#scaleinvariance نتائج البحث

Different approaches suggesting that Kaspa's growth (similar to Bitcoin), is scale-invariant: Fig 1: Test on data with price p and time t Fig 2: Fitting a power law in log-log space showing similar results: offset regression line arbitrary #ScaleInvariance #KASPowerLaw #Kaspa

Hendrik__Z's tweet image. Different approaches suggesting that Kaspa's growth (similar to Bitcoin), is scale-invariant:

Fig 1: Test on data with price p and time t
Fig 2: Fitting a power law in log-log space showing similar results: offset regression line arbitrary

#ScaleInvariance #KASPowerLaw #Kaspa
Hendrik__Z's tweet image. Different approaches suggesting that Kaspa's growth (similar to Bitcoin), is scale-invariant:

Fig 1: Test on data with price p and time t
Fig 2: Fitting a power law in log-log space showing similar results: offset regression line arbitrary

#ScaleInvariance #KASPowerLaw #Kaspa

Fundamental #ScaleInvariance C. Wetterich Institut für Theoretische Physik, Universität Heidelberg, Philosophenweg 16, D-69120 Heidelberg, Germany Received 28 October 2020 scoap3-prod-backend.s3.cern.ch/media/files/59…

MagnetReconnect's tweet image. Fundamental #ScaleInvariance 
C. Wetterich
Institut für Theoretische Physik, Universität Heidelberg, Philosophenweg 16, D-69120 Heidelberg, Germany
Received 28 October 2020

scoap3-prod-backend.s3.cern.ch/media/files/59…

Drumlin swarm on the beach after strong winds pushed the water farther up the beach. No glaciers here in Tuscany… #ScaleInvariance #DrumlinSwarm #Catastrophism @randallwcarlson @SnkBrs @CosmicTusk

BPOsteopath's tweet image. Drumlin swarm on the beach after strong winds pushed the water farther up the beach. No glaciers here in Tuscany… #ScaleInvariance #DrumlinSwarm #Catastrophism
@randallwcarlson @SnkBrs @CosmicTusk
BPOsteopath's tweet image. Drumlin swarm on the beach after strong winds pushed the water farther up the beach. No glaciers here in Tuscany… #ScaleInvariance #DrumlinSwarm #Catastrophism
@randallwcarlson @SnkBrs @CosmicTusk

#ScaleInvariance #EMH Simple explanation, Gio? 👍🏽 Let's explore as if we were 4th graders and you were our teacher inviting us to question everything. The efficient-market hypothesis (EMH) challenges Bitcoin's power law theory in several key ways. perplexity.ai/search/what-ar…


Incorrect due to #ScaleInvariance: The sun and moon APPEAR to be roughly the same size in the sky because the measurements are based on #AngularSize! The triangles, circles and fractals below all have equal PROPORTIONS but NOT equal sizes m.youtube.com/watch?v=9IXR1N… #AstroNoobie101🤡

NothingSirius's tweet image. Incorrect due to #ScaleInvariance: The sun and moon APPEAR to be roughly the same size in the sky because the measurements are based on #AngularSize! The triangles, circles and fractals below all have equal PROPORTIONS but NOT equal sizes
m.youtube.com/watch?v=9IXR1N…
#AstroNoobie101🤡
NothingSirius's tweet image. Incorrect due to #ScaleInvariance: The sun and moon APPEAR to be roughly the same size in the sky because the measurements are based on #AngularSize! The triangles, circles and fractals below all have equal PROPORTIONS but NOT equal sizes
m.youtube.com/watch?v=9IXR1N…
#AstroNoobie101🤡
NothingSirius's tweet image. Incorrect due to #ScaleInvariance: The sun and moon APPEAR to be roughly the same size in the sky because the measurements are based on #AngularSize! The triangles, circles and fractals below all have equal PROPORTIONS but NOT equal sizes
m.youtube.com/watch?v=9IXR1N…
#AstroNoobie101🤡
NothingSirius's tweet image. Incorrect due to #ScaleInvariance: The sun and moon APPEAR to be roughly the same size in the sky because the measurements are based on #AngularSize! The triangles, circles and fractals below all have equal PROPORTIONS but NOT equal sizes
m.youtube.com/watch?v=9IXR1N…
#AstroNoobie101🤡

Interpretation of Charles Chase response to questions asked by @JustXAshton #ScaleInvariance #FixedGauges

