#combinators résultats de recherche
When and in what papers #combinators were introduced (AFAICT). It is clear that the missing Golden Eagle combinator should be E' (due to the symmetry with S and S'). What to call the combinator equivalents of the missing Violet-Backed Starling and the Zebra Dove? #BQN #APL

APL is an array language, but the true power of APL is that it is also a combinator language #combinators #combinatorylogic #birds #apl

Arrived in the mail today. Looking forward to finding time in 2021 to read🙂 Will be giving a talk called "Discovering Combinators" at some point #combinators #schonfinkel

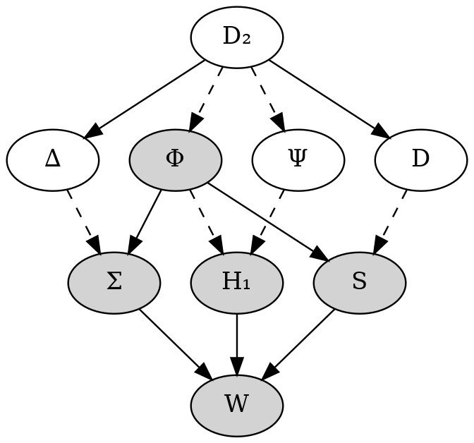
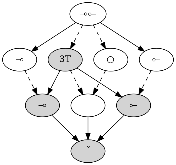
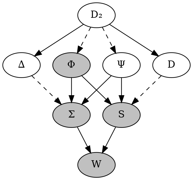
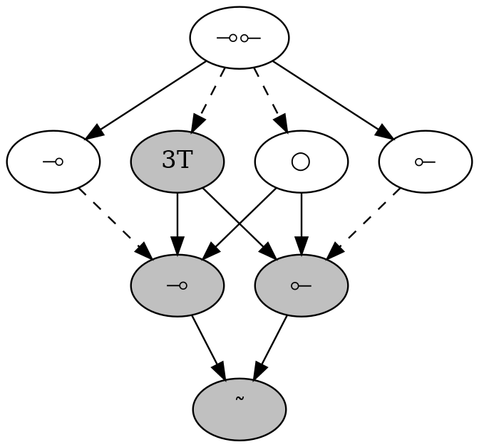
The relationship between the D2, D, S', S and W #combinators and how they exist in #APL, #BQN and J.

I am not sure what I am more in love with: APL or Combinatory Logic. The below snippet uses the B, B1, C, E, Ê, K and S' combinators. I love Combinatory Logic so much ❤️ #combinators #apl

Want to built thicker richer patches in #Reason? Combine your #combinators! knobtheory.com/kd5-combining-…

For a second, I thought @simonpj0 had already implemented CEAF (Combinator-Enabled Algorithm Fusion) but alas the graph reduction he refers to is not that (it is reducing a program down to the S, K & I #combinators)

BQN is awesome 🔥 ˜ - W combinator ∘ - B combinator ○ - Psi combinator And the below expression is also an S' combinator. Combining the Psi combinator with the finally applied binary function (in this case replicate /) is a very powerful pattern. #combinators #bqn

And for maybe my most amazing combinator discovery to date, std::inner_product is the Blackbird 🤯 (which is what I was looking for when I stumbled across the Phoenix) #combinators #cpp #algorithms

Knowledge Drop 5: Combining @PropellerheadSW #Combinators sound design tutorial + Free DL knobtheory.com/kd5-combining-…

The opening two paragraphs of John Backus' 1977 #TuringAward Lecture start by talking about "powerful combining forms" and how the "functional style of programming is founded on the use of combining forms" 🔥 Combining forms (loosely) being another name for ... #combinators! 1/2

#Selectors #Grouping #Combinators #Attributes #CSS My reward for a hard days work! @NewBelgium @GeorgeBThomas

I just discovered that "atop" (⍤) is both the BLUEBIRD and the BLACKBIRD!!!!! Honestly, APL is so beautiful. I am freaking out right now!!! Both the BLUEBIRD and the BLACKBIRD???? Come on ... 🔥🔥🔥🔥🔥 #APL #combinators #bluebird #blackbird

This week I'm getting back to #FP 🙇♂️😎. I am working on #Parsers #Combinators and before I write about that I want to give a quick refresher on what #functor #applicative and #monad are: in #SwiftLang #iOS . Real short one. kandelvijaya.com/2018/03/25/fun…

The beauty of #combinators (fixed) ... left: Combinatory Logic right: BQN


Everything you need to know about function composition and combinators is here!! You can now watch Conor Hoekstra's (@code_report) talk "he Power of Function Composition". #LambdaWorld2024 #FunctionComposition #Combinators youtu.be/W7fjzdEJnvY
youtube.com
YouTube
Lambda World 2024 - The Power of Function Composition - Conor Hoekstra
@code_report Common #combinators have bird names, including "Mirror" x F⸚G y being (y G x) F (x G y) in TinyAPL (tinyapl.rubenverg.com/info/combinato…) as P "Parrot", except APL's "Over" x F⍥G y being (G x) F (G y), i.e. Ψ (psi). I propose calling it "Psittacula" (little parrot).

