#gaminganalytics hasil pencarian

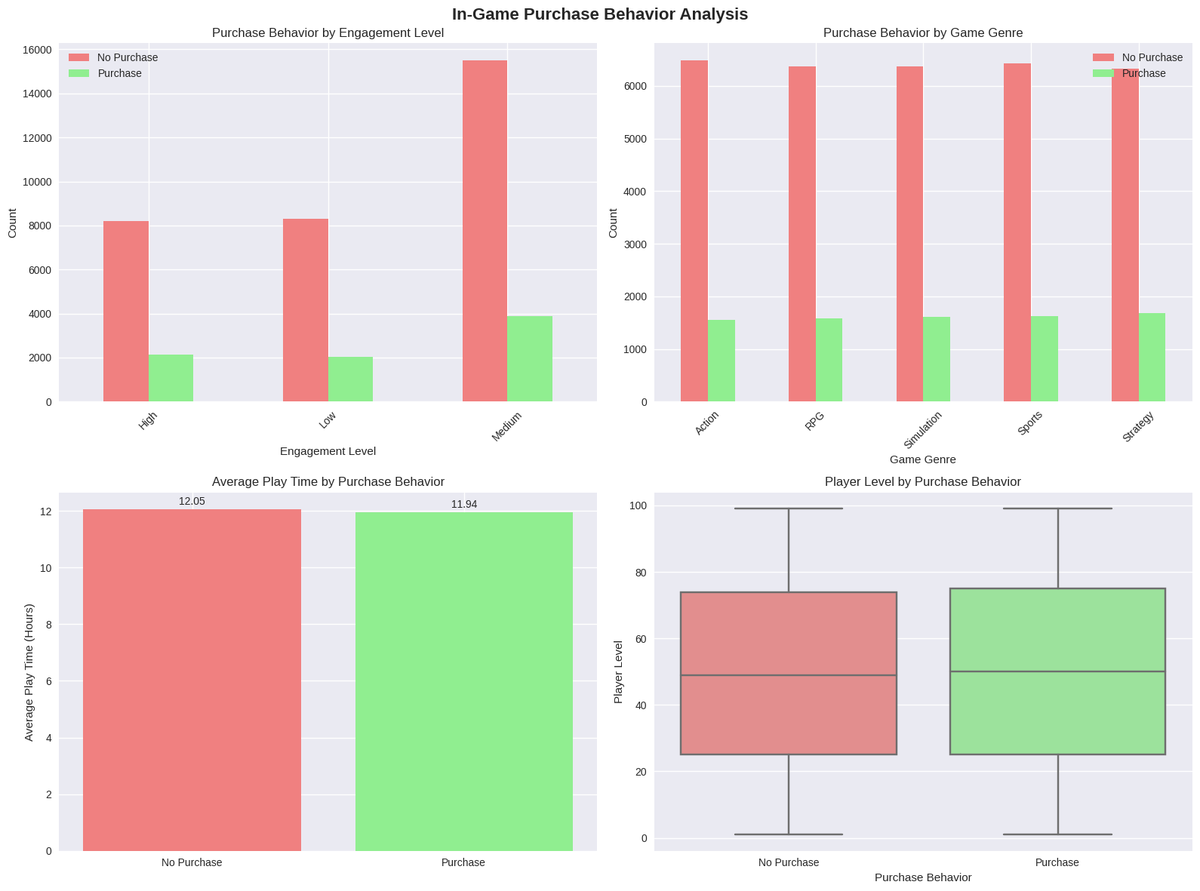
๐ŸŽฎ๐Ÿ’ก Analyzing online gaming behavior with Kaggle dataset! From engagement & genres to playtime & player levels โ€“ this combined plot reveals how gamers spend ๐Ÿ’ฐ vs how they play ๐ŸŽฏ๐Ÿ“Š Want notebook? Just comment "Notebook" ๐Ÿ““โฌ‡๏ธ #DataScience #GamingAnalytics #GlobalSumudFlotilla