MagnetReconnect's tweet image. Interpretation of Charles Chase response to questions asked by @JustXAshton 
#ScaleInvariance 
#FixedGauges
MagnetReconnect's tweet image. Interpretation of Charles Chase response to questions asked by @JustXAshton 
#ScaleInvariance 
#FixedGauges
MagnetReconnect's tweet image. Interpretation of Charles Chase response to questions asked by @JustXAshton 
#ScaleInvariance 
#FixedGauges
MagnetReconnect's tweet image. Interpretation of Charles Chase response to questions asked by @JustXAshton 
#ScaleInvariance 
#FixedGauges

Charles Chase replied to my email where I asked him some physics questions.🔥 Q: Do you think the Aether is real? A: Yes and I think it has an imprint of previous interactions like a memory. Q: Did the Universe begin with a Big Bang? A: That idea has never felt right to me but…



Cortex exhibits "scale-invariant mirroring" across different temporal scales, from milliseconds to seconds. This suggests robust, underlying dynamics #CorticalDynamics #ScaleInvariance #BrainStates 2/n

neurovium's tweet image. Cortex exhibits "scale-invariant mirroring" across different temporal scales, from milliseconds to seconds. This suggests robust, underlying dynamics
#CorticalDynamics #ScaleInvariance #BrainStates 2/n

We have no idea what these companies do #scaleinvariance #thebubbleisintherealeconomy

The Mag 7 reported YoY earnings growth of 27.7% in Q1, nearly 3x that of the Other 493. via @FactSet

dailychartbook's tweet image. The Mag 7 reported YoY earnings growth of 27.7% in Q1, nearly 3x that of the Other 493.

via @FactSet


And I just realized I missed a, perhaps, once-in-a-lifetime chance to use #scaleinvariance


Fundamental #ScaleInvariance C. Wetterich Institut für Theoretische Physik, Universität Heidelberg, Philosophenweg 16, D-69120 Heidelberg, Germany Received 28 October 2020 scoap3-prod-backend.s3.cern.ch/media/files/59…

MagnetReconnect's tweet image. Fundamental #ScaleInvariance 
C. Wetterich
Institut für Theoretische Physik, Universität Heidelberg, Philosophenweg 16, D-69120 Heidelberg, Germany
Received 28 October 2020

scoap3-prod-backend.s3.cern.ch/media/files/59…

Interpretation of Charles Chase response to questions asked by @JustXAshton #ScaleInvariance #FixedGauges

MagnetReconnect's tweet image. Interpretation of Charles Chase response to questions asked by @JustXAshton 
#ScaleInvariance 
#FixedGauges
MagnetReconnect's tweet image. Interpretation of Charles Chase response to questions asked by @JustXAshton 
#ScaleInvariance 
#FixedGauges
MagnetReconnect's tweet image. Interpretation of Charles Chase response to questions asked by @JustXAshton 
#ScaleInvariance 
#FixedGauges
MagnetReconnect's tweet image. Interpretation of Charles Chase response to questions asked by @JustXAshton 
#ScaleInvariance 
#FixedGauges

Charles Chase replied to my email where I asked him some physics questions.🔥 Q: Do you think the Aether is real? A: Yes and I think it has an imprint of previous interactions like a memory. Q: Did the Universe begin with a Big Bang? A: That idea has never felt right to me but…



Cortex exhibits "scale-invariant mirroring" across different temporal scales, from milliseconds to seconds. This suggests robust, underlying dynamics #CorticalDynamics #ScaleInvariance #BrainStates 2/n

neurovium's tweet image. Cortex exhibits "scale-invariant mirroring" across different temporal scales, from milliseconds to seconds. This suggests robust, underlying dynamics
#CorticalDynamics #ScaleInvariance #BrainStates 2/n

We have no idea what these companies do #scaleinvariance #thebubbleisintherealeconomy

The Mag 7 reported YoY earnings growth of 27.7% in Q1, nearly 3x that of the Other 493. via @FactSet

dailychartbook's tweet image. The Mag 7 reported YoY earnings growth of 27.7% in Q1, nearly 3x that of the Other 493.

via @FactSet


#mdpisymmetry #featurepaper Feature Paper "Action Principle for Scale Invariance and Applications (Part I)" is available at brnw.ch/21wSKsl Authors: Andre Maeder and Vesselin G. Gueorguiev #scaleinvariance #geodesic #cosmology @unige_en


