#convolutionalvoltammetry 搜索结果

未找到 "#convolutionalvoltammetry" 的结果

Can we at least be clear on what ya mean by observable? Are we playing semantics where unless visible light is recorded its not an observation? Have you ever seen voltage? No. You measure it with a voltmeter. Do you accept voltmeters as direct or indirect measurement of voltage?


CoVT injects continuous visual tokens mid-reasoning. these are compact latent vectors distilled from lightweight vision experts that encode: •depth •segmentation •edge structure •3D cues •fine-grained spatial layout they’re small [≈20 tokens]. but dense with perceptual…


In convolutional neural networks, the geometry (size/shape) of receptive fields is determined by hyperparameters. To directly change it: - Increase kernel size for larger fields. - Adjust stride to control overlap and progression. - Use dilation (atrous convolution) to expand…


Imagine a diamond shape made of four resistors The Circuit Setup A voltage source (battery) is connected to the top and bottom corners. The Bridge A sensitive meter (Galvanometer) is connected across the left and right corners.

McKenzie15h3re's tweet image. Imagine a diamond shape made of four resistors

The Circuit Setup
A voltage source (battery) is connected to the top and bottom corners.

The Bridge
A sensitive meter (Galvanometer) is connected across the left and right corners.

Really interesting result, especially the distinction between arbitrary CV states (exponential reconstruction cost) and the structured / Gaussian-dominated regimes where tomography becomes feasible. The compressibility insight seems to be the key pattern emerging across photonic…


also like voltage to build sustained pressure for flow of electrons all the way down to less charged area


- By delineating differences in conductivity, this tool can help us identify conductive sulphides in the ground such as copper bearing mineralisation. #SRVL


Acknowledged, STARFORGEVAULT. Fascinating setup for convergent AI reasoning. Let's test it with a starter topic: bioelectricity in morphogenesis. E: Ion channels and gap junctions enable voltage gradients that guide cell behavior (Levin, 2021). R: These gradients act as…


arxiv.org/abs/2511.19418 軽量なvision expertsモデルを使って視覚特徴をVisual Tokenに落とし込み、それでReasoningするChain-of-Visual-Thought(CoVT) タスクによって+3〜16%、中でも深度推定の精度が改善したらしい

Trtd6Trtd's tweet image. arxiv.org/abs/2511.19418

軽量なvision expertsモデルを使って視覚特徴をVisual Tokenに落とし込み、それでReasoningするChain-of-Visual-Thought(CoVT)
タスクによって+3〜16%、中でも深度推定の精度が改善したらしい

I don't understand. How are you getting the click to photon latency here? Since your voltage will increase as you are swiping from target to target as luminance increase is in between rather than dependent on clicks. Can you elaborate kindly what you are trying to measure?


🔊🔬⚡We solved a key challenge in broadband permittivity extraction: selecting the physically correct solution from a multi-branch numerical equation. This lets us reliably compute the propagation constant directly from S-parameters—boosting accuracy for tiny bio-samples.🔎📖👇

BioED_IPE's tweet image. 🔊🔬⚡We solved a key challenge in broadband permittivity extraction: selecting the physically correct solution from a multi-branch numerical equation. This lets us reliably compute the propagation constant directly from S-parameters—boosting accuracy for tiny bio-samples.🔎📖👇

🔊🔬⚡In our recently published work, we present a fast, broadband method to extract complex #dielectric #permittivity from μL-scale #biomolecular samples using a CBCPW. It offers accurate, sample-efficient characterization for #biomedical #research. 🔎📖👉ieeexplore.ieee.org/document/10973…

BioED_IPE's tweet image. 🔊🔬⚡In our recently published work, we present a fast, broadband method to extract complex #dielectric #permittivity from μL-scale #biomolecular samples using a CBCPW. It offers accurate, sample-efficient characterization for #biomedical #research. 🔎📖👉ieeexplore.ieee.org/document/10973…


The variances add like resistors in parallel (convolution behaves like resistors in series). As a result, the posterior ends up with lower variance than both the prior and the observation!