WasiqYasir's tweet image. ๐ŸŽฎ๐Ÿ’ก Analyzing online gaming behavior with Kaggle dataset!
From engagement & genres to playtime & player levels โ€“ this combined plot reveals how gamers spend ๐Ÿ’ฐ vs how they play ๐ŸŽฏ๐Ÿ“Š

Want notebook? Just comment "Notebook" ๐Ÿ““โฌ‡๏ธ
#DataScience #GamingAnalytics #GlobalSumudFlotilla

๐Ÿš€ Maximize every gaming position with cutting-edge Machine Performance Analytics! Dive into data-driven insights and elevate your casino operations. What's your top strategy for leveraging analytics in gaming? Share your thoughts! ๐Ÿงฉ๐Ÿ” #CasinoTech #GamingAnalytics #B2BGaming

ProsperitySlots's tweet image. ๐Ÿš€ Maximize every gaming position with cutting-edge Machine Performance Analytics! Dive into data-driven insights and elevate your casino operations. What's your top strategy for leveraging analytics in gaming? Share your thoughts! ๐Ÿงฉ๐Ÿ”

#CasinoTech #GamingAnalytics #B2BGaming

๐Ÿ“Š November 2024 โ€“ Top 10 New Releases on Steam Sequels dominated the charts! ๐ŸŽฎ ๐Ÿ” Farming Simulator 25 & S.T.A.L.K.E.R. 2 led the way: ๐Ÿ’ฐ $47.5M & $43M revenue ๐Ÿ“ˆ Over 1M copies sold โœจ Indie hits: Luma Island - $3.8M Elin - $2.3M #GamingAnalytics #SteamData $FDEV $SQNXF

alineaanalytics's tweet image. ๐Ÿ“Š November 2024 โ€“ Top 10 New Releases on Steam
Sequels dominated the charts! ๐ŸŽฎ
๐Ÿ” Farming Simulator 25 & S.T.A.L.K.E.R. 2 led the way:
 ๐Ÿ’ฐ $47.5M & $43M revenue
 ๐Ÿ“ˆ Over 1M copies sold
โœจ Indie hits:
Luma Island - $3.8M
Elin - $2.3M
#GamingAnalytics #SteamData $FDEV $SQNXF

๐Ÿš€ Game State Labs Raises $2M! Bengaluru-based AI startup Game State Labs secured funding co-led by PeerCapital & Neon Fund to power smarter, data-driven gaming analytics. tycoonstory.com #gamestatelabs #startupfunding #gaminganalytics #aiingaming

TycoonStoryCo's tweet image. ๐Ÿš€ Game State Labs Raises $2M!

Bengaluru-based AI startup Game State Labs secured funding co-led by PeerCapital & Neon Fund to power smarter, data-driven gaming analytics.

tycoonstory.com

#gamestatelabs #startupfunding #gaminganalytics #aiingaming

8/ ๐Ÿ“Š Analytics at a Glance: Stay informed with real-time data. @PlayGroundCorp provides detailed analytics like DAU, MAU, and blockchain transactions, ensuring youโ€™re always ahead of the game. #GamingAnalytics

PhenVentures's tweet image. 8/ ๐Ÿ“Š Analytics at a Glance: Stay informed with real-time data. 

@PlayGroundCorp provides detailed analytics like DAU, MAU, and blockchain transactions, ensuring youโ€™re always ahead of the game. #GamingAnalytics

๐Ÿ“Š Esports Betting Trends โ€“ January 30, 2025! Betting on esports? Get the latest odds & predictions for todayโ€™s top matchups across multiple games! #EsportsBetting #GamingAnalytics #Sportsbook

researchingleo's tweet image. ๐Ÿ“Š Esports Betting Trends โ€“ January 30, 2025!

Betting on esports? Get the latest odds & predictions for todayโ€™s top matchups across multiple games!