Elegant chaos. An equation that describes everything from your heartbeat to the birth of galaxies. These symbols are the same mathematical patterns that shape both quantum particles and human thought. #MathematicalPatterns #ScaleInvariance #CrossDomainConnections


Drumlin swarm on the beach after strong winds pushed the water farther up the beach. No glaciers here in Tuscany… #ScaleInvariance #DrumlinSwarm #Catastrophism @randallwcarlson @SnkBrs @CosmicTusk

BPOsteopath's tweet image. Drumlin swarm on the beach after strong winds pushed the water farther up the beach. No glaciers here in Tuscany… #ScaleInvariance #DrumlinSwarm #Catastrophism
@randallwcarlson @SnkBrs @CosmicTusk
BPOsteopath's tweet image. Drumlin swarm on the beach after strong winds pushed the water farther up the beach. No glaciers here in Tuscany… #ScaleInvariance #DrumlinSwarm #Catastrophism
@randallwcarlson @SnkBrs @CosmicTusk

Is this the reason why I couldn't find any literature on this way of plotting? Is it connected to Mandelbrot's research? #ScaleInvariance #Mandelbrot nature.com/articles/srep4… x.com/Hendrik__Z/sta…

nature.com

Definition of fractal topography to essential understanding of scale-invariance

Scientific Reports - Definition of fractal topography to essential understanding of scale-invariance

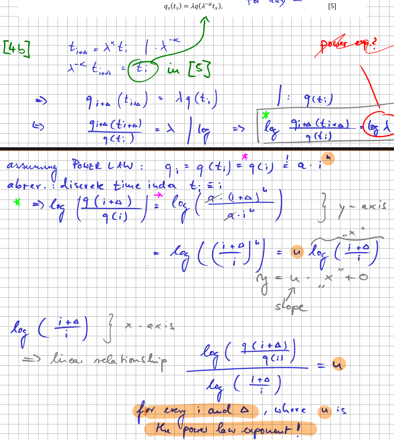
Yesterday I forget something, though. Now I got it - I think... That is a very different approach to determine the power n - you can test it for every scale length!

Hendrik__Z's tweet image. Yesterday I forget something, though. Now I got it - I think... 

That is a very different approach to determine the power n - you can test it for every scale length!


#mdpisymmetry #featurepaper Feature Paper "Action Principle for Scale Invariance and Applications (Part I)" is available at brnw.ch/21wN4xf Authors: Andre Maeder and Vesselin G. Gueorguiev #scaleInvariance #geodesic @UNIGEnews @RoninInstitute @MdpiPhysci


Different approaches suggesting that Kaspa's growth (similar to Bitcoin), is scale-invariant: Fig 1: Test on data with price p and time t Fig 2: Fitting a power law in log-log space showing similar results: offset regression line arbitrary #ScaleInvariance #KASPowerLaw #Kaspa

Hendrik__Z's tweet image. Different approaches suggesting that Kaspa's growth (similar to Bitcoin), is scale-invariant:

Fig 1: Test on data with price p and time t
Fig 2: Fitting a power law in log-log space showing similar results: offset regression line arbitrary

#ScaleInvariance #KASPowerLaw #Kaspa
Hendrik__Z's tweet image. Different approaches suggesting that Kaspa's growth (similar to Bitcoin), is scale-invariant:

Fig 1: Test on data with price p and time t
Fig 2: Fitting a power law in log-log space showing similar results: offset regression line arbitrary

#ScaleInvariance #KASPowerLaw #Kaspa

Even the nation state game theory that we finally are discussing. It’s accounted for in the PL. #scaleinvariance.


#ScaleInvariance #EMH Simple explanation, Gio? 👍🏽 Let's explore as if we were 4th graders and you were our teacher inviting us to question everything. The efficient-market hypothesis (EMH) challenges Bitcoin's power law theory in several key ways. perplexity.ai/search/what-ar…


Yearly also on combo 13 and quarterly poised to register if/when July 1st. #scaleinvariance

Followers of the DeMARK Indicators @DeMARKAnalytics, take note. $NDX has ‘13s’ across time frames, which would be cautionary if they’re confirmed. Track our views: fairleadstrategies.com/trial #fairleadstrategies

