#datatracking 搜尋結果
You’re Being Tracked More Than You Think - This isn’t the future...it’s happening now. Catch more daily truth bombs on The Michelle Moore Show! Watch here: youtube.com/@SheShedTruther Visit: michellemooreshow.com #MichelleMooreShow #privacy #DataTracking #Freedom
Navigating tax policy changes doesn't have to be stressful! 📊 💼 Discover how data tracking can simplify your understanding and empower you to make informed financial decisions. Learn more: 🔗 lovetheidea.co.uk/harnessing-dat… #TaxPolicy #DataTracking

Your attribution is broken. iOS 14.5 killed perfect tracking. Now you need: UTM parameters First-party data Customer surveys Cohort analysis Multiple data sources = clearer picture. #Attribution #iOS14 #DataTracking #FirstPartyData #Analytics #Measurement #Privacy #CustomerData
📉 Struggling to set up your tracking and dashboards? Don’t have the time or know-how? Let SegMetrics do the heavy lifting! ⏳💼 👉 Skip the setup and get clear, actionable data insights—fast! segmetrics.io/services/ #DataTracking #LeadAttribution #AnalyticsMadeEasy #SegMetrics

Proper tracking is crucial for Facebook advertising. Without it, you can't make informed decisions or optimize campaigns. Third-party tracking tools are accurate and help your Facebook pixel learn faster. #advertisingtips #mediabuyers #datatracking
This was announced last month when it began to rollout. I will cover this in an upcoming stream. #datatracking #privacy #security #google #android

A jury has ordered Google to pay $425 million in a class-action lawsuit for allegedly continuing to track users' app activity despite them opting out. #Google #PrivacyLawsuit #DataTracking #ClassAction #TechNews securityonline.info/jury-rules-aga…
securityonline.info
Jury Rules Against Google in $425M Privacy Lawsuit
A jury has ordered Google to pay $425 million in a class-action lawsuit for allegedly continuing to track users' app activity despite them opting out.
Unlocking the Power of Tracking: How It Benefits You and Your Business #DataTracking #BusinessInsights #AccidentInvestigation #TrackingTechnology #DataAnalysis #CaseSolutions #SafetyFirst #DataDriven #BusinessGrowth #InsightfulAnalytics
The Impact of Prolonged Exposure to Online Content | Investigating Behavioral Issues #OnlineContentExposure #BehavioralInvestigation #DataTracking #PrivacyImplications #LegalInsights #YouthProtection #OnlineResponsibility #ContentImpact #DigitalAge #PrivacyConcerns
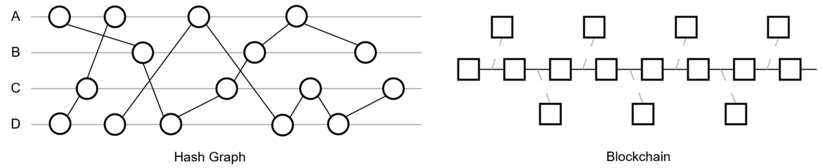
#DataTracking in #Blockchain Utilizing Hash Chain: A Study of Structured and Adaptive Process ✏️ Sungbeen Kim and Dohoon Kim 🔗 brnw.ch/21wVY6y Viewed: 4758; Cited: 7 #mdpisymmetry @ComSciMath_Mdpi

📊 Real-time Data Tracking! Watch ONE MMA Champion 🥇 Stamp Fairtex use real-time App data to optimize, evaluate, and track her flywheel training! 🎯 📍 Track. Optimize. Out-Perform. 👉 exxentric.com/how-it-works/a… 🔗 #DataTracking #StrengthAndConditioning #FlywheelTraining
Tell me #assessment and #datatracking can’t be low prep or done everyday and I’ll tell you that’s a lie. After 4 months of risk-taking and trial and error, these 9th grade math teachers are collecting, analyzing, and tracking student work. This is data-driven instruction.


Recent data collection results highlighting further improvement in surface firmness, smoothness, moisture management, infiltration & root depth. If you can measure it 📏 you can manage it and make informed decision 🤓 #datatracking @MonmouthshireGC @RegenAmenity @RJNorvilleGolf
Did you know? Smart TVs with ACR tech can capture snapshots every 10 milliseconds, tracking your viewing habits even when not using streaming apps. Your TV might be watching you! 📺👀 #Privacy #DataTracking #Surveillance #ConsumerAwareness #TechTrivia

The Importance of Data Tracking for Startup Marketing Success #DataTracking #StartupMarketing #MarketingSuccess #DataInfrastructure #GoalsandMetrics #StartupGrowth #MarketingStrategy #DataAnalytics #MarketingMetrics #StartupSuccess
🚨X Thread: The Hidden World of Micro-Interactions on Social Media 🕵️♂️ Are all your activities being tracked? #SocialMediaSecrets, #PrivacyMatters, #DataTracking, #TechAwareness

