#mathml 검색 결과
Today, native MathML support has also arrived in the Vivaldi browser! Vivaldi 5.7 to be precise. #MathML

『数学用マークアップ言語 (MathML) バージョン 4.0』の日本語訳を、2025年9月19日草案版のものに更新しました。 #MathML #日本語訳 #和訳 takamu.sakura.ne.jp/mathml4-ja/ind…
『数学用マークアップ言語 (MathML) バージョン 4.0』の日本語訳を、現時点の最新版(2025年10月6日草案版)のものに更新しました。 課題(ISSUE)が残り2つになっているので、まだ大分先だと思われますが、勧告に向けて作業が進んでいるようです。 #MathML #日本語訳 #和訳 takamu.sakura.ne.jp/mathml4-ja/ind…
A busy week ahead for the #MathML world. Let us know what you are building and follow us for some of the highlights.

『アラビア語の数学表記』の日本語訳を公開しました。 #MathML #日本語訳 #和訳 takamu.sakura.ne.jp/arabic-math-ja…
Cannot understand the difference between #MathML mtable in Chrome (on the left) and Firefox (on the right) and what to do with it. Chrome just works like rowspacing="0ex", but the default should be 1.0ex, which I do not like. Setting padding makes space in Chrome too small.

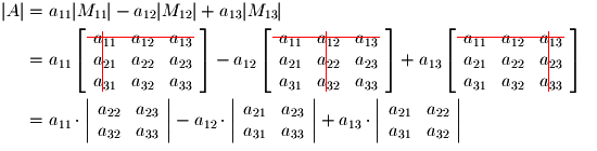
Can #MathML do something like on the picture? Seems, not: 1) <menclose> is not in the Core; 2) does <menclose> have a11y to tell that it is crossed out element? 3) paddings inside of <mtd> and non-cross-browser issues with paddings

The mobile web is fully MathML-native! Samsung Internet, v21, is now available in the Galaxy and Play app stores. It was the final major browser release we were tracking. Support for #MathML Core in Samsung Internet is courtesy of Chromium, v110.


February 2023. It is now difficult to find browsers without native MathML support! developer.mozilla.org/en-US/docs/Web… #HTML #MathML #Math #Maths #a11y

You have 4 days: The State of HTML 2025 survey covers <math> for the first time. Have thoughts? Engage! Survey closes August 15th. Link in reply. #mathml #math #html

Did you know that MathML (Mathematical Markup Language) is the secret sauce behind displaying beautiful math equations on the web? 🤓✨ Whether you're a math enthusiast or just curious about the magic happening behind the scenes, MathML is a game-changer! 🎩🔮 #mathml #html5
[EN] More information on #InDesign+#MathML for script developers: → indiscripts.com/post/2025/03/i… #UXP #ExtendScript #IDJS #MathJax
![indiscripts's tweet image. [EN] More information on #InDesign+#MathML for script developers:
→ indiscripts.com/post/2025/03/i…
#UXP #ExtendScript #IDJS #MathJax](https://pbs.twimg.com/media/GmsR57pW4AA9cx3.png)
Blogged: Creating a .NET AsciiMath parser and using it in a Markdig extension buff.ly/3WmVuzs In this post I describe how I ported a Ruby AsciiMath implementation to .NET, created the AsciiMath NuGet package, and used it to create a Markdig extension #dotnet #mathml
[EN] Started investigating #MathML in #InDesign. [If you're a script developer, more technical info will come in Part 2.] → indiscripts.com/post/2024/10/i…
![indiscripts's tweet image. [EN] Started investigating #MathML in #InDesign. [If you're a script developer, more technical info will come in Part 2.]
→ indiscripts.com/post/2024/10/i…](https://pbs.twimg.com/media/GaJCb-BWsAAJiD0.jpg)
Tried b² = k₁ + a k₂. T = k₁/2a + k₂/2. Var = n (k₁ + a k₂)² / 32a², H = n/2 + ln Γ(n/2) + (1 - n/2) ψ(n/2) - ln 4 + ln (k₁ + a k₂) - ln a. #MathML
『数学用マークアップ言語 (MathML) バージョン 4.0』の日本語訳を、現時点の最新版(2025年10月6日草案版)のものに更新しました。 課題(ISSUE)が残り2つになっているので、まだ大分先だと思われますが、勧告に向けて作業が進んでいるようです。 #MathML #日本語訳 #和訳 takamu.sakura.ne.jp/mathml4-ja/ind…
『数学用マークアップ言語 (MathML) バージョン 4.0』の日本語訳を、2025年9月19日草案版のものに更新しました。 #MathML #日本語訳 #和訳 takamu.sakura.ne.jp/mathml4-ja/ind…
『アラビア語の数学表記』の日本語訳を公開しました。 #MathML #日本語訳 #和訳 takamu.sakura.ne.jp/arabic-math-ja…
You have 4 days: The State of HTML 2025 survey covers <math> for the first time. Have thoughts? Engage! Survey closes August 15th. Link in reply. #mathml #math #html