#EsportsBetting #GamingAnalytics #Sportsbook

๐Ÿš€ Revolutionize your gaming venue's decision-making with data-driven insights! Ditch the guesswork and embrace the precision of data science. How is your team leveraging analytics to boost wins and engagement? Let's discuss! #CasinoTech #GamingAnalytics #BusinessGrowth


Data analytics plays a crucial role in various industries worldwide, and the gaming industry is no exception. It draws the attention of developers, gamers, and businesses. T #gaminganalytics linkedin.com/pulse/gaming-aโ€ฆ

LocDang4's tweet image. Data analytics plays a crucial role in various industries worldwide, and the gaming industry is no exception. It draws the attention of developers, gamers, and businesses. T #gaminganalytics linkedin.com/pulse/gaming-aโ€ฆ

๐Ÿ“Š Essential Reports for Game Producers ๐Ÿ”Ž Swipe through the slides to explore the must-check reports that help optimize your gameโ€™s success! #GamingAnalytics #DataDriven #GameDevelopment #ProductAnalytics #devtodev #GameMonetization #Retention

dev_to_dev's tweet image. ๐Ÿ“Š Essential Reports for Game Producers

๐Ÿ”Ž Swipe through the slides to explore the must-check reports that help optimize your gameโ€™s success!

#GamingAnalytics #DataDriven #GameDevelopment #ProductAnalytics #devtodev #GameMonetization #Retention
dev_to_dev's tweet image. ๐Ÿ“Š Essential Reports for Game Producers

๐Ÿ”Ž Swipe through the slides to explore the must-check reports that help optimize your gameโ€™s success!

#GamingAnalytics #DataDriven #GameDevelopment #ProductAnalytics #devtodev #GameMonetization #Retention
dev_to_dev's tweet image. ๐Ÿ“Š Essential Reports for Game Producers

๐Ÿ”Ž Swipe through the slides to explore the must-check reports that help optimize your gameโ€™s success!

#GamingAnalytics #DataDriven #GameDevelopment #ProductAnalytics #devtodev #GameMonetization #Retention
dev_to_dev's tweet image. ๐Ÿ“Š Essential Reports for Game Producers

๐Ÿ”Ž Swipe through the slides to explore the must-check reports that help optimize your gameโ€™s success!

#GamingAnalytics #DataDriven #GameDevelopment #ProductAnalytics #devtodev #GameMonetization #Retention

๐ŸŽฐ Dive into the future with real-time gaming analytics! Watch your casino floor's performance live and gain the edge on decision-making. Curious about how instant insights can transform your operations? Let's chat! ๐Ÿ‘‡ #CasinoTech #GamingAnalytics #B2BGaming #GamingIndustry

ProsperitySlots's tweet image. ๐ŸŽฐ Dive into the future with real-time gaming analytics! Watch your casino floor's performance live and gain the edge on decision-making. Curious about how instant insights can transform your operations? Let's chat! ๐Ÿ‘‡ #CasinoTech #GamingAnalytics #B2BGaming #GamingIndustry

Xbox Party Chat Success: How to Measure? ๐ŸŽฎ๐Ÿ“Š Discover key metrics and strategies for gaming platforms. NextSprints has the answers! #ProductManagement #GamingAnalytics

thenextsprints's tweet image. Xbox Party Chat Success: How to Measure? ๐ŸŽฎ๐Ÿ“Š
Discover key metrics and strategies for gaming platforms. NextSprints has the answers!

#ProductManagement #GamingAnalytics

Unlocking the power of data analytics and business intelligence in video game development. Discover how insights are reshaping gaming strategies and player experiences. #GamingAnalytics #GameDev #BusinessIntelligence

ankitat51383338's tweet image. Unlocking the power of data analytics and business intelligence in video game development.  Discover how insights are reshaping gaming strategies and player experiences. 
#GamingAnalytics #GameDev #BusinessIntelligence

๐ŸŒŸ Transform your gaming platform with #bitsCrunch's Advanced Gaming Insights API! Real-time analytics, player behavior insights, and in-depth economic modeling at your fingertips. Elevate your game today! ๐ŸŽฎ๐Ÿ“Š #GamingAnalytics #Web3 #PlayerData

0xTammyy's tweet image. ๐ŸŒŸ Transform your gaming platform with #bitsCrunch's Advanced Gaming Insights API! 

