#mathchallenge результаты поиска
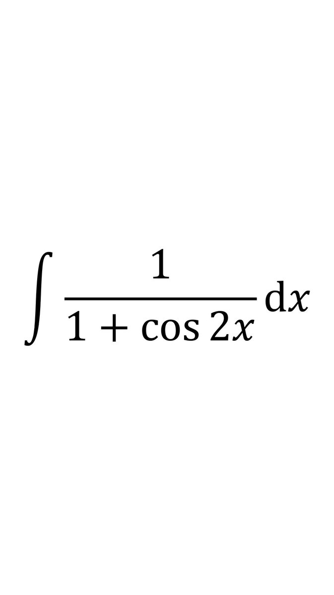
🧮 Integration Challenge: ∫ 1 / (1 + cos(2x)) dx Looks tough? The trick is actually simple 😉 Reply with your answer! #MathChallenge #Calculus #Integration #STEM #LearnMath
🧮 Can you solve this quickly? #MathPuzzle #BrainTeaser #MathChallenge #RiddleOfTheDay @IQTestBrain @Brainy_Bits_Hub

Solve this brain teaser: What is the sum of the first 10 prime numbers? 🧠✨ Prime numbers are fascinating as they are only divisible by 1 and themselves. Can you list them all? #MathChallenge #PrimeNumbers

Math as a sport? In China, young prodigies are solving at lightning speed- proving innovation starts with fast thinking. #MathChallenge #FutureOfInnovation #STEM #NextGen
Can You Solve This Algebra Riddle? Find x! 🤔 @Brainy_Bits_Hub @QuickMathDaily #MathPuzzle #BrainTeaser #MathChallenge #Riddle #QuizTime #MathFun

Quiz Time — Can You Solve This Math Brain-Teaser? Pick one puzzle from our post and drop your answer in the comments! Winners get bragging rights — and a smarter brain. #MathQuiz #BrainTeaser #MathChallenge #PuzzleOfTheDay #MathFun #EduBee #SmartKids #LearningIsFun

🤯 Can you solve this mind-bending math puzzle? @Brainy_Bits_Hub @Heena_Maths #MathPuzzle #BrainTeaser #MathChallenge

What is next? 🧩 🗨️ Comment your answer (A, B, C, or D) + #BITSLERio #MathChallenge 🎁 10 correct entries win 50,000 GC + 5 Free SC! 🕒 Ends the 3rd October at 11:59PM UTC. #Game #Crypto #Math #Easy #Win

🚀 Math Challenge! Can you solve this integral? 👇 ∫ dx / (√3 cos x + sin x) Reply with your solution ⬇️ #MathChallenge #Integration #Calculus #STEM
Can You Solve This Viral Math Riddle? @brain_teaser_1 @Heena_Maths #MathPuzzle #BrainTeaser #MathChallenge #Riddle #QuizTime #MathFun

🧮 Can you solve this tricky math puzzle? @BholanathDutta @Brainy_Bits_Hub #MathPuzzle #MathChallenge #BrainTeaser

Can You Solve This Math Riddle? 🧐 @Heena_Maths @Brainy_Bits_Hub #mathpuzzle #solveforx #mathchallenge #brainteaser

Join the EdiMath National Olympiad 2025! Solve the age puzzle and test your math skills. Registration closes on October 18th and the exam will be held on November 24th. #EdiMathOlympiad #MathChallenge #GrandpaAndGrandson #MathPuzzle #Olympiad2025 #MathSkills #EdifyEducation

Swipe through this challenge and see if you can solve it! 👉 Link turito.me/3Iyk3oL Tag a friend who loves math! #MathChallenge #TuritoMath #ProblemSolving #Turito




Swipe through this challenge and see if you can solve it! 👉 Link turito.me/3Iyk3oL Tag a friend who loves math! #MathChallenge #TuritoMath #ProblemSolving #Turito




Make fractions fun with our mini challenge! Test your skills, solve quickly, and enjoy learning in a playful way. #funessencelive #fractions #mathchallenge #minichallenge #learningfun #mathgames #kidslearning #fractionfun #playfullearning #mathpractice #educationalactivity
Only geniuses can solve this 😏 What’s 4 + 9? Comment your answer below 👇 #mathchallenge #brainteaser #scholardog
Quiz Time — Can You Solve This Math Brain-Teaser? Pick one puzzle from our post and drop your answer in the comments! Winners get bragging rights — and a smarter brain. #MathQuiz #BrainTeaser #MathChallenge #PuzzleOfTheDay #MathFun #EduBee #SmartKids #LearningIsFun

🧮 Can you solve this quickly? #MathPuzzle #BrainTeaser #MathChallenge #RiddleOfTheDay @IQTestBrain @Brainy_Bits_Hub

🧠 Can you solve this tricky math puzzle? #MathPuzzle #BrainTeaser #MathChallenge #RiddleOfTheDay @IQTestBrain @Heena_Maths

🧮 Quiz Time! $3 per pound for select meats — how much is 1 lb 8 oz? 🤔 #QuizTime #MathChallenge #TestYourKnowledge #FunLearning #BrainTeaser #MathPuzzle #FullPotentialLearning #Miami #FPLA

🔥 The Happy Numbers Challenge is in full swing at Singleton! 🎉 Our teachers and students are geared up and ready to battle it out 💪📊 Who will come out on top as the victorious math masters? 🏆✨ #HappyNumbers #MathChallenge

🧮 Can you solve this quickly? #MathPuzzle #BrainTeaser #MathChallenge #RiddleOfTheDay @IQTestBrain @Brainy_Bits_Hub

🧮 Can you solve this tricky math puzzle? @BholanathDutta @Brainy_Bits_Hub #MathPuzzle #MathChallenge #BrainTeaser

🤯 Can you solve this mind-bending math puzzle? @Brainy_Bits_Hub @Heena_Maths #MathPuzzle #BrainTeaser #MathChallenge

🧮 Can you solve this quickly?#MathPuzzle #BrainTeaser #MathChallenge #RiddleOfTheDay @BholanathDutta @Heena_Maths

🧮 Can you solve this quickly? @BholanathDutta @Brainy_Bits_Hub #MathPuzzle #MathChallenge #BrainTeaser #RiddleOfTheDay

🤯 Can you solve this mind-bending math puzzle? @BholanathDutta @Brainy_Bits_Hub #MathPuzzle #BrainTeaser #MathChallenge #ProblemSolving #LogicPuzzle

🧠 Can you solve this tricky math puzzle? #MathPuzzle #BrainTeaser #MathChallenge #RiddleOfTheDay @IQTestBrain @Heena_Maths

Something went wrong.
Something went wrong.
United States Trends
- 1. D’Angelo 74K posts
- 2. Brown Sugar 7,200 posts
- 3. Black Messiah 2,916 posts
- 4. #GoodTimebro 1,413 posts
- 5. Happy Birthday Charlie 101K posts
- 6. Powell 27.6K posts
- 7. Drew Struzan 2,367 posts
- 8. #BornOfStarlightHeeseung 69.6K posts
- 9. Voodoo 7,847 posts
- 10. How Does It Feel 4,830 posts
- 11. #csm217 2,883 posts
- 12. Alex Jones 23K posts
- 13. Rest in Power 9,456 posts
- 14. #PortfolioDay 6,732 posts
- 15. Sandy Hook 8,108 posts
- 16. Pentagon 89K posts
- 17. #tuesdayvibe 5,671 posts
- 18. Neo Soul N/A
- 19. Jill Scott N/A
- 20. Damn RIP 1,327 posts