Did you know that our #CanvasLMS now supports the use of #MathML in the rich content editor? Find out about this update and more in this month’s Canvas Plus. ow.ly/4OXl50WvAMV
blog.smu.edu
Canvas Plus: July 2025 Edition
In this month's Canvas Plus Monthly, we discuss the enhancements with MathML, the new online polling system for live audience engagement, and upcoming workshops.
Speed that up a lil.. #RecursivelyStabilizedQuasiSolitons #MathML code in pinned post
『MathML コア』の日本語訳を、勧告候補全体版(CRS)のものに更新しました。 #MathML #日本語訳 #和訳 #勧告候補 takamu.sakura.ne.jp/mathml-core-ja…
『数学用マークアップ言語 (MathML) バージョン 4.0』の日本語訳を、現時点の最新版(2025年6月6日草案版)のものに更新しました。 今回、日本語訳更新履歴を別ページに分け、URLも変更しました。 #MathML #日本語訳 #和訳 takamu.sakura.ne.jp/mathml4-ja/ind…
『MathML コア』の日本語訳を、最新版(2025年5月23日草案版)のものに更新しました。 #MathML #日本語訳 #和訳 takamu.sakura.ne.jp/mathml-core-ja…
Enable #MathML generation from natural language. Oxygen XML Developer Enterprise V27.1 by @syncrosoft introduces a smart formula action that leverages #AI to convert natural language input into MathML. dlvr.it/TKJT3b
『数学用マークアップ言語 (MathML) バージョン 4.0』の日本語訳を、現時点の最新版(2025年4月2日草案版)のものに更新しました。 #MathML #日本語訳 #和訳 takamu.sakura.ne.jp/mathml4-ja.html
Mathup.js: Write MathML faster than LaTeX escapes. Perfect for docs and education apps. - Lightweight and performant - CLI/node/browser support - RTL/Matrix/Color syntax Playground: cssscript.com/demo/mathml-au… #WebDev #MathML

[EN] More information on #InDesign+#MathML for script developers: → indiscripts.com/post/2025/03/i… #UXP #ExtendScript #IDJS #MathJax
![indiscripts's tweet image. [EN] More information on #InDesign+#MathML for script developers:
→ indiscripts.com/post/2025/03/i…
#UXP #ExtendScript #IDJS #MathJax](https://pbs.twimg.com/media/GmsR57pW4AA9cx3.png)
"Maintaining MathML Concept Lists"の日本語訳"MathML概念一覧の管理"を掲載しました。 原文がGitHub上にあるので頻繁に変わっていく文書だと思われますが、誰かの参考になればと思います。 #MathML #日本語訳 #和訳 takamu.sakura.ne.jp/mathml/w3c/con…
『数学用マークアップ言語 (MathML) バージョン 4.0』の日本語訳を、現時点の最新版(2024年11月19日草案版)のものに更新しました。 #MathML #日本語訳 #和訳 takamu.sakura.ne.jp/mathml4-ja.html
もしかして草案から勧告までの期間はだんだんと延びてきているのではないでしょうか。そこで、過去のMathMLが草案から勧告までのどれくらいの期間だったかを調べてみました。 #MathML #草案 #勧告 #期間 草案から勧告までの期間はだんだん延びてきている|たかむ #note note.com/takamumath/n/n…
W3C勧告とかの日本語訳に関わり始めて18年になるんで振り返ってみました。 #W3C #MathML #日本語訳 18年目の日本語訳を振り返る|たかむ #note note.com/takamumath/n/n…
2024年10月28日、MathML 4.0が、初期草案(2022年9月8日)から2年ぶりに更新されました。 今回、主な更新点について見ていきたいと思います。 #MathML MathML 4.0が2年ぶりに更新された|たかむ #note note.com/takamumath/n/n…
Pure #MathML in #ePub3 in #AZARDI.You decide your #reading presentation.A resized viewport.... bit.ly/1nnynxe #ReadingChallenge #DelhiWorldBookFair #books #ChildrensBooks #Tüyap #Tüyapfuarcılık #2020 #mutluyıllar