New research on the Theory of Concatenative Combinators sheds light on their potential applications in computer science and programming languages. #Combinators #ComputerScience ift.tt/8Q3gO4I
"Just discovered MicroHs, a functional language implemented with combinators on GitHub. Finally, a language that makes Haskell look like child's play! #programming #functional #combinators" github.com/augustss/Micro…
#Combinators in #Reason12 are pretty awesome. Hoping for even more UI options (like meters) in #Reason13!

Day 2: #Combinators The are the combination of two or more selectors to target element(s). Thread 🧵⬇️ #20DayCSSChallenge #CSS

Parser Combinators in Haskell Read full article - knowasiak.com/?p=923179&utm_… Join Knowasiak for free- knowasiak.com/register/ #Combinators #Parser #NewsandPolitics

Been playing around with function #combinators and basic algorithms on collections in #Golang (fold, map, etc.) If anybody knows a library that is already doing that please do let me know #functionalprogramming #fp #gist gist.github.com/wg-romank/1845…

The beauty of #combinators (fixed) ... left: Combinatory Logic right: BQN


The array programming language APL has an unusual approach to function composition - here's my attempt to explain what's cool about it without requiring any APL knowledge. #apl #combinators github.com/andycraig/apl-…
Combinators in Rust #rustlang #combinators lnkd.in/dGZumwyj
When and in what papers #combinators were introduced (AFAICT). It is clear that the missing Golden Eagle combinator should be E' (due to the symmetry with S and S'). What to call the combinator equivalents of the missing Violet-Backed Starling and the Zebra Dove? #BQN #APL

The opening two paragraphs of John Backus' 1977 #TuringAward Lecture start by talking about "powerful combining forms" and how the "functional style of programming is founded on the use of combining forms" 🔥 Combining forms (loosely) being another name for ... #combinators! 1/2

Yea, Over (the Psi combinator) is awesome 🔥 Sibling to atop (the B1 combinator) and specialization of the fork (the S' combinator) #combinatorylogic #combinators
The relationship between the D2, D, S', S and W #combinators and how they exist in #APL, #BQN and J.

#Combinators in #Reason12 are pretty awesome. Hoping for even more UI options (like meters) in #Reason13!

In CSS, using selectors to apply styles is essential. However, sometimes you need to use more than one simple selector at a time. In that case you have to use #combinators. Combining selectors allows you to define more detailed styles for your web page. #WebDev @Uniandes

#Selectors #Grouping #Combinators #Attributes #CSS My reward for a hard days work! @NewBelgium @GeorgeBThomas

@knobtheory just posted a killer custom #808 Kick Bass tutorial + free DL w/ with 44 WAVs and 5 #combinators knobtheory.com/knowledge-drop…


The relationship between the D2, D, S', S and W #combinators and how they exist in #APL, #BQN and J.

APL is an array language, but the true power of APL is that it is also a combinator language #combinators #combinatorylogic #birds #apl

When and in what papers #combinators were introduced (AFAICT). It is clear that the missing Golden Eagle combinator should be E' (due to the symmetry with S and S'). What to call the combinator equivalents of the missing Violet-Backed Starling and the Zebra Dove? #BQN #APL

Want to built thicker richer patches in #Reason? Combine your #combinators! knobtheory.com/kd5-combining-…

Day 2: #Combinators The are the combination of two or more selectors to target element(s). Thread 🧵⬇️ #20DayCSSChallenge #CSS

Knowledge Drop 5: Combining @PropellerheadSW #Combinators sound design tutorial + Free DL knobtheory.com/kd5-combining-…

Arrived in the mail today. Looking forward to finding time in 2021 to read🙂 Will be giving a talk called "Discovering Combinators" at some point #combinators #schonfinkel

@raganwald in #combinators there is an encoding problem with Moses Schönfinkel’s name, both in ePub and PDF versions.


RT @Rosenchild: RT @Rosenchild: 📘 #Lambda #Calculus and #Combinators ~ An Introduction 2nd Edition 🖥️ amazon.com/Lambda-Calculu… @HubBucket @HubBucketENG @HubBucketSYS @HubCentral_SI #DataScience #DataScientist #Analytics #MachineLearning #DeepLearning …
FRESH:SkillsCast (film/code/slide) of #HaskellX talk by Thomas van Binsbergen on #combinators for #parsing: buff.ly/2d5NsVv #haskell


For a second, I thought @simonpj0 had already implemented CEAF (Combinator-Enabled Algorithm Fusion) but alas the graph reduction he refers to is not that (it is reducing a program down to the S, K & I #combinators)

Something went wrong.
Something went wrong.
United States Trends
- 1. Wemby 62.6K posts
- 2. Clippers 10.9K posts
- 3. Spurs 43.6K posts
- 4. Cooper Flagg 12.8K posts
- 5. Mavs 16.7K posts
- 6. #QueenRadio 15.6K posts
- 7. Maxey 10.7K posts
- 8. Sixers 23.7K posts
- 9. Embiid 13.8K posts
- 10. VJ Edgecombe 24K posts
- 11. #AEWDynamite 23.6K posts
- 12. Victor Wembanyama 15.9K posts
- 13. Knicks 34.5K posts
- 14. Anthony Davis 5,175 posts
- 15. Jazz 23.4K posts
- 16. Klay 7,782 posts
- 17. Bulls 24.7K posts
- 18. Pistons 6,874 posts
- 19. Celtics 26K posts
- 20. #PorVida 2,416 posts