping that can leverage the PL* inequality of wide nets - something not known for standard clipping. Given our algorithm works for transformers maybe that points to some yet unkown algebraic property of them. #TMLR

anirbit_maths's tweet image. Our insight is to introduce an intermediate form of gradient clipping that can leverage the PL* inequality of wide nets - something not known for standard clipping. Given our algorithm works for transformers maybe that points to some yet unkown algebraic property of them. #TMLR
anirbit_maths's tweet image. Our insight is to introduce an intermediate form of gradient clipping that can leverage the PL* inequality of wide nets - something not known for standard clipping. Given our algorithm works for transformers maybe that points to some yet unkown algebraic property of them. #TMLR


Our "delta-GCLip" is the *only* known adaptive gradient algorithm that provably trains deep-nets AND is practically competitive. That's the message of our recently accepted #TMLR paper - and my 4th TMLR journal 🙂 openreview.net/pdf?id=ABT1XQL… #optimization #deeplearningtheory


Unexpected places where you can find research on #DeepLearningTheory: The very interesting paper below (by @maxhfarrell, @LiangTengyuan, and @sanjog_misra) has been published in @ecmaEditors earlier this year. Probably unnoticed by many of us in CS. onlinelibrary.wiley.com/doi/epdf/10.39…


Interested in applying #MachineLearning, #DeepLearningTheory, and #DataMining to #biology and #neuroscience? Join us on Tuesday!

Join us for our last BBS e-Lecture Series talk on Tuesday, 06/07 at 6 PM EST featuring @KrishnaswamyLab! Learn about biological applications to #MachineLearning, #DeepLearningTheory, #DataMining! Register: bit.ly/3rBmYAh

YBDIC_'s tweet image. Join us for our last BBS e-Lecture Series talk on Tuesday, 06/07 at 6 PM EST featuring @KrishnaswamyLab! 

Learn about biological applications to #MachineLearning, #DeepLearningTheory, #DataMining! 

Register:  bit.ly/3rBmYAh


You might take comfort in the fact that there’s a few papers out there working out PAC-Bayes generalisation bounds for some deep net architectures 😉 @roydanroy @bneyshabur @MLpager @felix_biggs @KDziugaite and others #DeepLearningTheory


Awesome new work from @HSompolinsky & friends on manifold de-tangling and deep neural network theory! We're psyched to have him as a speaker at the Deep Math conference this October! (deepmath-conference.com) #manifolds4life #deeplearningtheory #deepmath2019


:) delta-GClip @ #TMLR #deeplearningtheory

Our insight is to introduce an intermediate form of gradient clipping that can leverage the PL* inequality of wide nets - something not known for standard clipping. Given our algorithm works for transformers maybe that points to some yet unkown algebraic property of them. #TMLR

anirbit_maths's tweet image. Our insight is to introduce an intermediate form of gradient clipping that can leverage the PL* inequality of wide nets - something not known for standard clipping. Given our algorithm works for transformers maybe that points to some yet unkown algebraic property of them. #TMLR
anirbit_maths's tweet image. Our insight is to introduce an intermediate form of gradient clipping that can leverage the PL* inequality of wide nets - something not known for standard clipping. Given our algorithm works for transformers maybe that points to some yet unkown algebraic property of them. #TMLR


Our "delta-GCLip" is the *only* known adaptive gradient algorithm that provably trains deep-nets AND is practically competitive. That's the message of our recently accepted #TMLR paper - and my 4th TMLR journal 🙂 openreview.net/pdf?id=ABT1XQL… #optimization #deeplearningtheory


We thank all faculty members and students who participated in the 1st Deep Learning Theory Retreat of TAD Center! We had 2 great days of interesting talks and fruitful discussions. More details: bit.ly/3SIWSZb #deeplearningtheory

TAD_Tau's tweet image. We thank all faculty members and students who participated in the 1st Deep Learning Theory Retreat of TAD Center! 
We had 2 great days of interesting talks and fruitful discussions. 
More details: bit.ly/3SIWSZb
#deeplearningtheory

RT Deep Learning Optimization Theory — Introduction dlvr.it/SBhHbN #deeplearning #deeplearningtheory #optimization

DrMattCrowson's tweet image. RT Deep Learning Optimization Theory — Introduction dlvr.it/SBhHbN #deeplearning #deeplearningtheory #optimization