Real-time analytics, player behavior insights, and in-depth economic modeling at your fingertips. 

Elevate your game today! ๐ŸŽฎ๐Ÿ“Š #GamingAnalytics #Web3 #PlayerData

Level up your game with precision analytics and real-time insights! ๐ŸŽฎโšก Stay ahead of the competition and Konnect with your audience like never before. #GamingAnalytics #GameOn #LevelUp

RahulMusicc's tweet image. Level up your game with precision analytics and real-time insights! ๐ŸŽฎโšก
 Stay ahead of the competition and Konnect with your audience like never before.
 #GamingAnalytics #GameOn #LevelUp

Learn more about gaming analytics and how it can improve your gameplay on AFK! #GamingAnalytics #AFK #gamingcommunity #lfg #kickstarter

afkco_community's tweet image. Learn more about gaming analytics and how it can improve your gameplay on AFK! #GamingAnalytics #AFK #gamingcommunity #lfg #kickstarter

๐ŸŽฎ Lurkit achieves 32x faster #gaminganalytics with Fireboltโ€™s advanced #indexing and scalable compute engines, handling 80K daily queries with high performance. Read more: bit.ly/4elMccU

FireboltHQ's tweet image. ๐ŸŽฎ Lurkit achieves 32x faster #gaminganalytics with Fireboltโ€™s advanced #indexing and scalable compute engines, handling 80K daily queries with high performance.

Read more: bit.ly/4elMccU

Elevate your gaming strategy with @bitsCrunch's advanced Gaming Insights. Harness the power of #bitsCrunch Al-driven analytics for real-time data and forensic insights that redefine the gaming experience.๐Ÿค Stay ahead of the game!๐Ÿš€๐ŸŽฎ #GamingAnalytics #NFT #bitsCrunch #bachelor

Karannsharmaaa1's tweet image. Elevate your gaming strategy with @bitsCrunch's advanced Gaming Insights.

Harness the power of #bitsCrunch Al-driven analytics for real-time data and forensic insights that redefine the gaming experience.๐Ÿค
Stay ahead of the game!๐Ÿš€๐ŸŽฎ

#GamingAnalytics #NFT #bitsCrunch #bachelor

Once funded, AFK will bring advanced gaming stats and analytics to enhance your gameplay experience. Get ready to track your progress like never before! ๐ŸŽฎ๐Ÿ“Š #KickstarterJourney #GamingAnalytics #communitygaming

afkco_community's tweet image. Once funded, AFK will bring advanced gaming stats and analytics to enhance your gameplay experience. Get ready to track your progress like never before! ๐ŸŽฎ๐Ÿ“Š #KickstarterJourney #GamingAnalytics #communitygaming

๐ŸŽฐ Curious how ticket analytics can revolutionize your casino operations? Dive into player behavior insights & tailor experiences for optimal engagement! What's the one player trend you've noticed at your casino? Let's chat! #CasinoTech #GamingAnalytics #B2BGaming


Every match reveals a pattern. GameBeef turns those patterns into real value. If youโ€™re consistent, youโ€™re already ahead โ€” now make it count. ๐Ÿ”— GameBeef.com #SkillEconomy #EsportsAnalytics #WinAndGrow


Your gameplay has VALUE. You just havenโ€™t been on the platform that knows how to measure it. Join. #EsportsData #SkillTracking


In the Game Analytics tool, apply the same filters we found in the Genre Analytics tool. Well...not that this is a surprise, but the dominant strategy is to make soft porn games. Then, you should ask yourself the question: does that go against any of my work ethics?

LudensLudonauta's tweet image. In the Game Analytics tool, apply the same filters we found in the Genre Analytics tool.

Well...not that this is a surprise, but the dominant strategy is to make soft porn games.

Then, you should ask yourself the question: does that go against any of my work ethics?

This is why the eye test is forever better than analytics. Analytics have us 0-2 in high level games and a pretty nice margin of difference to go along with it.