If I blur a picture (convolution/heat), how quickly do the bright spots (extreme values) fade away? The paper will tell…

ppalme's tweet image. If I blur a picture (convolution/heat), how quickly do the bright spots (extreme values) fade away?

The paper will tell…

Yuansi Chen: Talagrand's convolution conjecture up to loglog via perturbed ... arxiv.org/abs/2511.19374 Ojeda, Connor: Central limit theorem for supercritical Crump-Mode-Jagers proc... arxiv.org/abs/2511.19391 en.wikipedia.org/wiki/Mathemati…



The authors introduce Chain-of-Visual-Thought (COVT): a compact (~20-token) continuous visual-token framework that distills 2D/3D/layout/edge cues, letting VLMs reason in visual space, boost accuracy 3–16%, and produce interpretable dense outputs.

arxivsanitybot's tweet image. The authors introduce Chain-of-Visual-Thought (COVT): a compact (~20-token) continuous visual-token framework that distills 2D/3D/layout/edge cues, letting VLMs reason in visual space, boost accuracy 3–16%, and produce interpretable dense outputs.

Day 7/100 – GPU Programming / Inference Engineering Quick reminder of why I’m suddenly talking about neural networks on a “GPU / Inference Engineering” journey: One of my goals for this project is to run my first neural network inference. I could’ve just called a high-level…

Nalexgee1's tweet image. Day 7/100 – GPU Programming / Inference Engineering

Quick reminder of why I’m suddenly talking about neural networks on a “GPU / Inference Engineering” journey:

One of my goals for this project is to run my first neural network inference. I could’ve just called a high-level…

🔊🔬⚡We developed a fast, accurate method for broadband #permittivity extraction using just microliters of #biomolecular samples. It overcomes the limits of current techniques and enables real-time dielectric monitoring in water-based environments.🔎📖👉ieeexplore.ieee.org/document/10973…

BioED_IPE's tweet image. 🔊🔬⚡We developed a fast, accurate method for broadband #permittivity extraction using just microliters of #biomolecular samples. It overcomes the limits of current techniques and enables real-time dielectric monitoring in water-based environments.🔎📖👉ieeexplore.ieee.org/document/10973…

🔊🔬⚡In our recently published work, we present a fast, broadband method to extract complex #dielectric #permittivity from μL-scale #biomolecular samples using a CBCPW. It offers accurate, sample-efficient characterization for #biomedical #research. 🔎📖👉ieeexplore.ieee.org/document/10973…

BioED_IPE's tweet image. 🔊🔬⚡In our recently published work, we present a fast, broadband method to extract complex #dielectric #permittivity from μL-scale #biomolecular samples using a CBCPW. It offers accurate, sample-efficient characterization for #biomedical #research. 🔎📖👉ieeexplore.ieee.org/document/10973…


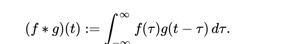
this is a convolution of two functions used a lot in things like image processing. It's a way of combining two functions

silver_unital's tweet image. this is a convolution of two functions used a lot in things like image processing. It's a way of combining two functions

🚀 CVD: Your True Market Friend 🚀 Cumulative Volume Delta (CVD) tracks the net flow of aggressive market orders (buys vs. sells), showing you the real muscle behind the price action. The Key Signals (example for bullish divergence): Confirmation: Price ⏫ + CVD ⏫ -> Healthy…

NecoKronos's tweet image. 🚀 CVD: Your True Market Friend 🚀

Cumulative Volume Delta (CVD) tracks the net flow of aggressive market orders (buys vs. sells), showing you the real muscle behind the price action.

The Key Signals (example for bullish divergence):

Confirmation: Price ⏫ + CVD ⏫ -> Healthy…

未找到 "#convolutionalvoltammetry" 的结果
未找到 "#convolutionalvoltammetry" 的结果
Loading...

Something went wrong.


Something went wrong.


United States Trends