#compositefunctions 검색 결과
Who says you can’t give up the pen in Math 30-1? Some of the best learning I’ve seen them do! Excited to continue this throughout the semester @pgliljedahl @BurdessAlicia @JessieLShirley #mathletes #compositefunctions


🚨🚨When your ECS teacher is content STRONG and loves Advanced Algebra…Whoohoo!!!🙌🏾💪🏾🔥Coach Godfrey not only thrives on the football field but also in the classroom!! Great job!!👏🏾👏🏾🏆#competitiveadvantage #GCF #compositefunctions #fortheloveofmath❤️💙




Hey everyone, I'd be happy to make a video on composite functions for maths. If you want me demystify this topic, let me know #ALevelMaths #GCSEMaths #CompositeFunctions

When one function jumps inside another... it’s a composite kinda day. 🔁🧠 Think you got it? Drop your answer in the comments and tag a friend who needs to brush up on Algebra 2! #MathGuySteve #CompositeFunctions #Algebra2 #SATPrep #MathChallenge #BackToSchool #MathisEverywhere


#precalc #yesitwillbeonyournexttest #compositefunctions #fogandgof #frankandgertrude #pizza #mathhumor #juicymathematicalmemes instagram.com/p/BoxRuPCgIEc/…
#compositefunctions #fogandgof #frankandgertrude #chainruletodifferentiate #halloween #mathhumor instagram.com/p/B4RCGwNnFsB/…
Happy Halloween 🎃 #compositefunctions #mathmemes #mathematics #mathhumor #halloween instagram.com/p/CVsWZEErT5c/…
🔓 Crossplane composite functions are GA! ⚙️ Now you can create more powerful 💪 and complex 🧠 automation 🤖 workflows. youtu.be/jjtpEhvwgMw #Crossplane #compositefunctions #automation #DevOps #Kubernetes
youtube.com
YouTube
Crossplane Composition Functions: Unleashing the Full Potential
Math gets worst trust me!!!!!!!!!!!!!! #trigratios #compositefunctions
Ang saya pag nagegets mo yung lesson HAHAHAHA 😅😅😅😂💕 #CompositeFunctions 😁
Let's start the list of what I'm gonna do bad on on my PreCalc exam, #CompositeFunctions
When one function jumps inside another... it’s a composite kinda day. 🔁🧠 Think you got it? Drop your answer in the comments and tag a friend who needs to brush up on Algebra 2! #MathGuySteve #CompositeFunctions #Algebra2 #SATPrep #MathChallenge #BackToSchool #MathisEverywhere
Composite Functions #CompositeFunctions #CompositionOfFunctions #Functions #Algebra #AlgebraProblem #nishaetutor #MathsOnlineTutor #MathShorts youtube.com/shorts/HLMCMId…
youtube.com
YouTube
#CompositeFunctions #Function #Composition #SATAlgebra #SATMath...
Hey everyone, I'd be happy to make a video on composite functions for maths. If you want me demystify this topic, let me know #ALevelMaths #GCSEMaths #CompositeFunctions

🔓 Crossplane composite functions are GA! ⚙️ Now you can create more powerful 💪 and complex 🧠 automation 🤖 workflows. youtu.be/jjtpEhvwgMw #Crossplane #compositefunctions #automation #DevOps #Kubernetes
youtube.com
YouTube
Crossplane Composition Functions: Unleashing the Full Potential

🚨🚨When your ECS teacher is content STRONG and loves Advanced Algebra…Whoohoo!!!🙌🏾💪🏾🔥Coach Godfrey not only thrives on the football field but also in the classroom!! Great job!!👏🏾👏🏾🏆#competitiveadvantage #GCF #compositefunctions #fortheloveofmath❤️💙