We crunch the numbers so you can enjoy the chase. ๐Ÿ“Š Stat Attack = smart handicapping made simple. 90% of our players come back for more! greyhounds.com

greyhoundstats's tweet image. We crunch the numbers so you can enjoy the chase.
 ๐Ÿ“Š Stat Attack = smart handicapping made simple.
 90% of our players come back for more! greyhounds.com

Product analytics is critical for understanding how people are using your product. For games, these metrics are important to track and measure: โœ… Average session length โœ… DAU, daily active users โœ… Retention, the number of players returning every day or after some number ofโ€ฆ


sports analytics is basically a live AB testing lab for decision science at scale. every game generates terabytes of player tracking data now. the teams that win are the ones building real-time feedback loops between their ML models and coaching decisions, not just doingโ€ฆ


@VDGSports Analyzing NBA Players Stats: Advanced Basketball Analytics and Insights In the competitive world of professional basketball, analyzing players through advanced stats goes far beyond merelyโ€ฆ


Inteligรชncia em dados: como um dashboard estratรฉgico converte drop off em crescimento dlvr.it/TPLr8F #apostas #loterias #cassino

GamesBras's tweet image. Inteligรชncia em dados: como um dashboard estratรฉgico converte drop off em crescimento dlvr.it/TPLr8F #apostas #loterias #cassino

Here's my analytics if you want to do some hard math. Enjoy

0HOUR1__'s tweet image. Here's my analytics if you want to do some hard math.

Enjoy

It actually only took about 45 seconds to scroll and count them.



Your gameplay data says more than any highlight clip. On GameBeef, your performance becomes your advantage. #GameplayAnalytics #EsportsStats #SkillOptimization #GameBeef


Designed this analytics section with clear color separation to make the data easy to understand at a glance.

utsav_tankariya's tweet image. Designed this analytics section with clear color separation to make the data easy to understand at a glance.

ALGO ANALYTICS WEEKLY #NFL RESULTS | 50% WEEKLY WIN RATE | Disclaimer: This is not sports betting advice. Bet responsibly. #NFL #Football #MachineLearning #SportsPicks #DataAnalytics

gamedayalgo's tweet image. ALGO ANALYTICS WEEKLY #NFL RESULTS | 50% WEEKLY WIN RATE | Disclaimer: This is not sports betting advice. Bet responsibly. #NFL #Football #MachineLearning #SportsPicks #DataAnalytics

Basketball analytics metrics: understanding key measures vdgsports.com/basketball-anaโ€ฆ

VDGSports's tweet image. Basketball analytics metrics: understanding key measures
vdgsports.com/basketball-anaโ€ฆ

@Gamblr_io integrates AI-driven analytics to provide personalized insights and probabilistic forecasts, players receive data-driven support without losing autonomy, improving accuracy and learning opportunities. This feature empowers users to refine strategies over time.


Some of the charts and cards in Pretty X Analytics ๐Ÿ™ˆ The ultimate way to visualize your stats with smarter calculations and actionable insights ๐Ÿ“Š P.S: Who wants to beta test? There are limited spots! Send your analytics CSV via DM, help refine it, & snag lifetime freeโ€ฆ

petsonii's tweet image. Some of the charts and cards in Pretty X Analytics ๐Ÿ™ˆ

The ultimate way to visualize your stats with smarter calculations and actionable insights ๐Ÿ“Š 

P.S:  Who wants to beta test? There are limited spots! Send your analytics CSV via DM, help refine it, & snag lifetime freeโ€ฆ
petsonii's tweet image. Some of the charts and cards in Pretty X Analytics ๐Ÿ™ˆ

The ultimate way to visualize your stats with smarter calculations and actionable insights ๐Ÿ“Š 

P.S:  Who wants to beta test? There are limited spots! Send your analytics CSV via DM, help refine it, & snag lifetime freeโ€ฆ
petsonii's tweet image. Some of the charts and cards in Pretty X Analytics ๐Ÿ™ˆ

The ultimate way to visualize your stats with smarter calculations and actionable insights ๐Ÿ“Š 

