#interruptedtimeseries ผลการค้นหา

All things #InterruptedTimeSeries and #ARIMA with Dr Andrea Schaffer today at the @MedIntelCRE data practicum!💊

pharmer_jack's tweet image. All things #InterruptedTimeSeries and #ARIMA with Dr Andrea Schaffer today at the @MedIntelCRE data practicum!💊

#InterruptedTimeSeries can be more robust than #PrePost trials, but there are risks of bias. Contemp control group can improve both designs. @dikeojji’s #implementation study highlights the effort req’d to mobilize communities to ⬆️#HTN care while using a practical ITS design👏

hvanspall's tweet image. #InterruptedTimeSeries can be more robust than #PrePost trials, but there are risks of bias. Contemp control group can improve both designs.

@dikeojji’s #implementation study  highlights the effort req’d to mobilize communities to ⬆️#HTN care while using a practical ITS design👏

🎙️NEW #AHA23 #LBCT Discussion 💫Dr @dikeojji and Dr @hvanspall discuss the Hypertension Treatment in Nigeria Program. 📽️Watch here👉 tinyurl.com/2w9hnhrr 📊Early results of a type 2 hybrid effectiveness and implementation trial. #CardioTwitter



Who's Who in HPI: Assistant Professor Fang Zhang is an experienced biostatistician w/expertise in #interruptedtimeseries methods for health services & #healthpolicy research, & Bayesian data mining methods in drug safety research. For more on his work: ow.ly/ZBEO50jpMap


Welcome to @DeptPopMed, @Unni_Gopinathan! We look forward to your work with @drossdeg and @Jwharam on U.S. #healthpolicy effects on preventive care, using #interruptedtimeseries study designs. ow.ly/YN7b50iXirf


Did US #covid19 mask mandates work 🧐? Using data from over 34,000 people in the weeks before and after mandates, authors use #interruptedtimeseries approaches and show that as a behaviour change mechanism, mandates might need some work... #PublicHealth academic.oup.com/aje/advance-ar…

JohnSnowSociety's tweet image. Did US #covid19 mask mandates work 🧐? 
Using data from over 34,000 people in the weeks before and after mandates, authors use #interruptedtimeseries approaches and show that as a behaviour change mechanism, mandates might need some work...
#PublicHealth 
academic.oup.com/aje/advance-ar…