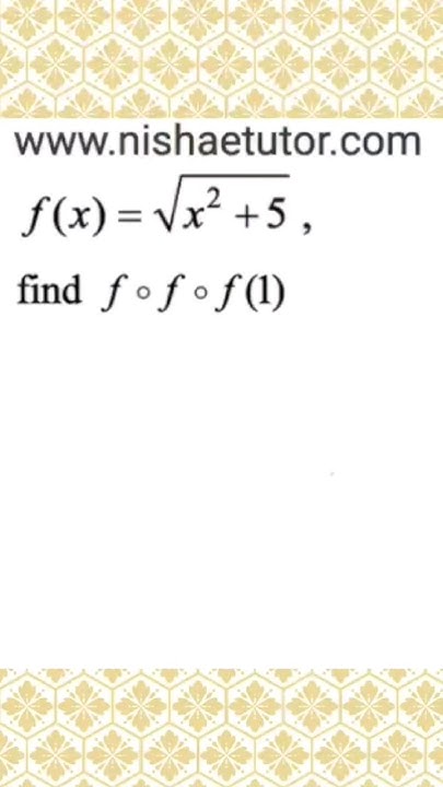
A Composition of Three Functions #CompositeFunctions #CompositionOfFunctions #ACompositionOfFunctions #nisha_thakur #nishaetutor #tutoring #precalculus lnkd.in/dMTBm2ZE
Check out this video on how to 𝐒𝐮𝐛𝐬𝐭𝐢𝐭𝐮𝐭𝐞 with 𝐂𝐨𝐦𝐩𝐨𝐬𝐢𝐭𝐞 𝐅𝐮𝐧𝐜𝐭𝐢𝐨𝐧𝐬 youtube.com/watch?v=PvcebI… Photo in Presentation: 𝐊𝐫𝐢𝐬-𝐌𝐢𝐤𝐚𝐞𝐥 𝐊𝐫𝐢𝐬𝐭𝐞𝐫 #mathisthewaycorner #thereisalwaystomorrow #compositefunctions #substitution #functions
Check out this video on how 𝐅𝐢𝐧𝐝 𝐭𝐡𝐞 𝐃𝐨𝐦𝐚𝐢𝐧 𝐨𝐟 𝐂𝐨𝐦𝐩𝐨𝐬𝐢𝐭𝐞 𝐅𝐢𝐠𝐮𝐫𝐞𝐬 youtube.com/watch?v=WhzaaA… Photo in Presentation: 𝐑𝐚𝐧𝐝𝐚𝐥𝐥 𝐑𝐮𝐢𝐳 #mathisthewaycorner #thereisalwaystomorrow #compositefunctions #domain
OpenStax College Algebra, Chapter 3 Review Exercises Problem 42 youtu.be/0nAbxVa7z_8 via @YouTube #compositeFunctions #openstax
OpenStax College Algebra, Chapter 3 Review Exercises Problem 40 youtu.be/ZsxHlgOE82s via @YouTube #compositeFunctions #openstax
youtube.com
YouTube
OpenStax College Algebra, Chapter 3 Review Exercises Problem 40
OpenStax College Algebra, Chapter 3 Review Exercises Problem 38 youtu.be/wH6futdaScM via @YouTube #compositeFunctions #openstax
youtube.com
YouTube
OpenStax College Algebra, Chapter 3 Review Exercises Problem 38
Happy Halloween 🎃 #compositefunctions #mathmemes #mathematics #mathhumor #halloween instagram.com/p/CVsWZEErT5c/…
Taga sagot muna ng assignment ngayon. Soon sariling assignment or activity ko na ang gagawin ko. 😅 #CompositeFunctions #MathProblems
Higher People!!! Day 2 of #CompositeFunctions! 🥳 Here's the lesson: youtube.com/watch?v=p6Ph87… Thanks for the emails yesterday. Keep 'em coming! 🙃 Remember to read the message on #Teams Enjoy!!! #HigherMaths
youtube.com
YouTube
3.3 Functions 3. Composite Functions - Higher Maths Lessons -...

Who says you can’t give up the pen in Math 30-1? Some of the best learning I’ve seen them do! Excited to continue this throughout the semester @pgliljedahl @BurdessAlicia @JessieLShirley #mathletes #compositefunctions


🚨🚨When your ECS teacher is content STRONG and loves Advanced Algebra…Whoohoo!!!🙌🏾💪🏾🔥Coach Godfrey not only thrives on the football field but also in the classroom!! Great job!!👏🏾👏🏾🏆#competitiveadvantage #GCF #compositefunctions #fortheloveofmath❤️💙



Hey everyone, I'd be happy to make a video on composite functions for maths. If you want me demystify this topic, let me know #ALevelMaths #GCSEMaths #CompositeFunctions



Something went wrong.
Something went wrong.
United States Trends
- 1. Rickey 2,014 posts
- 2. Westbrook 14.3K posts
- 3. Kings 145K posts
- 4. Waddle 2,703 posts
- 5. Big Balls 17K posts
- 6. Maybe in California N/A
- 7. Gold Glove 7,186 posts
- 8. Jakobi Meyers 1,032 posts
- 9. Voting Rights Act 20.7K posts
- 10. #TrumpsShutdownDragsOn 2,826 posts
- 11. Olave 2,289 posts
- 12. Justice Jackson 11.2K posts
- 13. Veo 3.1 4,145 posts
- 14. Bessent 76.3K posts
- 15. #wednesdaymotivation 9,211 posts
- 16. Summer Walker 5,064 posts
- 17. Jay Jones 67.8K posts
- 18. Jared Leto 8,798 posts
- 19. Achane 1,457 posts
- 20. Lavine 1,066 posts