P.S:  Who wants to beta test? There are limited spots! Send your analytics CSV via DM, help refine it, & snag lifetime freeโ€ฆ
petsonii's tweet image. Some of the charts and cards in Pretty X Analytics ๐Ÿ™ˆ

The ultimate way to visualize your stats with smarter calculations and actionable insights ๐Ÿ“Š 

P.S:  Who wants to beta test? There are limited spots! Send your analytics CSV via DM, help refine it, & snag lifetime freeโ€ฆ

I can't wait to use this dashboard on @GlintAnalytics when it comes to our Perps Trading, and perhaps even our Poker Tournaments! This dashboard is legit crispy! You def. need to check it out!

IamGhost_AF's tweet image. I can't wait to use this dashboard on @GlintAnalytics when it comes to our Perps Trading, and perhaps even our Poker Tournaments! 

This dashboard is legit crispy! You def. need to check it out!

Thank you haha (& happy birthday ๐Ÿฅณ). I've a tool to analytics but for quick check/csv download it's a great feature. I know they're cooking on that part haha The doc is accessible for everyone ๐Ÿค— docs.google.com/spreadsheets/dโ€ฆ


Analytics Advantage: Players Stepping into Meaningful Roles dlvr.it/TPGxPD

DobberHockey's tweet image. Analytics Advantage: Players Stepping into Meaningful Roles dlvr.it/TPGxPD

Most creators know their numbers, but not what those numbers mean. KloutGG gives gaming creators deeper insight into audience behavior, content performance, and growth trends so you can make decisions with confidence, not guesswork. Clear data leads to real progress.@kloutgg

sickcooks's tweet image. Most creators know their numbers, but not what those numbers mean.

KloutGG gives gaming creators deeper insight into audience behavior, content performance, and growth trends  so you can make decisions with confidence, not guesswork.

Clear data leads to real progress.@kloutgg

๐Ÿš€ Game State Labs Raises $2M! Bengaluru-based AI startup Game State Labs secured funding co-led by PeerCapital & Neon Fund to power smarter, data-driven gaming analytics. tycoonstory.com #gamestatelabs #startupfunding #gaminganalytics #aiingaming

TycoonStoryCo's tweet image. ๐Ÿš€ Game State Labs Raises $2M!

Bengaluru-based AI startup Game State Labs secured funding co-led by PeerCapital & Neon Fund to power smarter, data-driven gaming analytics.

tycoonstory.com

#gamestatelabs #startupfunding #gaminganalytics #aiingaming

๐Ÿš€ Maximize every gaming position with cutting-edge Machine Performance Analytics! Dive into data-driven insights and elevate your casino operations. What's your top strategy for leveraging analytics in gaming? Share your thoughts! ๐Ÿงฉ๐Ÿ” #CasinoTech #GamingAnalytics #B2BGaming

ProsperitySlots's tweet image. ๐Ÿš€ Maximize every gaming position with cutting-edge Machine Performance Analytics! Dive into data-driven insights and elevate your casino operations. What's your top strategy for leveraging analytics in gaming? Share your thoughts! ๐Ÿงฉ๐Ÿ”

#CasinoTech #GamingAnalytics #B2BGaming

๐ŸŽฎ๐Ÿ’ก Analyzing online gaming behavior with Kaggle dataset! From engagement & genres to playtime & player levels โ€“ this combined plot reveals how gamers spend ๐Ÿ’ฐ vs how they play ๐ŸŽฏ๐Ÿ“Š Want notebook? Just comment "Notebook" ๐Ÿ““โฌ‡๏ธ #DataScience #GamingAnalytics #GlobalSumudFlotilla

WasiqYasir's tweet image. ๐ŸŽฎ๐Ÿ’ก Analyzing online gaming behavior with Kaggle dataset!
From engagement & genres to playtime & player levels โ€“ this combined plot reveals how gamers spend ๐Ÿ’ฐ vs how they play ๐ŸŽฏ๐Ÿ“Š

Want notebook? Just comment "Notebook" ๐Ÿ““โฌ‡๏ธ
#DataScience #GamingAnalytics #GlobalSumudFlotilla

๐Ÿ“Š Essential Reports for Game Producers ๐Ÿ”Ž Swipe through the slides to explore the must-check reports that help optimize your gameโ€™s success! #GamingAnalytics #DataDriven #GameDevelopment #ProductAnalytics #devtodev #GameMonetization #Retention

dev_to_dev's tweet image. ๐Ÿ“Š Essential Reports for Game Producers

๐Ÿ”Ž Swipe through the slides to explore the must-check reports that help optimize your gameโ€™s success!