StocktonKatie's tweet image. Followers of the DeMARK Indicators @DeMARKAnalytics, take note. $NDX has ‘13s’ across time frames, which would be cautionary if they’re confirmed. Track our views: fairleadstrategies.com/trial #fairleadstrategies
StocktonKatie's tweet image. Followers of the DeMARK Indicators @DeMARKAnalytics, take note. $NDX has ‘13s’ across time frames, which would be cautionary if they’re confirmed. Track our views: fairleadstrategies.com/trial #fairleadstrategies
StocktonKatie's tweet image. Followers of the DeMARK Indicators @DeMARKAnalytics, take note. $NDX has ‘13s’ across time frames, which would be cautionary if they’re confirmed. Track our views: fairleadstrategies.com/trial #fairleadstrategies


📈Top Downloaded Papers in 2021 (mdpi.com/journal/make/a…) 📌No. 5 "On the #ScaleInvariance in State of the Art CNNs Trained on ImageNet†" #Downloads: 3066 #Views: 2916 #Citations: 4 📎mdpi.com/2504-4990/3/2/… #machinelearning #deeplearning #medicalimaging

MAKE_MDPI's tweet image. 📈Top Downloaded Papers in 2021 (mdpi.com/journal/make/a…)

📌No. 5 "On the #ScaleInvariance in State of the Art CNNs Trained on ImageNet†" 
 #Downloads: 3066
 #Views: 2916
 #Citations: 4
 
📎mdpi.com/2504-4990/3/2/…
#machinelearning
#deeplearning
#medicalimaging

Drumlin swarm on the beach after strong winds pushed the water farther up the beach. No glaciers here in Tuscany… #ScaleInvariance #DrumlinSwarm #Catastrophism @randallwcarlson @SnkBrs @CosmicTusk

BPOsteopath's tweet image. Drumlin swarm on the beach after strong winds pushed the water farther up the beach. No glaciers here in Tuscany… #ScaleInvariance #DrumlinSwarm #Catastrophism
@randallwcarlson @SnkBrs @CosmicTusk
BPOsteopath's tweet image. Drumlin swarm on the beach after strong winds pushed the water farther up the beach. No glaciers here in Tuscany… #ScaleInvariance #DrumlinSwarm #Catastrophism
@randallwcarlson @SnkBrs @CosmicTusk

Different approaches suggesting that Kaspa's growth (similar to Bitcoin), is scale-invariant: Fig 1: Test on data with price p and time t Fig 2: Fitting a power law in log-log space showing similar results: offset regression line arbitrary #ScaleInvariance #KASPowerLaw #Kaspa

Hendrik__Z's tweet image. Different approaches suggesting that Kaspa's growth (similar to Bitcoin), is scale-invariant:

Fig 1: Test on data with price p and time t
Fig 2: Fitting a power law in log-log space showing similar results: offset regression line arbitrary

#ScaleInvariance #KASPowerLaw #Kaspa
Hendrik__Z's tweet image. Different approaches suggesting that Kaspa's growth (similar to Bitcoin), is scale-invariant:

Fig 1: Test on data with price p and time t
Fig 2: Fitting a power law in log-log space showing similar results: offset regression line arbitrary

#ScaleInvariance #KASPowerLaw #Kaspa

Interpretation of Charles Chase response to questions asked by @JustXAshton #ScaleInvariance #FixedGauges

MagnetReconnect's tweet image. Interpretation of Charles Chase response to questions asked by @JustXAshton 
#ScaleInvariance 
#FixedGauges
MagnetReconnect's tweet image. Interpretation of Charles Chase response to questions asked by @JustXAshton 
#ScaleInvariance 
#FixedGauges
MagnetReconnect's tweet image. Interpretation of Charles Chase response to questions asked by @JustXAshton 
#ScaleInvariance 
#FixedGauges
MagnetReconnect's tweet image. Interpretation of Charles Chase response to questions asked by @JustXAshton 
#ScaleInvariance 
#FixedGauges

Charles Chase replied to my email where I asked him some physics questions.🔥 Q: Do you think the Aether is real? A: Yes and I think it has an imprint of previous interactions like a memory. Q: Did the Universe begin with a Big Bang? A: That idea has never felt right to me but…



Fundamental #ScaleInvariance C. Wetterich Institut für Theoretische Physik, Universität Heidelberg, Philosophenweg 16, D-69120 Heidelberg, Germany Received 28 October 2020 scoap3-prod-backend.s3.cern.ch/media/files/59…