Unexpected places where you can find research on #DeepLearningTheory: The very interesting paper below (by @maxhfarrell, @LiangTengyuan, and @sanjog_misra) has been published in @ecmaEditors earlier this year. Probably unnoticed by many of us in CS. onlinelibrary.wiley.com/doi/epdf/10.39…


RT Making neural networks solve tougher problems by “thinking” for longer! dlvr.it/S5JnTQ #deeplearningtheory #machinelearning #recurrentneuralnetwork

DrMattCrowson's tweet image. RT Making neural networks solve tougher problems by “thinking” for longer! dlvr.it/S5JnTQ #deeplearningtheory #machinelearning #recurrentneuralnetwork

You might take comfort in the fact that there’s a few papers out there working out PAC-Bayes generalisation bounds for some deep net architectures 😉 @roydanroy @bneyshabur @MLpager @felix_biggs @KDziugaite and others #DeepLearningTheory


Awesome new work from @HSompolinsky & friends on manifold de-tangling and deep neural network theory! We're psyched to have him as a speaker at the Deep Math conference this October! (deepmath-conference.com) #manifolds4life #deeplearningtheory #deepmath2019


I just released my @MSFTResearch talk on "Neural Homology Theory," work with @rsalakhu! #DeepLearningTheory #AlgebraicTopology Full Talk: youtube.com/watch?v=QDQ9J5… Paper: wguss.ml/dev/nht/empiri…


We just released our paper "On Characterizing the Capacity of Neural Networks using Algebraic Topology" on #arxiv. Joint work with @rsalakhu! #DeepLearningTheory #AlgebraicTopology Website: wguss.ml/dev/nht/empiri… Paper: arxiv.org/abs/1802.04443


I just gave a talk at #Berkeley on some new joint work with @rsalakhu called “Neural Homology Theory.” Expect some exciting developments over the next couple of months! #DeepLearningTheory #algtop


For some reason my most productive days end like this. 📝🗑 I wish adding more layers worked for #DeepLearningTheory too.

wgussml's tweet image. For some reason my most productive  days end like this. 📝🗑 I wish adding more layers worked for #DeepLearningTheory too.

Great talk by Yuchen Zhang on convexified convnets #ICML17 #deeplearningtheory

DaniloJRezende's tweet image. Great talk by Yuchen Zhang on convexified convnets #ICML17 #deeplearningtheory
DaniloJRezende's tweet image. Great talk by Yuchen Zhang on convexified convnets #ICML17 #deeplearningtheory

Geen resultaten voor "#deeplearningtheory"

I just released my @MSFTResearch talk on "Neural Homology Theory," work with @rsalakhu! #DeepLearningTheory #AlgebraicTopology Full Talk: youtube.com/watch?v=QDQ9J5… Paper: wguss.ml/dev/nht/empiri…


Great talk by Yuchen Zhang on convexified convnets #ICML17 #deeplearningtheory

DaniloJRezende's tweet image. Great talk by Yuchen Zhang on convexified convnets #ICML17 #deeplearningtheory
DaniloJRezende's tweet image. Great talk by Yuchen Zhang on convexified convnets #ICML17 #deeplearningtheory

For some reason my most productive days end like this. 📝🗑 I wish adding more layers worked for #DeepLearningTheory too.

wgussml's tweet image. For some reason my most productive  days end like this. 📝🗑 I wish adding more layers worked for #DeepLearningTheory too.

RT Deep Learning Optimization Theory — Introduction dlvr.it/SBhHbN #deeplearning #deeplearningtheory #optimization

DrMattCrowson's tweet image. RT Deep Learning Optimization Theory — Introduction dlvr.it/SBhHbN #deeplearning #deeplearningtheory #optimization

RT Making neural networks solve tougher problems by “thinking” for longer! dlvr.it/S5JnTQ #deeplearningtheory #machinelearning #recurrentneuralnetwork

DrMattCrowson's tweet image. RT Making neural networks solve tougher problems by “thinking” for longer! dlvr.it/S5JnTQ #deeplearningtheory #machinelearning #recurrentneuralnetwork

We thank all faculty members and students who participated in the 1st Deep Learning Theory Retreat of TAD Center! We had 2 great days of interesting talks and fruitful discussions. More details: bit.ly/3SIWSZb #deeplearningtheory

TAD_Tau's tweet image. We thank all faculty members and students who participated in the 1st Deep Learning Theory Retreat of TAD Center! 
We had 2 great days of interesting talks and fruitful discussions. 
More details: bit.ly/3SIWSZb
#deeplearningtheory

Loading...

Something went wrong.


Something went wrong.


United States Trends