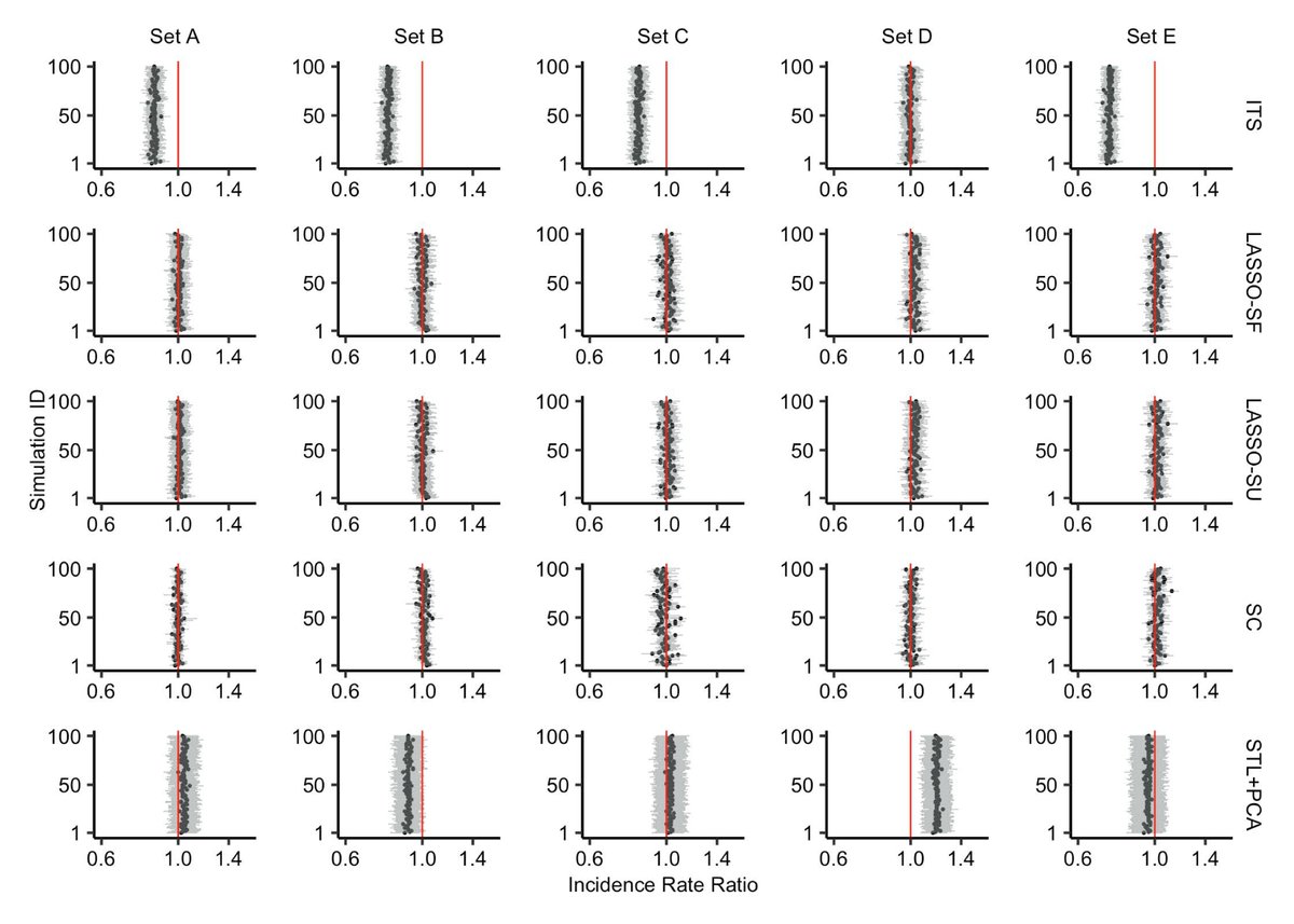
(6/8) We found that #LassoRegression achieved accurate and precise estimation with high coverage while #InterruptedTimeSeries estimates were sometimes accurate, sometimes biased 👇

domenechlab's tweet image. (6/8) We found that #LassoRegression achieved accurate and precise estimation with high coverage while #InterruptedTimeSeries estimates were sometimes accurate, sometimes biased 👇

In @BMJ_Open: former @HealthPolicyDPM fellow Xiaodong Guan, et al - incl. @drossdeg & Anita K. Wagner - used #interruptedtimeseries to assess changes in price, volume of use & spending following implementation of 2 price policies in China. Read more here: ow.ly/HoQk50xpPWe

DeptPopMed's tweet image. In @BMJ_Open: former @HealthPolicyDPM fellow Xiaodong Guan, et al - incl. @drossdeg & Anita K. Wagner - used #interruptedtimeseries to assess changes in price, volume of use & spending following implementation of 2 price policies in China. Read more here: ow.ly/HoQk50xpPWe

(5/8) First, we simulated data with a pre-sepcified vaccine impact, and compared the performance of #LassoRegression and commonly used methods, such as #InterruptedTimeSeries, in estimating the #vaccineimpact.


For over two decades, HPI faculty have advanced quasi-experimental methods to generate sound evidence for #policy decision making. #interruptedtimeseries ow.ly/hBVV50hqycv


Join us today at noon for the next @HealthPolicyDPM seminar, featuring @Jwharam and Fang Zhang discussing #interruptedtimeseries - one of their #researchmethods specialities! Check out our website for future seminars: ow.ly/nLYm50x3GIC


A new study in @BMJ_Open co-authored by @DeptPopMed / @HealthPolicyDPM's @ChrisLuPhD, uses #interruptedtimeseries to investigate and project trends in the incidence and early diagnosis of #lungcancer in #Taiwan. ow.ly/nZRU50zMvvX


Perfect approach @pharmer_jack, thx for the share. My PhD was full of #ARIMA models in my #InterruptedTimeSeries on incentives to GPs and immunisation.