#GamingAnalytics #DataDriven #GameDevelopment #ProductAnalytics #devtodev #GameMonetization #Retention
dev_to_dev's tweet image. ๐Ÿ“Š Essential Reports for Game Producers

๐Ÿ”Ž Swipe through the slides to explore the must-check reports that help optimize your gameโ€™s success!

#GamingAnalytics #DataDriven #GameDevelopment #ProductAnalytics #devtodev #GameMonetization #Retention
dev_to_dev's tweet image. ๐Ÿ“Š Essential Reports for Game Producers

๐Ÿ”Ž Swipe through the slides to explore the must-check reports that help optimize your gameโ€™s success!

#GamingAnalytics #DataDriven #GameDevelopment #ProductAnalytics #devtodev #GameMonetization #Retention
dev_to_dev's tweet image. ๐Ÿ“Š Essential Reports for Game Producers

๐Ÿ”Ž Swipe through the slides to explore the must-check reports that help optimize your gameโ€™s success!

#GamingAnalytics #DataDriven #GameDevelopment #ProductAnalytics #devtodev #GameMonetization #Retention

๐Ÿ“Š November 2024 โ€“ Top 10 New Releases on Steam Sequels dominated the charts! ๐ŸŽฎ ๐Ÿ” Farming Simulator 25 & S.T.A.L.K.E.R. 2 led the way: ๐Ÿ’ฐ $47.5M & $43M revenue ๐Ÿ“ˆ Over 1M copies sold โœจ Indie hits: Luma Island - $3.8M Elin - $2.3M #GamingAnalytics #SteamData $FDEV $SQNXF

alineaanalytics's tweet image. ๐Ÿ“Š November 2024 โ€“ Top 10 New Releases on Steam
Sequels dominated the charts! ๐ŸŽฎ
๐Ÿ” Farming Simulator 25 & S.T.A.L.K.E.R. 2 led the way:
 ๐Ÿ’ฐ $47.5M & $43M revenue
 ๐Ÿ“ˆ Over 1M copies sold
โœจ Indie hits:
Luma Island - $3.8M
Elin - $2.3M
#GamingAnalytics #SteamData $FDEV $SQNXF

Optimize in-game performance and the end user experience with a #customerdataplatform buff.ly/2LXOi6h #gaming #gaminganalytics #VR #AR

TreasureData's tweet image. Optimize in-game performance and the end user experience with a #customerdataplatform buff.ly/2LXOi6h #gaming #gaminganalytics #VR #AR

๐ŸŽฐ Dive into the future with real-time gaming analytics! Watch your casino floor's performance live and gain the edge on decision-making. Curious about how instant insights can transform your operations? Let's chat! ๐Ÿ‘‡ #CasinoTech #GamingAnalytics #B2BGaming #GamingIndustry

ProsperitySlots's tweet image. ๐ŸŽฐ Dive into the future with real-time gaming analytics! Watch your casino floor's performance live and gain the edge on decision-making. Curious about how instant insights can transform your operations? Let's chat! ๐Ÿ‘‡ #CasinoTech #GamingAnalytics #B2BGaming #GamingIndustry


๐Ÿ“Š Esports Betting Trends โ€“ January 30, 2025! Betting on esports? Get the latest odds & predictions for todayโ€™s top matchups across multiple games! #EsportsBetting #GamingAnalytics #Sportsbook

researchingleo's tweet image. ๐Ÿ“Š Esports Betting Trends โ€“ January 30, 2025!