Packaging RichMedia #Javascript, #CSS, #MathML #SVG #Html5 #CSS3 #audio #VIDEOS for Highly Interactive #Textbooks. bit.ly/1fp0AMM #PrimaryEducation #K12 #Education

This #ebook contains 2,968 inline and block #MathML statements. bit.ly/2HchK9G you can convert MathMl to #png , #SVG , #JPG at any time in your final output as your #reader support

Representing Mathematical Formulae in Content #MathML using Wikidata.–Scharpf et al. ceur-ws.org/Vol-2132/paper…

Johannes Stegmüller @Hyper_Node presented his upcoming PhD project on improving access to mathematical formulas for visually impaired users on Wikipedia. @FU_Berlin @dmv_mathematik #Wikipedia #MathML #MediaWiki #Accessibility

MathJax to view mathMl in WebView of android stackoverflow.com/questions/3067… #webview #mathjax #mathml #android

#IGPDigitalPublisher tools for #MATHML tagging learn.infogridpacific.com/writer2/writer… #eBooks #epub3 #PrintPDF #publishers @infogridpacific


#bluevoid Here are our services through which we innovate your global business ideas into reality...!! . . #epub #mathml #dataconversion #digitalmarketing #webdevelopment #XML #seo #technology #tech #design

Cannot understand the difference between #MathML mtable in Chrome (on the left) and Firefox (on the right) and what to do with it. Chrome just works like rowspacing="0ex", but the default should be 1.0ex, which I do not like. Setting padding makes space in Chrome too small.

Can #MathML do something like on the picture? Seems, not: 1) <menclose> is not in the Core; 2) does <menclose> have a11y to tell that it is crossed out element? 3) paddings inside of <mtd> and non-cross-browser issues with paddings

The #MathML #WorkingGroup is one of the oldest @w3c Working Groups. The need for mathematical rendering on the Web was evident from the earliest days of the Web at #CERN (1989)

🎉 MathML is now supported in browsers used by 88.39 % of users global! #mathml #caniuse #Other caniuse.com/mathml

Is #MathML not accessible on Firefox with NVDA? MathML renders in Firefox just not accessible to the screen reader? #a11y

Check out this talk about the status of #MathML in #Chormium people.igalia.com/fwang/blink-on… For @mediawiki this means: The benefits of MathML rendering will eventually be available to all visitors of @Wikipedia #BlinkOn

Something went wrong.
Something went wrong.
United States Trends
- 1. Russ 29.9K posts
- 2. #NBAonNBC N/A
- 3. Lakers 43.1K posts
- 4. Arsenal 360K posts
- 5. Warriors 59.4K posts
- 6. NASA 75.9K posts
- 7. Roundball Rock 5,502 posts
- 8. Adam Silver 2,028 posts
- 9. Sean Payton 3,362 posts
- 10. #ThunderUp 2,204 posts
- 11. Jen Psaki 2,302 posts
- 12. Crosby 9,962 posts
- 13. Platner 13.4K posts
- 14. Rockets 30.7K posts
- 15. Maria Taylor N/A
- 16. Atlas 63.8K posts
- 17. The NBA 106K posts
- 18. Martinelli 40.7K posts
- 19. Oval Office 52.2K posts
- 20. John Brennan 34.2K posts