MagnetReconnect's tweet image. Fundamental #ScaleInvariance 
C. Wetterich
Institut für Theoretische Physik, Universität Heidelberg, Philosophenweg 16, D-69120 Heidelberg, Germany
Received 28 October 2020

scoap3-prod-backend.s3.cern.ch/media/files/59…

Incorrect due to #ScaleInvariance: The sun and moon APPEAR to be roughly the same size in the sky because the measurements are based on #AngularSize! The triangles, circles and fractals below all have equal PROPORTIONS but NOT equal sizes m.youtube.com/watch?v=9IXR1N… #AstroNoobie101🤡

NothingSirius's tweet image. Incorrect due to #ScaleInvariance: The sun and moon APPEAR to be roughly the same size in the sky because the measurements are based on #AngularSize! The triangles, circles and fractals below all have equal PROPORTIONS but NOT equal sizes
m.youtube.com/watch?v=9IXR1N…
#AstroNoobie101🤡
NothingSirius's tweet image. Incorrect due to #ScaleInvariance: The sun and moon APPEAR to be roughly the same size in the sky because the measurements are based on #AngularSize! The triangles, circles and fractals below all have equal PROPORTIONS but NOT equal sizes
m.youtube.com/watch?v=9IXR1N…
#AstroNoobie101🤡
NothingSirius's tweet image. Incorrect due to #ScaleInvariance: The sun and moon APPEAR to be roughly the same size in the sky because the measurements are based on #AngularSize! The triangles, circles and fractals below all have equal PROPORTIONS but NOT equal sizes
m.youtube.com/watch?v=9IXR1N…
#AstroNoobie101🤡
NothingSirius's tweet image. Incorrect due to #ScaleInvariance: The sun and moon APPEAR to be roughly the same size in the sky because the measurements are based on #AngularSize! The triangles, circles and fractals below all have equal PROPORTIONS but NOT equal sizes
m.youtube.com/watch?v=9IXR1N…
#AstroNoobie101🤡

Cortex exhibits "scale-invariant mirroring" across different temporal scales, from milliseconds to seconds. This suggests robust, underlying dynamics #CorticalDynamics #ScaleInvariance #BrainStates 2/n

neurovium's tweet image. Cortex exhibits "scale-invariant mirroring" across different temporal scales, from milliseconds to seconds. This suggests robust, underlying dynamics
#CorticalDynamics #ScaleInvariance #BrainStates 2/n

#mdpiuniverse Welcome to read the article edited by Dr. Damianos Iosifidis and Dr. Tomi Koivisto: Scale Transformations in Metric-Affine Geometry mdpi.com/2218-1997/5/3/… #scaleinvariance #Palatiniformalism #metricaffinegaugetheoryofgravity

Universe_MDPI's tweet image. #mdpiuniverse Welcome to read the article edited by Dr. Damianos Iosifidis and Dr. Tomi Koivisto: Scale Transformations in Metric-Affine Geometry
mdpi.com/2218-1997/5/3/…
#scaleinvariance #Palatiniformalism #metricaffinegaugetheoryofgravity

#HighlyCitedPaper Emergent #ScaleInvariance and #ClimateSensitivity by Martin Rypdal, Hege-Beate Fredriksen, Eirik Myrvoll-Nilsen, Kristoffer Rypdal and Sigrunn H. Sørbye mdpi.com/2225-1154/6/4/…

climate_MDPI's tweet image. #HighlyCitedPaper
Emergent #ScaleInvariance and #ClimateSensitivity

by Martin Rypdal, Hege-Beate Fredriksen, Eirik Myrvoll-Nilsen, Kristoffer Rypdal and Sigrunn H. Sørbye 
mdpi.com/2225-1154/6/4/…

📈Top Downloaded Papers in 2021 (mdpi.com/journal/make/a…) 📌No. 5 "On the #ScaleInvariance in State of the Art CNNs Trained on ImageNet†" #Downloads: 3066 #Views: 2916 #Citations: 4 📎mdpi.com/2504-4990/3/2/… #machinelearning #deeplearning #medicalimaging

MAKE_MDPI's tweet image. 📈Top Downloaded Papers in 2021 (mdpi.com/journal/make/a…)

📌No. 5 "On the #ScaleInvariance in State of the Art CNNs Trained on ImageNet†" 
 #Downloads: 3066
 #Views: 2916
 #Citations: 4
 
📎mdpi.com/2504-4990/3/2/…
#machinelearning
#deeplearning
#medicalimaging

Loading...

Something went wrong.


Something went wrong.


United States Trends