Did US #covid19 mask mandates work 🧐? Using data from over 34,000 people in the weeks before and after mandates, authors use #interruptedtimeseries approaches and show that as a behaviour change mechanism, mandates might need some work... #PublicHealth academic.oup.com/aje/advance-ar…

JohnSnowSociety's tweet image. Did US #covid19 mask mandates work 🧐? 
Using data from over 34,000 people in the weeks before and after mandates, authors use #interruptedtimeseries approaches and show that as a behaviour change mechanism, mandates might need some work...
#PublicHealth 
academic.oup.com/aje/advance-ar…

Perfect approach @pharmer_jack, thx for the share. My PhD was full of #ARIMA models in my #InterruptedTimeSeries on incentives to GPs and immunisation.


All things #InterruptedTimeSeries and #ARIMA with Dr Andrea Schaffer today at the @MedIntelCRE data practicum!💊

pharmer_jack's tweet image. All things #InterruptedTimeSeries and #ARIMA with Dr Andrea Schaffer today at the @MedIntelCRE data practicum!💊

#InterruptedTimeSeries can be more robust than #PrePost trials, but there are risks of bias. Contemp control group can improve both designs. @dikeojji’s #implementation study highlights the effort req’d to mobilize communities to ⬆️#HTN care while using a practical ITS design👏

hvanspall's tweet image. #InterruptedTimeSeries can be more robust than #PrePost trials, but there are risks of bias. Contemp control group can improve both designs.

@dikeojji’s #implementation study  highlights the effort req’d to mobilize communities to ⬆️#HTN care while using a practical ITS design👏

🎙️NEW #AHA23 #LBCT Discussion 💫Dr @dikeojji and Dr @hvanspall discuss the Hypertension Treatment in Nigeria Program. 📽️Watch here👉 tinyurl.com/2w9hnhrr 📊Early results of a type 2 hybrid effectiveness and implementation trial. #CardioTwitter



(6/8) We found that #LassoRegression achieved accurate and precise estimation with high coverage while #InterruptedTimeSeries estimates were sometimes accurate, sometimes biased 👇

domenechlab's tweet image. (6/8) We found that #LassoRegression achieved accurate and precise estimation with high coverage while #InterruptedTimeSeries estimates were sometimes accurate, sometimes biased 👇

(5/8) First, we simulated data with a pre-sepcified vaccine impact, and compared the performance of #LassoRegression and commonly used methods, such as #InterruptedTimeSeries, in estimating the #vaccineimpact.


ไม่พบผลลัพธ์สำหรับ "#interruptedtimeseries"

All things #InterruptedTimeSeries and #ARIMA with Dr Andrea Schaffer today at the @MedIntelCRE data practicum!💊

pharmer_jack's tweet image. All things #InterruptedTimeSeries and #ARIMA with Dr Andrea Schaffer today at the @MedIntelCRE data practicum!💊

In @BMJ_Open: former @HealthPolicyDPM fellow Xiaodong Guan, et al - incl. @drossdeg & Anita K. Wagner - used #interruptedtimeseries to assess changes in price, volume of use & spending following implementation of 2 price policies in China. Read more here: ow.ly/HoQk50xpPWe

DeptPopMed's tweet image. In @BMJ_Open: former @HealthPolicyDPM fellow Xiaodong Guan, et al - incl. @drossdeg & Anita K. Wagner - used #interruptedtimeseries to assess changes in price, volume of use & spending following implementation of 2 price policies in China. Read more here: ow.ly/HoQk50xpPWe

#InterruptedTimeSeries can be more robust than #PrePost trials, but there are risks of bias. Contemp control group can improve both designs. @dikeojji’s #implementation study highlights the effort req’d to mobilize communities to ⬆️#HTN care while using a practical ITS design👏

hvanspall's tweet image. #InterruptedTimeSeries can be more robust than #PrePost trials, but there are risks of bias. Contemp control group can improve both designs.