Betting on esports? Get the latest odds & predictions for todayโ€™s top matchups across multiple games!

#EsportsBetting #GamingAnalytics #Sportsbook

8/ ๐Ÿ“Š Analytics at a Glance: Stay informed with real-time data. @PlayGroundCorp provides detailed analytics like DAU, MAU, and blockchain transactions, ensuring youโ€™re always ahead of the game. #GamingAnalytics

PhenVentures's tweet image. 8/ ๐Ÿ“Š Analytics at a Glance: Stay informed with real-time data. 

@PlayGroundCorp provides detailed analytics like DAU, MAU, and blockchain transactions, ensuring youโ€™re always ahead of the game. #GamingAnalytics

๐ŸŒŸ Transform your gaming platform with #bitsCrunch's Advanced Gaming Insights API! Real-time analytics, player behavior insights, and in-depth economic modeling at your fingertips. Elevate your game today! ๐ŸŽฎ๐Ÿ“Š #GamingAnalytics #Web3 #PlayerData

0xTammyy's tweet image. ๐ŸŒŸ Transform your gaming platform with #bitsCrunch's Advanced Gaming Insights API! 

Real-time analytics, player behavior insights, and in-depth economic modeling at your fingertips. 

Elevate your game today! ๐ŸŽฎ๐Ÿ“Š #GamingAnalytics #Web3 #PlayerData

Xbox Party Chat Success: How to Measure? ๐ŸŽฎ๐Ÿ“Š Discover key metrics and strategies for gaming platforms. NextSprints has the answers! #ProductManagement #GamingAnalytics

thenextsprints's tweet image. Xbox Party Chat Success: How to Measure? ๐ŸŽฎ๐Ÿ“Š
Discover key metrics and strategies for gaming platforms. NextSprints has the answers!

#ProductManagement #GamingAnalytics

Weekend watching - catch up and learn about how analytics are transforming the gaming industry! #gaming #analytics #gaminganalytics #dataanalytics #googlecloudplatform hubs.ly/H0s7tzK0

qodea_official's tweet image. Weekend watching - catch up and learn about how analytics are transforming the gaming industry! #gaming #analytics #gaminganalytics #dataanalytics #googlecloudplatform

hubs.ly/H0s7tzK0

๐Ÿš€ Let's catch up at SLUSH! ๐Ÿš€ Our CEO, Ivan Trancik, will be in Helsinki Nov 19-22! Weโ€™re thrilled to debut The SuperPlatformโ€”our ultimate game business analytics solutionโ€”and to announce the first close of our investment round. #SLUSH2024 #TheSuperPlatform #GamingAnalytics

SuperScaleGames's tweet image. ๐Ÿš€ Let's catch up at SLUSH! ๐Ÿš€ Our CEO, Ivan Trancik, will be in Helsinki Nov 19-22! 

Weโ€™re thrilled to debut The SuperPlatformโ€”our ultimate game business analytics solutionโ€”and to announce the first close of our investment round.

#SLUSH2024 #TheSuperPlatform #GamingAnalytics

๐ŸŽฎ Lurkit achieves 32x faster #gaminganalytics with Fireboltโ€™s advanced #indexing and scalable compute engines, handling 80K daily queries with high performance. Read more: bit.ly/4elMccU

FireboltHQ's tweet image. ๐ŸŽฎ Lurkit achieves 32x faster #gaminganalytics with Fireboltโ€™s advanced #indexing and scalable compute engines, handling 80K daily queries with high performance.

Read more: bit.ly/4elMccU

Level up your game with precision analytics and real-time insights! ๐ŸŽฎโšก Stay ahead of the competition and Konnect with your audience like never before. #GamingAnalytics #GameOn #LevelUp

RahulMusicc's tweet image. Level up your game with precision analytics and real-time insights! ๐ŸŽฎโšก
 Stay ahead of the competition and Konnect with your audience like never before.
 #GamingAnalytics #GameOn #LevelUp

Loading...

Something went wrong.


Something went wrong.


United States Trends