Tailor your ads for conversions. It starts with tracking your website data the RIGHT way! 🎥 See our latest video to learn how to turn insights into sales. Watch: bit.ly/3Epu84G Listen: bit.ly/3Eq3E2Z #eCommerce #AdConversions #DataTracking #MarketingTips
⚙️ Did you know? DataOps tracks data from origin to destination, making it easy to trace issues and understand data sources! 🔍 #DataTracking #Traceability #DataOps
Navigating tax policy changes doesn't have to be stressful! 📊 💼 Discover how data tracking can simplify your understanding and empower you to make informed financial decisions. Learn more: 🔗 lovetheidea.co.uk/harnessing-dat… #TaxPolicy #DataTracking

📉 Struggling to set up your tracking and dashboards? Don’t have the time or know-how? Let SegMetrics do the heavy lifting! ⏳💼 👉 Skip the setup and get clear, actionable data insights—fast! segmetrics.io/services/ #DataTracking #LeadAttribution #AnalyticsMadeEasy #SegMetrics

This was announced last month when it began to rollout. I will cover this in an upcoming stream. #datatracking #privacy #security #google #android

Stryker to unveil new #JointReplacement technologies and updates to #Mako surgical robotic platform at the American Academy of Orthopaedic Surgeons meeting in San Francisco. ormanager.com/briefs/stryker… #DataTracking #Robotics #SurgicalTechnology

Unlock the full potential of your marketing strategy with Magic Pixel's event data tracking. Elevate your game and discover hidden growth opportunities today! 🚀 #Marketing #DataTracking #MagicPixel

How many of you track these numbers and how often do you review these numbers? 🔢🗒️ Let us know in the comments!! ⬇️ #DataTracking #AnalyticsReview #MetricsMatters

From your search habits to your location, data tracking is everywhere. Learn how to take control of your privacy in a world where your online actions are the product. 🌐💻 #DigitalPrivacy #DataTracking #StaySecure #PrivacyMatters




🆕 Introducing our new Identify event! Connect identity provider IDs with Prepr customer profiles for consistent data tracking when users log in. Simple code snippet, better insights, cleaner integration. 🤝 #UserIdentity #DataTracking #CustomerInsights #Prepr #DataAnalytics

🚨X Thread: The Hidden World of Micro-Interactions on Social Media 🕵️♂️ Are all your activities being tracked? #SocialMediaSecrets, #PrivacyMatters, #DataTracking, #TechAwareness

We love hearing positive feedback from schools using Traciwr! #welshcurriculum #datatracking #trackingtool

#DataTracking in #Blockchain Utilizing Hash Chain: A Study of Structured and Adaptive Process ✏️ Sungbeen Kim and Dohoon Kim 🔗 brnw.ch/21wVY6y Viewed: 4758; Cited: 7 #mdpisymmetry @ComSciMath_Mdpi

The new RudderStack and Courier integration is here! Read now to learn how to gain a clearer picture of your users to improve your communication strategy! bit.ly/3KYLbvP #datatracking #analytics

📢 Are you currently using Google's Universal Analytics to track your website data? ⏰ There are only 61 days left until Universal Analytics is gone forever. 😱 #UniversalAnalytics #GoogleAnalytics #DataTracking #WebsiteAnalytics #ExportData #GA4Migration

Engagement rates are important to understand, but there are plenty of issues when it comes to trying to track them. Learn more: rootnote.co/the-problem-wi… #engagementrates #problemsolving #datatracking #dataanalytics #insights #RootNote #socialmedia #socialmediainsights

📣 FREE WEBINAR 📣 💡 Discussing practical ideas and strategies for setting up effective assessment models that align with the new Welsh Curriculum. 📈 Tracking student progress to ensure that learners are meeting the required standards. #curriculumforwales #datatracking ⬇️⬇️⬇️

A brilliant case study from one of our Traciwr customers, Gwyn Pleming - Headteacher at Ysgol Gynradd Llanfairpwll School. Follow in Gwyns footsteps and join the Traciwr community to help you track and monitor your pupils progress in the welsh curriculum. #datatracking #wales


Tell me #assessment and #datatracking can’t be low prep or done everyday and I’ll tell you that’s a lie. After 4 months of risk-taking and trial and error, these 9th grade math teachers are collecting, analyzing, and tracking student work. This is data-driven instruction.


Something went wrong.
Something went wrong.
United States Trends
- 1. Columbus 91.9K posts
- 2. #WWERaw 40.7K posts
- 3. $BURU N/A
- 4. #IndigenousPeoplesDay 5,148 posts
- 5. #IDontWantToOverreactBUT 1,042 posts
- 6. Seth 36.6K posts
- 7. Middle East 183K posts
- 8. #SwiftDay 9,440 posts
- 9. Marc 40.2K posts
- 10. Thanksgiving 47.4K posts
- 11. The Vision 90.8K posts
- 12. Knesset 145K posts
- 13. Flip 50.3K posts
- 14. #MondayMotivation 14.4K posts
- 15. Egypt 185K posts
- 16. Bronson 7,554 posts
- 17. Victory Monday 2,573 posts
- 18. Bron Breakker 6,501 posts
- 19. Good Monday 44.9K posts
- 20. Happy 250th 3,415 posts