@dikeojji’s #implementation study  highlights the effort req’d to mobilize communities to ⬆️#HTN care while using a practical ITS design👏

🎙️NEW #AHA23 #LBCT Discussion 💫Dr @dikeojji and Dr @hvanspall discuss the Hypertension Treatment in Nigeria Program. 📽️Watch here👉 tinyurl.com/2w9hnhrr 📊Early results of a type 2 hybrid effectiveness and implementation trial. #CardioTwitter



Study in @SAGEClinMed Insights: Pediatrics (co-authored by @HealthPolicyDPM's @StephenSoumerai, Fang Zhang) uses #interruptedtimeseries to look @ effects of ASI treatment on rate of reaching & grasping for children w/#Rettsyndrome & Rett-related disorders. ow.ly/UDXN50vZmZr

DeptPopMed's tweet image. Study in @SAGEClinMed Insights: Pediatrics (co-authored by @HealthPolicyDPM's @StephenSoumerai, Fang Zhang) uses #interruptedtimeseries to look @ effects of ASI treatment on rate of reaching & grasping for children w/#Rettsyndrome & Rett-related disorders. ow.ly/UDXN50vZmZr

Did US #covid19 mask mandates work 🧐? Using data from over 34,000 people in the weeks before and after mandates, authors use #interruptedtimeseries approaches and show that as a behaviour change mechanism, mandates might need some work... #PublicHealth academic.oup.com/aje/advance-ar…

JohnSnowSociety's tweet image. Did US #covid19 mask mandates work 🧐? 
Using data from over 34,000 people in the weeks before and after mandates, authors use #interruptedtimeseries approaches and show that as a behaviour change mechanism, mandates might need some work...
#PublicHealth 
academic.oup.com/aje/advance-ar…

Please join us! This Wednesday, July 17th at noon, Cecelia Kallberg presents the next @HealthPolicyDPM Research Seminar! bit.ly/2p65yMa #antibiotics #interruptedtimeseries

DeptPopMed's tweet image. Please join us! This Wednesday, July 17th at noon, Cecelia Kallberg presents the next @HealthPolicyDPM Research Seminar!

bit.ly/2p65yMa

#antibiotics #interruptedtimeseries

Please join us today at noon as Cecelia Kallberg presents the next @HealthPolicyDPM Research Seminar! bit.ly/2p65yMa #antibiotics #interruptedtimeseries

DeptPopMed's tweet image. Please join us today at noon as Cecelia Kallberg presents the next @HealthPolicyDPM Research Seminar!

bit.ly/2p65yMa

#antibiotics #interruptedtimeseries

(6/8) We found that #LassoRegression achieved accurate and precise estimation with high coverage while #InterruptedTimeSeries estimates were sometimes accurate, sometimes biased 👇

domenechlab's tweet image. (6/8) We found that #LassoRegression achieved accurate and precise estimation with high coverage while #InterruptedTimeSeries estimates were sometimes accurate, sometimes biased 👇

New study co-authored by @HealthPolicyDPM's @drossdeg is online in @rsp_usp: Brazilian generics market change after Farmácia Popular (FP) program. Read what the team found using #interruptedtimeseries design in this longitudinal, retrospective study: ow.ly/2QZa50wVoMp

DeptPopMed's tweet image. New study co-authored by @HealthPolicyDPM's @drossdeg is online in @rsp_usp: Brazilian generics market change after Farmácia Popular (FP) program. 

Read what the team found using #interruptedtimeseries design in this longitudinal, retrospective study:

ow.ly/2QZa50wVoMp

Loading...

Something went wrong.


Something went wrong.